Главная Случайная страница


Полезное:

Как сделать разговор полезным и приятным Как сделать объемную звезду своими руками Как сделать то, что делать не хочется? Как сделать погремушку Как сделать так чтобы женщины сами знакомились с вами Как сделать идею коммерческой Как сделать хорошую растяжку ног? Как сделать наш разум здоровым? Как сделать, чтобы люди обманывали меньше Вопрос 4. Как сделать так, чтобы вас уважали и ценили? Как сделать лучше себе и другим людям Как сделать свидание интересным?


Категории:

АрхитектураАстрономияБиологияГеографияГеологияИнформатикаИскусствоИсторияКулинарияКультураМаркетингМатематикаМедицинаМенеджментОхрана трудаПравоПроизводствоПсихологияРелигияСоциологияСпортТехникаФизикаФилософияХимияЭкологияЭкономикаЭлектроника






Тестовые задания. 1. Что называется внешним фотоэффектом?





1. Что называется внешним фотоэффектом?

А. Внешний фотоэффект – перераспределение электронов по энергетическим состояниям в твердых и жидких полупроводниках, происходящее под действием света;

Б. Внешний фотоэффект – возникновение под действием света ЭДС в системе, состоящей из контактирующих полупроводника и металла;

В. Внешний фотоэффект – испускание электронов веществом под действием света;

Г. Внешний фотоэффект – испускание электронов под действием теплового излучения;

Д. Внешний фотоэффект – испускание светом заряженных частиц.

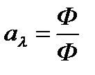
2. Что показывает площадь под кривой зависимости спектральной плотности энергетической светимости от длины волны?

А. ; Б. ; В. Ф; Г. RЭ; Д. dW.

3. Какова формула релятивистской массы фотона

А. ; Б. ; В. ; Г. ; Д. .

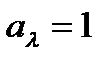
4. Чему равна поглощательная способность абсолютно черного тела для всех частот?

А. ; Б. ; В. ; Г. ; Д. .

5. Физический смысл коэффициента поглощения (поглощательной способности)

А. - энергия электромагнитных волн всевозможных частот от 0 до ∞, излучаемых за единицу времени с единицы площади поверхности тела;

Б. - энергия, излучаемая телом с единицы площади поверхности тела в единицу времени в единичном интервале длин волн при данной температуре;

В. - отношение потока излучения, поглощенного данным телом, к потоку излучения, упавшего на него;

Г. - энергия, излучаемая телом в единицу времени;

Д. - полная мощность, переносимая электромагнитным излучением через какую либо поверхность при данной температуре.

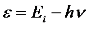
6. Чему равна энергия кванта электромагнитного излучения?

А. , где - частота излучения; h – постоянная Планка;

Б. , где - частота излучения; h – постоянная Планка; с – скорость света в вакууме;

В. , где - частота излучения; h – постоянная Планка; с – скорость света в вакууме;

Г. , где - частота излучения; h – постоянная Планка;

Д. , где р - частота излучения; h – постоянная Планка;

7. Каков физический смысл энергетической светимости (интегральной испускательной способности) тела (RЭ)?

А. RЭ – числено равна энергии электромагнитных волн всевозможных частот от 0 до ∞, излучаемых за единицу времени с единицы площади поверхности тела;

Б. RЭ – энергия, излучаемая телом с единицы площади поверхности тела в единицу времени в единичном интервале длин волн при данной температуре;

В. RЭ – отношение потока излучения, поглощенного данным телом, к потоку излучения, упавшего на него;

Г. RЭ – отношение потоков монохроматического излучения;

Д. RЭ – энергия, излучаемая телом в единицу времени.

8. Как связана энергетическая светимость тела со спектральной плотностью энергетической светимости?

А. ; Б. ; В. ; Г. ; Д. .

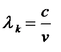
9. Указать единицу измерения постоянной Планка.

А. Дж; Б. Н/с; В. ; Г. ; Д. А/м.

10. Каков физический смысл потока излучения Ф?

А. Ф – численно равен энергии электромагнитных волн частот от 0 до ∞, излучаемых за единицу времени с единицы площади поверхности тела;

Б. Ф – полная мощность, переносимая электромагнитным излучением через какую-либо поверхность при данной температуре;

В. Ф – отношение потоков монохроматического излучения;

Г. Ф – отношение потока излучения, поглощенного данным телом, к потоку излучения, упавшего на него;

Д. Ф – энергия, излучаемая телом с единицы площади поверхности тела в единицу времени в единичном интервале частот при данной температуре.

