Главная Случайная страница


Полезное:

Как сделать разговор полезным и приятным Как сделать объемную звезду своими руками Как сделать то, что делать не хочется? Как сделать погремушку Как сделать так чтобы женщины сами знакомились с вами Как сделать идею коммерческой Как сделать хорошую растяжку ног? Как сделать наш разум здоровым? Как сделать, чтобы люди обманывали меньше Вопрос 4. Как сделать так, чтобы вас уважали и ценили? Как сделать лучше себе и другим людям Как сделать свидание интересным?


Категории:

АрхитектураАстрономияБиологияГеографияГеологияИнформатикаИскусствоИсторияКулинарияКультураМаркетингМатематикаМедицинаМенеджментОхрана трудаПравоПроизводствоПсихологияРелигияСоциологияСпортТехникаФизикаФилософияХимияЭкологияЭкономикаЭлектроника






Частица в потенциальной яме с непроницаемыми стенками





КВАНТОВАЯ 2

Лекция 5

Стационарные задачи квантовой механики

Итак – уравнение Шрёдингера для стационарных состояний

,

а волновая функция частицы, находящейся в стационарном квантовом состоянии, имеет вид

, где .

Плотность вероятности обнаружения частицы при этом

т.е. не зависит от времени.

В стационарных состояниях от времени также не зависят вектор плотности потока вероятности и средние значения физических величин.

 

Условие нормировки волновой функции для таких состояний принимает вид

 

 

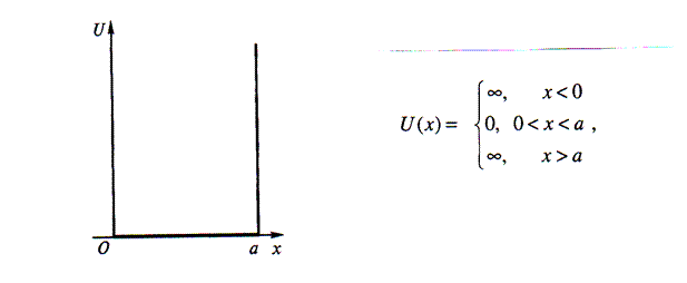
Частица в потенциальной яме с непроницаемыми стенками.

Одномерная потенциальная яма

Потенциальная энергия частицы внутри ямы (0 < x < a) постоянна и равна нулю, а вне ямы обращается в бесконечность.

 

Уравнение Шредингера для одномерного движения частицы вдоль оси ОХ:

Так как вне ямы , то для выполнения этого условия необходимо, чтобы . В силу непрерывности функция Ψ(х) должна обращаться в нуль и на границах ямы.

Таким образом, задача о движении частицы в одномерной прямоугольной потенциальной яме с непроницаемыми стенками сводится к решению уравнения

при 0 < x < a

с граничными условиями Ψ(0) = 0 и Ψ(а) = 0.

Введя обозначение получаем . Из теории колебаний известно, что решением этого уравнения является выражение

 

или .

Используя граничное условие Ψ (0) = 0 получаем В = 0 ( или

.

Используя граничное условие Ψ(а) = 0 получаем

 

и если . то , где n = 1; 2; 3 …

 

Значение n = 0 не удовлетворяет условию задачи т.к. при этом , а это означает, что частица в яме отсутствует.

Таким образом , где n = 1; 2; 3 …

Видно, что частица, находящаяся

в потенциальной яме, может иметь

только дискретные, квантовые значения







Date: 2015-05-18; view: 1291; Нарушение авторских прав



mydocx.ru - 2015-2026 year. (0.761 sec.) Все материалы представленные на сайте исключительно с целью ознакомления читателями и не преследуют коммерческих целей или нарушение авторских прав - Пожаловаться на публикацию