Главная Случайная страница


Полезное:

Как сделать разговор полезным и приятным Как сделать объемную звезду своими руками Как сделать то, что делать не хочется? Как сделать погремушку Как сделать так чтобы женщины сами знакомились с вами Как сделать идею коммерческой Как сделать хорошую растяжку ног? Как сделать наш разум здоровым? Как сделать, чтобы люди обманывали меньше Вопрос 4. Как сделать так, чтобы вас уважали и ценили? Как сделать лучше себе и другим людям Как сделать свидание интересным?


Категории:

АрхитектураАстрономияБиологияГеографияГеологияИнформатикаИскусствоИсторияКулинарияКультураМаркетингМатематикаМедицинаМенеджментОхрана трудаПравоПроизводствоПсихологияРелигияСоциологияСпортТехникаФизикаФилософияХимияЭкологияЭкономикаЭлектроника






Расчет геометрических параметров зубчатых колес





 

Делительный диаметр: ,

Диаметр вершин зубьев: ,

Диаметр впадин зубьев: .

 

На первой ступени: m=2,5 мм

Шестерня Z4 =36

Делительный диаметр: мм;

Диаметр вершин зубьев: мм;

Диаметр впадин зубьев: мм.

Ширина шестерни: мм.

Для проверки рассчитанных и расчета остальных геометрических параметров составляем таблицу 4 в Microsoft Excel.

Таблица 4

Z m D Da Df b
    2,5        
    2,5        
    2,5        
    2,5        
    2,5        
    2,5        
    2,5        
    2,5        
    2,5        
    2,5        
    3,0     97,8  
    3,0     157,8  
    3,0     97,8  
    3,0     157,8  
    3,0     97,8  
    3,0     157,8  
    3,0     97,8  
    3,0     157,8  

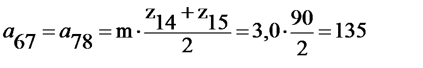
Межосевые расстояния:

мм,

мм,

мм,

мм,








Date: 2015-07-10; view: 591; Нарушение авторских прав



mydocx.ru - 2015-2026 year. (4.263 sec.) Все материалы представленные на сайте исключительно с целью ознакомления читателями и не преследуют коммерческих целей или нарушение авторских прав - Пожаловаться на публикацию