11. Какой вид имеют спектры теплового излучения?

А. линейные; Б. спектральные; В. радужные;

Г. сплошные; Д. полосатые.

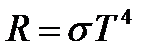
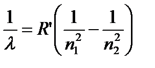
12. Как записывается закон Стефана – Больцмана?

А. ; Б. ; В. ;

Г. ; Д. .

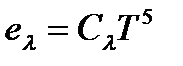
13. Как зависит энергетическая светимость абсолютно черного тела от его термодинамической температуры?

А. ; Б. ; В. ; Г. ; Д. .

14. Что называется спектральной плотностью энергетической светимости?

А. численно равна энергии электромагнитных волн всевозможных частот от 0 до ∞, излучаемых за единицу времени с единицы площади поверхности тела;

Б. энергия, излучаемая телом с единицы площади поверхности тела в единицу времени в единичном интервале длин волн при данной температуре;

В. отношение потока излучения, поглощенного данным телом, к потоку излучения, упавшего на него;

Г. отношение потока монохроматического излучения;

Д. энергия, излучаемая телом в единицу времени.

15. Как зависит длина волны , соответствующая максимальному значению спектральной энергетической светимости абсолютно черного тела от абсолютной температуры?


А. ; Б. ; В. ; Г. ; Д. .

16. Как записывается закон излучения Вина?

А. ; Б. ; В. ;

Г. ; Д. .

17. Как записывается формула потока излучения?

А. ; Б. ; В. ;

Г. ; Д. .

18. Чему соответствует максимум графика зависимости спектральной плотности энергетической светимости от длины волны?

А. Длина волны, на которую приходится максимум излучения;

Б. Частота, на которую приходится максимум излучения;

В. Полной мощности излучения;

Г. Длина волны, на которую приходится минимум излучения;

Д. Длина волны видимого участка спектра.

19. Какое излучение называется тепловым излучением?

А. Тепловое движение атомов;

Б. Тепловое движение молекул;

В. Инфракрасное излучение атомов и молекул;

Г. Видимое излучение атомов и молекул;

Д. Электромагнитное излучение, возникающее при тепловом движении атомов и молекул.

20. Чему равна энергия фотона?

А. ; Б. ; В. ; Г. ; Д. .

21. Как записывается формула, определяющая коэффициент поглощения?

А. ; Б. ; В. ; Г. ; Д. .

22. Как связан поток энергии, излучаемой абсолютно черным телом, с энергетической светимостью?

А. ; Б. ; В. ; Г. ; Д. .

23. Выбрать единицу измерения коэффициента поглощения для абсолютно черного тела

А. Дж/с; Б. Н/м2; В. 1; Г. Па. с; Д. А . В.

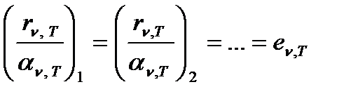
24. Как записывается закон Кирхгофа для теплового излучения?

А. ; Б. ; В. Г. Д.

25. Выбрать единицу измерения энергетической светимости

А. ; Б. ; В. ; Г. ; Д. ;

26. Какова формула закона смещения Вина?

А. ; Б. ; В. ; Г. ; Д. ;

27. Формула Планка для спектральной плотности энергетической светимости абсолютно черного тела.

А. ; Б. ; В. ; Г. ; Д. .

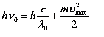
28. Формула задерживающего напряжения для фотоэффекта

А. ; Б. ; В. ; Г. ; Д. .

29. Третий закон внешнего фотоэффекта.

А. Максимальная начальная скорость фотоэлектронов не зависит от интенсивности падающего света, а определяется только его частотой;

Б. При фиксированной частоте падающего света число фотоэлектронов, вырываемых из катода в единицу времени, пропорционально интенсивности света;

В. Для каждого вещества существует красная граница фотоэффекта, т.е. минимальная частота света, ниже которой фотоэффект невозможен;

Г. Сила фототока насыщения обратно пропорциональна энергетической освещенности катода.

30. Выбрать уравнение Эйнштейна для фотоэффекта

А. ; Б. ; В. ;

Г. ; Д. .

31. Как записывается уравнение Эйнштейна для красной границы фотоэффекта?

А. ; Б. ; В. ; Г. ; Д. .

