Главная Случайная страница


Полезное:

Как сделать разговор полезным и приятным Как сделать объемную звезду своими руками Как сделать то, что делать не хочется? Как сделать погремушку Как сделать так чтобы женщины сами знакомились с вами Как сделать идею коммерческой Как сделать хорошую растяжку ног? Как сделать наш разум здоровым? Как сделать, чтобы люди обманывали меньше Вопрос 4. Как сделать так, чтобы вас уважали и ценили? Как сделать лучше себе и другим людям Как сделать свидание интересным?


Категории:

АрхитектураАстрономияБиологияГеографияГеологияИнформатикаИскусствоИсторияКулинарияКультураМаркетингМатематикаМедицинаМенеджментОхрана трудаПравоПроизводствоПсихологияРелигияСоциологияСпортТехникаФизикаФилософияХимияЭкологияЭкономикаЭлектроника






Расчет модуля из условий прочности на изгиб и по допускаемым контактным напряжениям





 

 

Расчет модулей в группах передач производится из условия работы зуба на изгиб и контактную прочность для коробок скоростей.

Максимальное значение рассчитанного модуля mи или mк округляется до ближайшего большего стандартного значения 1; 1.5; 2; 2.5; 3; 4. В станкостроении для универсальных станков среднего типоразмера модуль менее 2 мм нежелателен.

Формула для определения модуля зубьев исходя из прочности на изгиб:

где:

N – мощность передаваемая данным валом;

и] – допускаемое напряжение на изгиб;

уН – коэффициент формы зуба;

ψв – коэффициент ширины зуба;

Кq – коэффициент режима нагружения;

КН – коэффициент неравномерности распределения нагрузки;

КП– коэффициент перегрузки;

Z1 – число зубьев шестерни;

nрасч – расчетная частота вращения;

об/мин;

Примем nрасч = 80 об/мин; построим расчетную схему для определения модуля (рис. 8).

Рис 8. Расчетная частота

Рассчитываем мощность: , .

1) , кВт

2) , кВт;

3) , кВт;

4) , кВт;

5) , кВт;

6) , кВт;

7) , кВт;

8) , кВт.

 

Расчет модуля из условий прочности на изгиб:

- мощность передаваемая данным валом кВт, N = 6,674;

- коэффициент динамики,

- коэффициент переменности режима нагрузок, =1;

-коэффициент перегрузки, ;

- коэффициент формы зуба, =0,5;

- коэффициент ширины зуба , =12;

- число зубьев шестерни первой группы, =28;

- частота вращения в минуту шестерни об/мин:

- длительный предел выносливости зуба (сталь 40х закалка ТВЧ=300МПа; сталь 40х улучшение = 220МПа; сталь 12ХН3 цементация и закалка = 350 МПа).

 

 

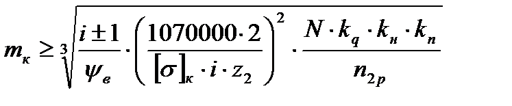
Проектировочный расчет на контактную прочность проводится по формуле:

-коэффициент зависит от режимов нагружения и твердости материала, =1,2 (среднелегкое нагружение)

и -предыдущие значения

– допустимое напряжение при расчете на контактную прочность (сталь 40х закалка ТВЧ=1000МПа; сталь 40х улучшение = 650МПа; сталь 12ХН3 цементация и закалка = 1700МПа).

 

Значение модулей других групп для трех видов материалов найдем с помощью ЭВМ, используя Microsoft Office Excel (Таблица 2):

Таблица 2

Данные   Данные № вала
kn= 1,2   I II III IV V VI VII VIII IX
kд=     n1р                  
kн=     Z1 -     -         -
yн= 0,5   N 6,816 6,674 6,532 6,319 6,177 6,106 5,964 5,822 5,764
Ψb=     n2р -                
Сталь 40Х - закалка   Z2 - -     -        
[σи]=     i - - 1,571 2,500 - 1,571 1,571 1,571 1,571
[σк]=     Сталь 40Х - закалка
Сталь 40Х-улучшение   - 1,837 2,240 - 2,638 3,049 3,025 2,586 -
[σи]=     - - 1,726 1,542 - 2,289 2,280 2,262 2,244
[σк]=     Сталь 40Х-улучшение
Сталь 12ХН3-цем.+ зак.   - 2,037 2,483 - 2,925 3,381 3,355 2,868 -
[σи]=     - - 2,300 2,055 - 3,050 3,038 3,015 2,991
[σк]=     Сталь 12ХН3-цем.+ зак.
      - 1,745 2,127 - 2,506 2,896 2,874 2,457 -
      - - 1,212 1,083 - 1,607 1,601 1,588 1,575
                           

В связи с проблемами, возникшими при построении кинематической схемы, связанными с недостаточными межосевыми расстояниями, выберем модуль для первой и второй группы равный m=2,5, для всех остальных m=3,0 мм, используя при этом материал сталь 12ХН3 с термообработкой – цементация и закалка.

 








Date: 2015-07-10; view: 1306; Нарушение авторских прав



mydocx.ru - 2015-2026 year. (0.898 sec.) Все материалы представленные на сайте исключительно с целью ознакомления читателями и не преследуют коммерческих целей или нарушение авторских прав - Пожаловаться на публикацию