Главная Случайная страница


Полезное:

Как сделать разговор полезным и приятным Как сделать объемную звезду своими руками Как сделать то, что делать не хочется? Как сделать погремушку Как сделать так чтобы женщины сами знакомились с вами Как сделать идею коммерческой Как сделать хорошую растяжку ног? Как сделать наш разум здоровым? Как сделать, чтобы люди обманывали меньше Вопрос 4. Как сделать так, чтобы вас уважали и ценили? Как сделать лучше себе и другим людям Как сделать свидание интересным?


Категории:

АрхитектураАстрономияБиологияГеографияГеологияИнформатикаИскусствоИсторияКулинарияКультураМаркетингМатематикаМедицинаМенеджментОхрана трудаПравоПроизводствоПсихологияРелигияСоциологияСпортТехникаФизикаФилософияХимияЭкологияЭкономикаЭлектроника






Решение. Преобразуем уравнение, используя формулу двойного аргумента для синуса в левой части:





Преобразуем уравнение, используя формулу двойного аргумента для синуса в левой части:

Далее вспоминаем магическую фразу: «Произведение может равняться нулю только тогда, когда хотя бы один из сомножителей равен нулю».

Получаем совокупность двух уравнений:

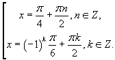
Так как , то

Из условия задачи следует, что необходимо найти самые близкие к нулю корни уравнения. Так как n и k могут принимать любые целые значения, то, вообще, корней исходного уравнения существует бесконечное множество. Поэтому проще всего ответить на вопрос задачи можно следующим образом: перебрать все корни, близкие к нулю, и выбрать из них наибольший и наименьший.

Для этого составим таблицу:

n -1     k     -1 -2
 

Очевидно, что при остальных n и k ближе к нулю мы уже не подойдем.

Итак, из приведенных значений наименьшим положительным является , а наибольшим отрицательным - .

Сумма полученных углов равна -15.

Ответ: -15.

 

Задача В6. Три числа составляют геометрическую прогрессию, в которой . Если второй член прогрессии уменьшить на 8, то полученные три числа в том же порядке опять составят геометрическую прогрессию. Если третий член новой прогрессии уменьшить на 25, то полученные числа составят арифметическую прогрессию. Найдите сумму исходных чисел.







Date: 2015-07-17; view: 533; Нарушение авторских прав



mydocx.ru - 2015-2026 year. (0.903 sec.) Все материалы представленные на сайте исключительно с целью ознакомления читателями и не преследуют коммерческих целей или нарушение авторских прав - Пожаловаться на публикацию