31. Укажите уравнение Эйнштейна для фотоэффекта через задерживающую разность потенциалов.

А. ; Б. ; В. ; Г. ; Д. .

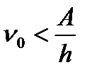
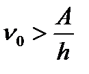
32. Указать условие наблюдения фотоэффекта

А. ; Б. ; В. ; Г. ; Д. .

33. Выбрать правильную формулу уравнения Эйнштейна для внешнего фотоэффекта.

А. ; Б. ; В. ; Г. ; Д. .

34. Чему равна максимальная скорость нерелятивистских электронов при фотоэффекте?

А. ; Б. ; В. Г. ; Д.

35. Выбрать график вольт - амперной характеристики фотоэффекта

I
I
I
I
I

 


U
U
U
U
U

 


А Б В Г Д

36. Формулировка первого закона фотоэффекта (закона Столетова)?

А. сила фототока насыщения обратно пропорциональна энергетической освещенности катода;

Б. максимальная начальная скорость фотоэлектронов не зависит от интенсивности падающего света, а определяется только его частотой;


В. для каждого вещества существует красная граница фотоэффекта, т.е. минимальная частота света, ниже которой фотоэффект невозможен;

Г. при фиксированной частоте падающего света число фотоэлектронов, вырываемых из катода в единицу времени, пропорционально интенсивности света.

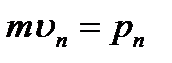
37. Как импульс фотона связан с частотой?

А. ; Б. ; В. ; Г. ; Д. .

38. Второй закон внешнего фотоэффекта.

А. Максимальная начальная скорость фотоэлектронов не зависит от интенсивности падающего света, а определяется только его частотой;

Б. При фиксированной частоте падающего света число фотоэлектронов, вырываемых из катода в единицу времени, пропорционально интенсивности света;

В. Для каждого вещества существует красная граница фотоэффекты, т.е. максимальная частота света, ниже которой фотоэффект невозможен;

Г. Сила тока насыщения обратно пропорциональна энергетической освещенности катода.

39. Укажите формулу изменения длины волны в эффекте Комптона

А. ; Б. ; В. ;

Г. ; Д.

40. Почему эффект Комптона наблюдается в области рентгеновского излучения?

А. Так как Δλ не зависит от λ и относительное изменение наибольшее для малых λ;

Б. так как Δλ зависит от λ и относительное изменение наибольшее для больших λ;

В. так как Δλ зависит от угла α;

Г. так как Δλ не зависит от угла α;

Д. так как эффект Комптона нельзя объяснить на основе классической волновой теории света.

41. Как определяется комптоновская длина волны электрона?

А. ; Б. ; В. ; Г. ; Д. .

42. Чему равна кинетическая энергия электрона отдачи при эффекте Комптона?

А. ; Б. ; В. ;

Г. ; Д. .

43. Что называется эффектом Комптона?

А. выбивание электронов из металла под действием света;

Б. упругое рассеяние коротковолнового электромагнитного излучения (рентгеновского и γ - излучений) на свободных (или слабосвязанных) электронах вещества, сопровождающееся увеличением длины волны;

В. освобождение электронов от связи с атомом в полупроводнике.

44. Какова природа света с корпускулярной точки зрения?

А. Поток нейтральных частиц; Б. Поток позитронов;

В. Поток фотонов; Г. Поток протонов; Д. Поток электронов.

45. В чем суть гипотезы де Бройля?

А. Все движущиеся материальные микрочастицы обладают свойством корпускулярно – волновой двойственности;

Б. Все материальные микрочастицы обладают свойством корпускулярно – волновой двойственности;

В. Все движущиеся материальные тела обладают свойством корпускулярно - волновой двойственности;

Г. Все материальные тела обладают свойством корпускулярно – волновой двойственности;

Д. С движением материальных тел связан некоторый волновой процесс.

46. В каких явлениях проявляются волновые свойства микрочастиц?


А. Интерференция, дифракция; Б. Дифракция;

В. Поляризация; Г. Интерференция; Д. Дифракция, поляризация.

47. Что представляют собой волны де Бройля?

А. Квадрат модуля амплитуды волн де Бройля есть мера вероятности нахождения частицы в данной области пространства;

Б. Электромагнитные волны, связанные с движением частицы;

В. Упругие волны, связанные с движением частицы;

Г. Колебания частицы, связанные с ее движением в пространстве;

Д. Амплитуда волны де Бройля определяет импульс движущейся частицы.

