Главная Случайная страница


Полезное:

Как сделать разговор полезным и приятным Как сделать объемную звезду своими руками Как сделать то, что делать не хочется? Как сделать погремушку Как сделать так чтобы женщины сами знакомились с вами Как сделать идею коммерческой Как сделать хорошую растяжку ног? Как сделать наш разум здоровым? Как сделать, чтобы люди обманывали меньше Вопрос 4. Как сделать так, чтобы вас уважали и ценили? Как сделать лучше себе и другим людям Как сделать свидание интересным?


Категории:

АрхитектураАстрономияБиологияГеографияГеологияИнформатикаИскусствоИсторияКулинарияКультураМаркетингМатематикаМедицинаМенеджментОхрана трудаПравоПроизводствоПсихологияРелигияСоциологияСпортТехникаФизикаФилософияХимияЭкологияЭкономикаЭлектроника






Уточненный расчет III вала





 

Для стали 40Х σВ=900 МПа.

Предел выносливости при симметричном цикле изгиба

σ-1≈0,43 σВ ≈0,43*900=387 МПа.

Предел выносливости при симметричном цикле касательных напряжений

τ-1≈0,58 σ-1 ≈0,58*387=224 МПа.

Рассмотрим сечение, в котором приведенный момент имеет максимальное значение.

Момент сопротивления сечения вала:

Амплитуда и среднее напряжение цикла касательных напряжений

Коэффициент запаса прочности по касательным напряжениям:

где, kτ=1,7 - эффективный коэффициент концентрации напряжений, ετ = 0,73 масштабный фактор, εП = 0,9 – коэффициент, учитывающий шероховатость поверхности; yt= 0,1 - коэффициент чувствительности материала к асимметрии цикла.

 

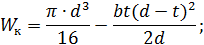
Момент сопротивления изгибу:

 

Амплитуда нормальных напряжений изгиба:

 

 

 

Коэффициент запаса прочности по нормальным напряжениям:

где kσ=1,8 - эффективный коэффициент концентрации напряжений, εσ =0,73 масштабный фактор; εП = 0,9 – коэффициент, учитывающий шероховатость поверхности.

 

Результирующий коэффициент запаса прочности для сечения:

 

т.е. коэффициент запаса прочности находится больше чем допускаемый предел:1,5<S<2,5. Большой запас прочности обусловлен тем, что мы завысили диаметры валов, в связи с большой длиной валов.

 








Date: 2015-07-10; view: 577; Нарушение авторских прав



mydocx.ru - 2015-2026 year. (1.021 sec.) Все материалы представленные на сайте исключительно с целью ознакомления читателями и не преследуют коммерческих целей или нарушение авторских прав - Пожаловаться на публикацию