Главная Случайная страница


Полезное:

Как сделать разговор полезным и приятным Как сделать объемную звезду своими руками Как сделать то, что делать не хочется? Как сделать погремушку Как сделать так чтобы женщины сами знакомились с вами Как сделать идею коммерческой Как сделать хорошую растяжку ног? Как сделать наш разум здоровым? Как сделать, чтобы люди обманывали меньше Вопрос 4. Как сделать так, чтобы вас уважали и ценили? Как сделать лучше себе и другим людям Как сделать свидание интересным?


Категории:

АрхитектураАстрономияБиологияГеографияГеологияИнформатикаИскусствоИсторияКулинарияКультураМаркетингМатематикаМедицинаМенеджментОхрана трудаПравоПроизводствоПсихологияРелигияСоциологияСпортТехникаФизикаФилософияХимияЭкологияЭкономикаЭлектроника






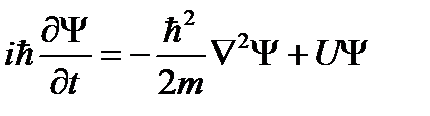
Уравнение Шредингера. В 1926 г. Шредингер завершил поиск уравнения изменения состояния системы во времени: - общее уравнение Шредингера,





В 1926 г. Шредингер завершил поиск уравнения изменения состояния системы во времени: - общее уравнение Шредингера,

где - волновая функция (комплексная функция координат и времени, формально обладающая волновыми свойствами и характеризующая волновые свойства частицы), , – оператор Лапласа, U – потенциальная энергия частицы.

Уравнение Шредингера:

1) есть новый фундаментальный закон, который введен постулативно;

2) справедливо, т.к. его следствия подтверждены экспериментально (Шредингер применил уравнение к атому водорода и получил для уровней энергии спектр, точно совпадающий с результатами опытов);

3) играет в квантовой физике такую же роль, как основное уравнение динамики в классической механике;

4) имеет особенность: в то время, как частица (в соответствии с интерпретацией Ψ – функции) «размазана» в пространстве, U рассматривается как потенциальная энергия точечной частицы в силовом поле.







Date: 2015-05-19; view: 540; Нарушение авторских прав



mydocx.ru - 2015-2026 year. (1.085 sec.) Все материалы представленные на сайте исключительно с целью ознакомления читателями и не преследуют коммерческих целей или нарушение авторских прав - Пожаловаться на публикацию