Главная Случайная страница


Полезное:

Как сделать разговор полезным и приятным Как сделать объемную звезду своими руками Как сделать то, что делать не хочется? Как сделать погремушку Как сделать так чтобы женщины сами знакомились с вами Как сделать идею коммерческой Как сделать хорошую растяжку ног? Как сделать наш разум здоровым? Как сделать, чтобы люди обманывали меньше Вопрос 4. Как сделать так, чтобы вас уважали и ценили? Как сделать лучше себе и другим людям Как сделать свидание интересным?


Категории:

АрхитектураАстрономияБиологияГеографияГеологияИнформатикаИскусствоИсторияКулинарияКультураМаркетингМатематикаМедицинаМенеджментОхрана трудаПравоПроизводствоПсихологияРелигияСоциологияСпортТехникаФизикаФилософияХимияЭкологияЭкономикаЭлектроника






Колебания в молекуле





К гармоническому осциллятору сводится задача о колебаниях атомов в молекуле. График зависимости потенциальной энергии взаимодействия атомов в молекуле NaCl от расстояния между ними имеет вид:

 
 
 
 
ω0
v

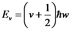
Из вида следует, что атомы могут совершать равновесные колебания относительно и у молекулы должны существовать дискретные уровни энергии , где ; - приведенная масса. Нижняя часть - парабола и при малых колебаниях молекула ведет себя как идеальный гармонический осциллятор: уровни энергии эквидистантны, переходы подчиняются правилу отбора и спектр состоит из одной частоты .

С увеличением амплитуды колебаний гармоничность нарушается, уровни сгущаются и при вычислении E надо вводить поправку.

 
x
 
 
E2
E1
U
U0>0
Потенциальные барьеры

Рассмотрим потенциальный барьер

U(x) = 0 при x< 0

U(x) = U0 при x ≥ 0. Пусть на границу барьера слева налетает частица, т.е. «падает» дебройлев-ская волна ψ(x;t) = aei(kxt)

Доказано, что в этом случае существуют три волны: падающая, отраженная, проходящая. Все они имеют ω = , поэтому в расчет можно принимать только координатную часть функции (x;t), т.е. ψ(х). Тогда уравнение Шредингера принимает вид: + k2ψ = 0, где k2 = (E- U0).

Случай 1: E>U0.Тогда общее решение уравнения + k2ψ = 0 будет:

Ψ1 0) = a1exp(ik1x)+b1exp(-ik1x), гдеk1 = (область 1)

Ψ2 0) = a2exp(ik2x)+b2exp(-ik2x), гдеk2= (область 2)

При этом полагают, что а1 – амплитуда падающей волны, b1 – отраженной,

а2-проходящей, b2=0, т.к. в области 2 других волн нет.

Коэффициент отражения R = ()2 = ( 2 .

Коэффициент прохождения D = ()2 = При этом R + D = 1.

• В классической физике при Е>U0 R = 0.

Случай 2: E<U0. Расчеты дают R = 1, k2 = , где k=const> 0.

Тогда Ψ2 = а2 = a2e-kx и плотность вероятности 𝓅(x) = = e-2kx = 𝓅(o) , т.е. несмотря на то, что R=1 (полное отражение) ψ – функция проникает сквозь барьер и в области 2 экспоненциально убывает.

Глубина проникновения (𝑙) – расстояние, на котором

плотность вероятности 𝓅(x) убывает в е раз.

Тогда = e = 2kl = 1 и 𝑙 = или 𝑙 = , т.е. чем выше потенциальный барьер U0, тем меньше глубина проникновения.

· В классической физике проникновение частицы под барьер запрещено (иначе при E<U0 кинетическая энергия K< 0, что невозможно). В квантовой физике соотношение E = K + U в силу принципа неопределенности теряет смысл, что делает такое проникновение возможным.







Date: 2015-05-19; view: 589; Нарушение авторских прав



mydocx.ru - 2015-2026 year. (1.792 sec.) Все материалы представленные на сайте исключительно с целью ознакомления читателями и не преследуют коммерческих целей или нарушение авторских прав - Пожаловаться на публикацию