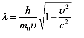
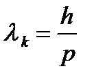
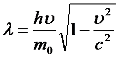
48. Выбрать формулу длины волны де Бройля для релятивистских частиц

А. ; Б. ; В. ;

Г. ; Д. .

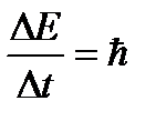
49. Соотношение неопределенностей для энергии и времени

А. ; Б. ; В. ; Г. ; Д. .

50. Определите правильное выражение соотношения неопределенностей Гейзенберга

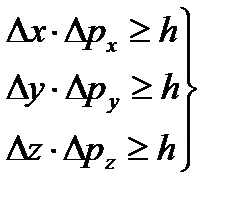
А. ; h – постоянная Планка; Δx, Δy, Δz – интервалы координат локализации частицы;

Б. ; h – постоянная Планка; Δx, Δy, Δz – интервалы координат локализации частицы;

В. ; - элемент объема пространства локализации частицы; - интервал импульса частицы;

Г. ; - элемент объема пространства локализации частицы; - интервал импульса частицы;

Д. ; - интервалы, в которых заключены проекции импульса частицы на оси XY, Z.

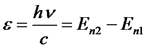
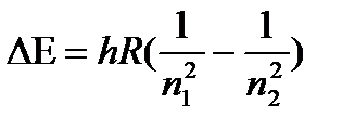
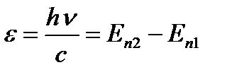
51. Формула частоты кванта ультрафиолетового света, излучаемого атомами водорода.

А. ; Б. ; В. ; Г. ; Д. .

52. Соотношение неопределенностей Гейзенберга для энергии и времени

А. ; Б. ; В. ; Г. ; Д. .

53. Как формулируется соотношение неопределенностей Гейзенберга для энергии и времени?

А. произведение неопределенности энергии на неопределенности времени не меньше постоянной Планка;

Б. произведение неопределенности импульса на неопределенности координаты не меньше постоянной Планка;

В. произведение неопределенности импульса на неопределенность координаты равно постоянной Планка;

Г. произведение неопределенности энергии на неопределенность времени больше постоянной Планка.

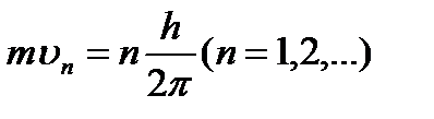
54. Второй постулат Бора.

А. при переходе электрона с одной стационарной орбиты на другую излучается (или поглощается) фотон с энергией ;

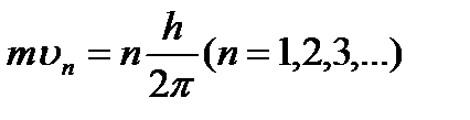
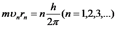
Б. в атоме существуют стационарные (не изменяющиеся со временем) состояния, в которых он не излучает энергию. Стационарными являются состояния, для которых момент импульса электрона кратен постоянной Планка: (n = 1, 2, 3,…);

В. при фиксированной частоте падающего света число электронов, вырываемых из катода за единицу времени пропорционально интенсивности света;

Г. сила фототока насыщения пропорциональна энергетической освещенности катода

55. Что представляет собой классическая модель нейтрального атома?

А. В центре атома находится ядро с электрическим зарядом , вокруг которого вращаются Z электронов с суммарным зарядом ;

Б. В положительно заряженную сферу зарядом внедрены отрицательные электроны;

В. Вокруг заряженного ядра вращаются заряженные электроны с компенсирующим зарядом;

Г. Сфера, имеющая размер атома, заполнена движущимися электронами, протонами и нейтронами;

Д. Заряженное ядро окружено электронным облаком, состоящим из Z электронов.

56. Определите правильную формулу постулата Бора при излучении кванта энергии электроном в атоме водорода (n – номер орбиты).

А. - излучение, если ;

Б. - излучение, если ;

В. - излучение, при ;

Г. - излучение, при ;

Д. - излучение, при ;

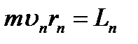
57. Какова формула постулата Бора о стационарности орбиты электрона в атоме водорода?

А. ; - момент импульса электрона на n – ной орбите;

Б. ; - импульс электрона на n – ной орбите;

В. ; - момент импульса электрона на орбите;

Г. ; - импульс электрона на орбите;

Д. ; - момент импульса электрона на n – ной орбите.

