Главная Случайная страница


Полезное:

Как сделать разговор полезным и приятным Как сделать объемную звезду своими руками Как сделать то, что делать не хочется? Как сделать погремушку Как сделать так чтобы женщины сами знакомились с вами Как сделать идею коммерческой Как сделать хорошую растяжку ног? Как сделать наш разум здоровым? Как сделать, чтобы люди обманывали меньше Вопрос 4. Как сделать так, чтобы вас уважали и ценили? Как сделать лучше себе и другим людям Как сделать свидание интересным?


Категории:

АрхитектураАстрономияБиологияГеографияГеологияИнформатикаИскусствоИсторияКулинарияКультураМаркетингМатематикаМедицинаМенеджментОхрана трудаПравоПроизводствоПсихологияРелигияСоциологияСпортТехникаФизикаФилософияХимияЭкологияЭкономикаЭлектроника






Частица в прямоугольной яме





Случай 1: частица находится в потенциальной яме (т.е. в связанном состоянии) с бесконечно высокими стенками и шириной l: при U = 0, при и U→ .

В пределах ямы и уравнение Шредингера: или ,

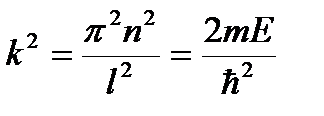
где . Общее решение такого уравнения имеет вид: , где

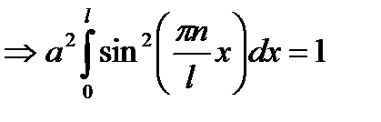
а и - постоянные, причем (иначе частицы вообще нет).

конечна и однозначна. Вне ямы частица находиться не может, значит там . Из непрерывности следует, что . Тогда из .

Из и , где n = 1, 2, 3,… (,

иначе и частицы вообще нет).

, откуда , где n = 1, 2, 3,..., т.е. энергия квантована и спектр ее дискретный. нормирована

 
l
x
 
 
 
 
n
En
E1
E2
E3
E4

где n =1,2,3…

для n =1: низшее энергетическое состояние,

в середине ямы, по краям , что резко отличается от классического поведения частицы. С ростом n и En максимумы располагаются все чаще и картина стремится стать равномерной, т.е. распределение стремится к классическому.

 
 
 
l
x
U0
U→
E<U0
В отличие от классической, у квантовой частицы , что хорошо согласуется с принципом неопределенности, т.к.

Случай 2: Частица движется в одномерном потенциальном поле U(х).

1) Частица находится в потенциальной яме, полная энергия частицы

2) Классическая частица имеет непрерывный интервал

значений с равной вероятностью может быть обнаружена в любом месте ямы и за её пределы выйти не может (т.к. из следует, что при U = U0 K< 0, что невозможно).

3) Квантовая частица, согласно расчетам при :

а) имеет дискретный спектр собственных значений Е, которому соответствуют связанные состояния и функции, характеризующие эти состояния. График одной из таких функций:

б) имеет функцию в области 2, т.е. (в противоречие классической физике) может быть там обнаружена. Такое возможно потому, что в квантовой теории равенство E = K + U теряет смысл: в силу принципа неопределенности K и U одновременно не могут принимать точные значения и в некоторых местах полная энергия E<U;

в) с ростом глубины ямы U0 число уровней энергии Е (и связанных состояний) растет, а вероятность обнаружения частицы в области 2 уменьшается. При U0 и мы переходим к случаю 1.







Date: 2015-05-19; view: 641; Нарушение авторских прав



mydocx.ru - 2015-2026 year. (0.925 sec.) Все материалы представленные на сайте исключительно с целью ознакомления читателями и не преследуют коммерческих целей или нарушение авторских прав - Пожаловаться на публикацию