Главная Случайная страница


Полезное:

Как сделать разговор полезным и приятным Как сделать объемную звезду своими руками Как сделать то, что делать не хочется? Как сделать погремушку Как сделать так чтобы женщины сами знакомились с вами Как сделать идею коммерческой Как сделать хорошую растяжку ног? Как сделать наш разум здоровым? Как сделать, чтобы люди обманывали меньше Вопрос 4. Как сделать так, чтобы вас уважали и ценили? Как сделать лучше себе и другим людям Как сделать свидание интересным?


Категории:

АрхитектураАстрономияБиологияГеографияГеологияИнформатикаИскусствоИсторияКулинарияКультураМаркетингМатематикаМедицинаМенеджментОхрана трудаПравоПроизводствоПсихологияРелигияСоциологияСпортТехникаФизикаФилософияХимияЭкологияЭкономикаЭлектроника






Время-2 час





 

Цель работы – определить электроёмкость неизвестного конденсатора и системы конденсаторов, соединённых последовательно и параллельно.

Приборы и принадлежности: микровеберметр, вольтметр, потенциометр, магазин сопротивлений, эталон емкости, конденсатор неизвестной емкости, источник напряжения, переключатель, выключатель.

Общие положения

Электрической емкостью уединенного проводника называется физическая величина, измеряемая отношением заряда проводника к его потенциалу. Если заряд проводника q, его потенциал φ, то по определению электроем­кости

 

. (1)

 

Электроемкость зависит от размеров и формы проводников, среды,

а также от взаимного расположения окружающих тел и проводника. Система

из двух проводников, разделенных слоем диэлектрика называется конденсатором. Электроемкостью конденсатора называют величину равную отношению заряда q к разности потенциалов между обкладками. Обозначим =U, тогда

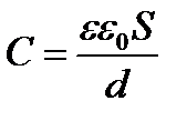
Электроемкость плоского конденсатора практически не зависит от окружающих тел и определяется выражением

 

 

где ε – диэлектрическая проницаемость среды, ε = 8, 85×10 Ф/м, S – площадь пластин, d – расстояние между пластинами.

Конденсаторы можно соединять в батарею, причем при пос­ледовательном соединении (рис.1) емкость батареи рассчитывается по формуле

 

(2)

 

При параллельном соединении общая емкость батареи

 

(3)

 







Date: 2015-05-22; view: 817; Нарушение авторских прав



mydocx.ru - 2015-2026 year. (1.823 sec.) Все материалы представленные на сайте исключительно с целью ознакомления читателями и не преследуют коммерческих целей или нарушение авторских прав - Пожаловаться на публикацию