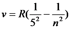
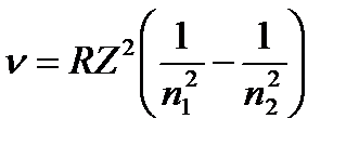
58. Какова частота излучения кванта электромагнитной волны водородоподобным атомом?

А. ; Б. ; В. ;

Г. ; Д.

59. Энергия кванта света, излучаемого атомом водорода, выраженная через энергию ионизации атома водорода

А. ; Б. ; В. ;

Г. ; Д. .

60. Что определяет главное квантовое число и какие значения оно принимает?

А. Полную энергию электрона в атоме, n = 0, 1, 2, …

Б. Полную энергию электрона в атоме, n = 1, 2, 3, …

В. Кинетическую энергию электрона в атоме, n = 1, 2, 3, …

Г. Потенциальную энергию электрона в атоме, n = 1, 2, 3, …

Д. Кинетическую энергию электрона в атоме, n = 0, 1, 2, …ъ

61. Выбрать единицу измерения момента импульса электрона в атоме водорода.

А. ; Б. ; В. ; Г. ; Д. .

62. Частота видимого света, излучаемого атомом водорода.

А. ; Б. ; В. ;

Г. ; Д. .

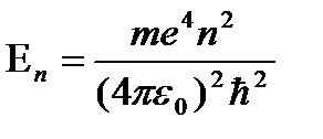
63. Чему равна полная энергия электрона в атоме водорода (n – главное квантовое число)?

А. ; Б. ; В. ;

Г. ; Д. .

64. Как формулируется первый постулат Бора?

А. при переходе электрона с одной стационарной орбиты на другую излучается (или поглощается) фотон с энергией: ;

Б. в атоме существуют стационарные (не изменяющиеся во времени) состояния, в которых он не излучает энергию. Стационарными являются состояния, для которых момент импульса электрона кратен постоянной Планка: (n = 1, 2, 3,…);

В. при фиксированной частоте падающего света число электронов, вырываемых из катода в единицу времени, пропорционально интенсивности света;

Г. сила фототока насыщения пропорциональна энергетической освещенности катода.

 

65. Частота кванта света, излучаемого водородоподобным атомом, определяется выражением

А. ; Б. ; В. ;

Г. ; Д. .

66. Какова величина энергии Ферми для полупроводника?

А. ; Б. ; В. ; Г. ; Д. .

67. Что называется энергией и уровнем Ферми?

А. Максимальное значение энергии электронов при абсолютном нуле называетсяэ нергией Фермиа соответствующий ей уровень - уровнем Ферми;

 

Б. Максимальное значение энергии электронов на уровне Ферми при данной температуре;

 

В.Максимальноезначениеэнергетическогоуровнясданнойэнергиейэлектронов;

 

Г. Наименьшее значение энергии электронов при данной температуре называется энергией Ферми, а соответствующий ей уровень - уровнем Ферми;

 

Д. Минимальное значение энергии электронов на уровне Ферми при данной температуре.

 

68. Какие квантовые состояния электрона называются вырожденными?

А. Различные квантовые состояния, соответствующие одному и тому же значению энергии электрона;

Б. Единственное квантовое состояние, соответствующее значению энергии электрона;

В. Разные значения энергии электрона, соответствующее одному квантовому состоянию;

Г. Различные значения энергии в различных состояниях электрона;

Д. Одинаковое значение энергии электрона для разных квантовых состояний.

69. От чего зависит энергия Ферми?

А. от концентрации свободных электронов в кристалле ;

Б. от концентрации электронов в кристалле ;

В. от концентрации атомов в кристалле ;

Г. от температуры кристалла ;

Д. от температуры кристалла и концентрации электронов .

70. Какому принципу подчиняется распределение электронов по энергетическим уровням?

А. По принципу Паули: на каждом энергетическом уровне может находиться не более двух электронов с противоположно направленными спинами;

 

Б. По принципу Паули: на каждом энергетическом уровне может находиться только один электрон;

 

В. По принципу Паули: электроны занимают на низшие энергетические уровни по два в каждом состоянии;

 

Г. По принципу Паули: электроны, имеющие данное значение энергии, занимают энергетический уровень, соответствующий этому значению;

 

Д. По принципу Паули: на данном энергетическом уровне находятся электроны с одинаковым значением энергии, в одинаковых состояниях.

