Главная Случайная страница


Полезное:

Как сделать разговор полезным и приятным Как сделать объемную звезду своими руками Как сделать то, что делать не хочется? Как сделать погремушку Как сделать так чтобы женщины сами знакомились с вами Как сделать идею коммерческой Как сделать хорошую растяжку ног? Как сделать наш разум здоровым? Как сделать, чтобы люди обманывали меньше Вопрос 4. Как сделать так, чтобы вас уважали и ценили? Как сделать лучше себе и другим людям Как сделать свидание интересным?


Категории:

АрхитектураАстрономияБиологияГеографияГеологияИнформатикаИскусствоИсторияКулинарияКультураМаркетингМатематикаМедицинаМенеджментОхрана трудаПравоПроизводствоПсихологияРелигияСоциологияСпортТехникаФизикаФилософияХимияЭкологияЭкономикаЭлектроника






Непрерывные двумерные случайные величины





Неотрицательная кусочно-непрерывная функция fX,Y (x, y) называется плотностью распределения (плотностью вероятности) двумерной случайной величины (X; Y), если

 

(8.5)

 

где использована символическая запись для двойного интеграла по области D = { u < x, v < y }. Такая двумерная случайная величина (X; Y) называется непрерывной.

 

Функция плотности fX,Y (x, y) обладает следующими свойствами:

 

1. для всех x, y Î R. (8.6)
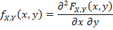
2. во всех точках непрерывности функции fX,Y (x, y). (8.7)
3. (условие нормировки). (8.8)
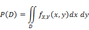
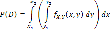
4. , где D = { x 1 £ x £ x 2, y 1 £ y £ y 2} — прямоугольник на плоскости R 2. (8.9)
5. , где D — произвольная квадрируемая область на плоскости R 2. (8.10)
6. , , где FX (x), FY (y) — функции распределения компонент X и Y. (8.11)
7. , , где fX (x), fY (y) — функции плотности распределения компонент X и Y. (8.12)

 







Date: 2015-06-05; view: 608; Нарушение авторских прав



mydocx.ru - 2015-2026 year. (1.069 sec.) Все материалы представленные на сайте исключительно с целью ознакомления читателями и не преследуют коммерческих целей или нарушение авторских прав - Пожаловаться на публикацию