Главная Случайная страница


Полезное:

Как сделать разговор полезным и приятным Как сделать объемную звезду своими руками Как сделать то, что делать не хочется? Как сделать погремушку Как сделать так чтобы женщины сами знакомились с вами Как сделать идею коммерческой Как сделать хорошую растяжку ног? Как сделать наш разум здоровым? Как сделать, чтобы люди обманывали меньше Вопрос 4. Как сделать так, чтобы вас уважали и ценили? Как сделать лучше себе и другим людям Как сделать свидание интересным?


Категории:

АрхитектураАстрономияБиологияГеографияГеологияИнформатикаИскусствоИсторияКулинарияКультураМаркетингМатематикаМедицинаМенеджментОхрана трудаПравоПроизводствоПсихологияРелигияСоциологияСпортТехникаФизикаФилософияХимияЭкологияЭкономикаЭлектроника






Расчет и выбор подшипников для рассчитываемого вала





 

Производится проверочный расчет подшипников IV вала, который был рассчитан на сложное сопротивление. Подшипники рассчитывают на долговечность L при динамической грузоподъемности С. Значение С берутся из таблицы 25 [1].

- серия подшипника :6 - 207

- D=72 мм

- d=35 мм

- В=17 мм

- С=30000

- V=10000 об/мин

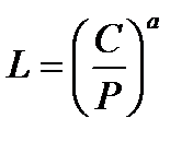
Зависимость между долговечностью L, млн. оборотов (Lh), эквивалентной динамической нагрузкой Р и динамической грузоподъемностью С выражается формулой:

или

где Fr- постоянная по величине и направлению радиальная нагрузка, Н;

Fa=0 – постоянная по величине и направлению осевая нагрузка, Н;

Х=0,56 – коэффициент радиальной нагрузки;

Y=0 – коэффициент осевой нагрузки;

V=1 – коэффициент вращения;

Kб=1,5 – коэффициент безопасности

KТ=1,17 – температурный коэффициент.

a=3 для шарикоподшипников

Допустимый срок службы подшипника: Lhтр= 20000 ч.

Выбранные подшипники удовлетворяют условию:








Date: 2015-07-10; view: 512; Нарушение авторских прав



mydocx.ru - 2015-2026 year. (1.191 sec.) Все материалы представленные на сайте исключительно с целью ознакомления читателями и не преследуют коммерческих целей или нарушение авторских прав - Пожаловаться на публикацию