 

71. Какова формула распределения Ферми – Дирака?

А. ; Б. ; В. ;

Г. ; Д. .

72. Какие квантове состояния електрона называются невырожденными?

 

А.Единственно еквантовое состояние, соответствующее значению энергии электрона;

Б. Различные квантове состояния, соответствующие одному и тому же значениюэ нергии электрона;

В. Разные значения энергии электрона, соответствующие одному квантовому состоянию;

Г.Различные значения энергии в различных состояниях электрона;

Д. Одинаковое значение энергии электрона для разных квантових состояний.

73. Выбрать правильную схему энергетических зон изоляторов (диэлектриков).

 


А. Б. В. Г. Д.


74. Что называется собственной проводимостью полупроводника?

А. проводимость химически чистого полупроводника;

Б. проводимость полупроводника n – типа;

В. проводимость полупроводника р – типа;

Г. проводимость примесного полупроводника.

Д. примесная проводимость полупроводника.

75. Чем обусловлена собственная электропроводимость полупроводников?

А. Преимущественно свободными электронами;

Б. Только положительными зарядами – «дырками»;

В. Отрицательно заряженными электронами;

Г. Свободными электронами и «дырками» в равной степени;

Д. Отрицательными и положительными зарядами, имеющимися в кристалле полупроводника.

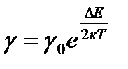
76. Какова зависимость удельной проводимости полупроводников от температуры?

А. ; Б. ; В. ; Г. ; Д. .

77. Что называется примесной электропроводимостью полупроводников?

 

А. Проводимость полупроводников с искусственно вводимой в них примесью;

Б. Проводимость примесных полупроводников;

В. Проводимость примесей, вводимых в полупроводник;

Г. Проводимость электронов, вводимых в полупроводник;

Д. Проводимость «дырок», вводимых в полупроводник.

78. Каково назначение транзистора в электронных схемах?

А. Усилитель напряжения и мощности;

Б. Усилитель силы тока;

В. Выпрямитель напряжения и силы тока;

Г. Выпрямитель переменного тока;

Д. Усилитель напряжения и силы тока.

79. Выбрать правильную схему энергетических зон полупроводников

 

 


А Б В Г Д

80. Каково назначение полупроводникового диода в электронных схемах?

А. Выпрямитель переменного тока;

Б. Усилитель переменного тока;

В. Усилитель напряжения;

Г. Выпрямитель переменного напряжения;

Д. Усилитель мощности.

81. Какова единица измерения температурного коэффициента сопротивление полупроводников?

А. Б. В. Г. Д.

82. Какова электропроводимость полупроводников р- типа и чем она обусловлена?

А. Электронная, обусловленная атомами примеси, валентность которых на единицу больше валентности атомов чистого полупроводника;

Б. Электронная. Обусловлена атомами примеси, валентность которых на единицу меньше валентности основных атомов;

В. Дырочная. Обусловлена атомами примеси, валентность которых на единицу больше валентности атомов чистого проводника;

Г. Электронно–дырочная. Обусловлена примесными атомами, валентность которых отлична от валентности атомов чистого проводника;

Д. Дырочная. Обусловлена атомами примеси, валентность которых на единицу меньше валентности атомов чистого проводника.

83. Какая электропроводимость и как у полупроводников зависит от температуры?

А. собственная – увеличивается с увеличением температуры;

Б.собственная и примесная – увеличивается с повышением температуры;

В. собственная – уменьшается с повышением температуры;

Г. примесная – уменьшается с повышением температуры;

Д. собственная и примесная – уменьшаются с повышением температуры.

84. Вентильным фотоэффектом называется…

А. испускание электронов веществом под действием света;

Б. перераспределение электронов по энергетическим состояниям в твердых и жидких полупроводниках под действием света;

В. возникновение ЭДС под действием света в системе, состоящей из контактирующих полупроводника и металла или двух разнородных полупроводников;

Г. испускание электронов при нагревании тела;

Д. испускание света под действием электрического поля.

85. В чем состоит действие внешнего электрического поля на р-п - переход?

А. Электрическое поле разрушает р-п – переход;

Б. Электрическое поле усиливает р-п – переход;

В. Электрическое поле создает в р-п - переходе электрический ток;

Г. Внешнее электрическое поле на р-п – переход не влияет;

Д. При прямом включении р-п - переход разрушается, при обратном – усиливается.

86. Что называется р-п - переходом?

А. Двойной электрический слой, возникающий в месте контакта двух полупроводников п- типа и р -типа;

Б. Тонкий электронный слой на границе раздела двух полупроводников р- типа и п -типа;

В. Тонкий электрический слой, возникающий между двумя полупроводниками разного типа;

Г. Двойной электрический слой, возникающий на границе раздела чистого и примесного полупроводников;

Д. Тонкий дырочно-электронный слой между полупроводниками различного типа проводимости.

87. Формула экспериментального определения ширины запрещенной зоны полупроводника

А. ; Б. ;

В. ; Г. ; Д. .

88. Что называется примесной электропроводимостью полупроводников?

А. Проводимость полупроводников с искусственно вводимой в них примесью;

Б. Проводимость примесных полупроводников;

В. Проводимость примесей, вводимых в полупроводник;

Г. Проводимость электронов, вводимых в полупроводник;

Д. Проводимость «дырок», вводимых в полупроводник.

89. Формула для измерения температурного коэффициента сопротивления полупроводника.

А. ; Б. ; В. ;

Г. ; Д. .

90. Каким является электронный газ в полупроводнике? Какой статистике он подчиняется?

А. Вырожденным – статистика Ферми-Дирака;

Б. Вырожденным – статистика Больцмана;

В. Невырожденным – статистика Ферми-Дирака;

Г. Вырожденным – статистика Максвелла-Больцмана;

Д. Невырожденным – статистика Максвелла-Больцмана

.

91.

I
I
I
I
I
Вольт – амперная характеристика полупроводникового диода?

 

 


U
U
U
U
U

А. Б. В. Г. Д.

92. Что называется термоэлектродвижущей силой ?

А. Это ЭДС, возникающая за счет развития внутренних контактных разностей потенциалов в спаях двух металлов, если спаи находятся при разных температурах;

Б. Это ЭДС, возникающая в спаях двух металлов при разных температурах;

В. Это ЭДС, возникающая при контакте двух разнородных металлов в результате его нагрева;

Г. Это ЭДС, возникающая при контакте двух разнородных металлов в результате изменения его температуры;

Д. Это ЭДС, возникающая в спае двух металлов за счет различия работ выхода электронов при повышении температуры.

93. Единица измерения термоэлектродвижущей силы в СИ

А. ампер; Б. ньютон; В. паскаль; Г. вебер; Д. вольт.

94. Что называется работой выхода электрона из металла?

А. Это наименьшая работа, которую должен совершить электрон проводимости для выхода из металла в вакуум;

Б. Это наибольшая работа, которую совершает электрон проводимости для выхода из металла в вакуум;

В. Это наименьшая полная энергия электрона проводимости, необходимая для выхода из металла в вакуум;

Г. Это работа, которую необходимо совершить, чтобы удалить электрон проводимости из металла в бесконечность;

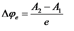
Д. Это средняя энергия теплового движения электрона, которую он получает при переходе из металла в вакуум.

95. Какая из приведенных формул определяет внешнюю контактную разность потенциалов?

А. ; Б. ; В. ;

Г. ; Д. .

96. Какая из приведенных формул определяет внутреннюю контактную разность потенциалов?

А. ; Б. ; В. ;

Г. ; Д. .

97. Формула термоэлектродвижущей силы, возникающей в цепи из разнородных проводников, имеющих различную температуру.

А. ; Б. ; В. ;

Г. ; Д. .

Таблица вариантов

№ вар. Тема 1 Тема 2 Тема 3 Тема 4 Тема 5 Тема 6
  1,31          
  2,32          
  3,33          
  4,34          
  5,35          
  6,36          
  7,37          
  8,38          
  9,39          
  10,40          
  11,41          
  12,42          
  13,43          
  14,1          
  15,2          
  16,3          
  17,4          
  18,5          
  19,6          
  20,7          
  21,8          
  22,9          
  23,10          
  24,11          
  25,12          
  26,13          
  27,14          
  28,15          
  29,16          
  30,17          

 







Date: 2015-05-18; view: 898; Нарушение авторских прав



mydocx.ru - 2015-2026 year. (0.416 sec.) Все материалы представленные на сайте исключительно с целью ознакомления читателями и не преследуют коммерческих целей или нарушение авторских прав - Пожаловаться на публикацию