Главная Случайная страница


Полезное:

Как сделать разговор полезным и приятным Как сделать объемную звезду своими руками Как сделать то, что делать не хочется? Как сделать погремушку Как сделать так чтобы женщины сами знакомились с вами Как сделать идею коммерческой Как сделать хорошую растяжку ног? Как сделать наш разум здоровым? Как сделать, чтобы люди обманывали меньше Вопрос 4. Как сделать так, чтобы вас уважали и ценили? Как сделать лучше себе и другим людям Как сделать свидание интересным?


Категории:

АрхитектураАстрономияБиологияГеографияГеологияИнформатикаИскусствоИсторияКулинарияКультураМаркетингМатематикаМедицинаМенеджментОхрана трудаПравоПроизводствоПсихологияРелигияСоциологияСпортТехникаФизикаФилософияХимияЭкологияЭкономикаЭлектроника






Основные режимы работы силовых ключей в ШИМ-инверторах для асинхронных электродвигателей





 

Особенностью применения ключевых приборов в устройствах управления электродвигателями является их способность выдерживать большие напряжения и токи, зачастую действующие одновременно. Это может приводить к уходу режима работы силового ключа за пределы границ области безопасной работы, если не обеспечить достаточного запаса по предельным параметрам [4].

Другая особенность применения заключается в воздействии на ключ высокого уровня помех, способных приводить к ложному срабатыванию без соответствующих мер защиты. Обмотка асинхронного электродвигателя представляет собой RL-нагрузку.

Для управления скоростью вращения двигателя изменяют частоту источника питания, при этом изменяется индуктивное сопротивление обмотки и соответственно ток. Чтобы поддерживать ток в обмотке постоянным для сохранения неизменным вращающего момента, используют соответствующее регулирование выходного напряжения от частоты (Рис. 4.69).

Рис. 4.69

Нарушение линейности регулировки вызывает изменение вращающего момента. При этом резкое уменьшение скорости двигателя может вызвать увеличение тока возбуждения и вращающего момента, что в свою очередь может привести к насыщению поля в обмотке и повреждению электродвигателя или перегрузке силовых вентилей. Скорость асинхронного двигателя почти не зависит от его нагрузки, а значит, от вращающего момента вплоть до критических значений, при которых возникает эффект скольжения (рис. 4.70).

Рис. 4.70

Это может привести к потере скорости и увеличению тока ключа при одновременно высоком напряжении. Таким образом, для управления асинхронным электродвигателем более всего подходит схема инвертора напряжения, построенная на основе полностью управляемых мощных ключевых приборов (IGBT, MCT, GTO и их разновидности), способных выдерживать большие токовые перегрузки. Данный инвертор должен преобразовывать энергию источника постоянного тока в энергию сигнала переменной частоты с низкочастотным гармоническим составом и регулируемым выходным напряжением и частотой. Выполнение этих требований обеспечивает применение инверторов напряжения с ШИМ. Общепринятой является конфигурация автономного инвертора со звеном постоянного тока (VWF-инвертор) (рис. 4.71).

Рис. 4.71

Данная схема содержит входной неуправляемый выпрямитель, емкостной фильтр и собственно трехфазный мостовой инвертор. Мостовое соединение ключей позволяет получать двухполярное напряжение на обмотке двигателя при однополярном источнике питания. Индуктивный характер нагрузки учитывается подключением к основным ключам встречно-параллельных диодов, обеспечивающих непрерывность протекания тока в обмотке при отключении ее от источника и возврат запасенной магнитной энергии в конденсатор фильтра. Так как входной выпрямитель не проводит ток в обратном направлении для двигателей с высокой интенсивностью тормозных режимов, предусмотрена специальная схема рассеивания рекуперированной электрической энергии (цепь «слива»).

Рис. 4.72

Для анализа режимов работы силовых ключей в ШИМ-инверторах конфигурации преобразователей со связью по цепи постоянного тока могут быть приведены к полумостовой структуре, представленной на рис. 4.72.

В данной схеме применяется поочередная коммутация вентилей при модулируемом по ширине сигнале управления. В результате выходной сигнал инвертора состоит из прямоугольных импульсов напряжения различной ширины VOUT (рис. 4.73).

Рис. 4.73

При резистивноиндуктивном характере обмотки асинхронного двигателя протекающий через нее ток IL имеет синусоидальную форму, которая сдвинута по фазе относительно основной гармоники выходного напряжения VOUT1.

Определение потерь мощности в ключевых элементах инвертора с ШИМ регулированием отличается от обычного метода, основанного на постоянстве коэффициента скважности D. Для двухтактной схемы среднее за период частоты коммутации напряжение на нагрузке:

VL = E (2 D – 1) (4.104)

где Е — напряжение питания инвертора;

D =tP/T= ftP —скважность;

tP — длительность открытого состояния ключа;

f = 1/Т— частота коммутации.

Для формирования синусоидального тока нагрузки:

(4.105)

где ω = 2πfOUT,

fOUT – частота выходного напряжения и тока,

требуется синусоидальное выходное напряжение инвертора:

(4.106)

где – модуль комплексного сопротивления нагрузки обмотки двигателя);

– угол сдвига фаз между напряжением и током нагрузки.

При выполнении условия f >> fOUT можно считать:


(4.107)

Тогда значение коэффициента D при ШИМ-регулировании с учетом (4.104) и (4.106) можно представить выражением:

(4.108)

где — коэффициент модуляции.

При этом среднюю мощность потерь в ключевых элементах инвертора можно рассчитать по следующей методике:

1. Динамические потери в управляемом ключе:

(4.109)

где EON и EOFF – энергии потерь при переключении силового ключа в схеме с индуктивной нагрузкой, приведенные к заданной амплитуде тока нагрузки и напряжению питания инвертора (см. раздел 2.4.1).

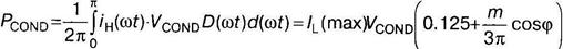
2. Статические потери в управляемом ключе: (4.110)

где VCOND — напряжения ключа в открытом состоянии.

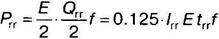
3. Статические потери в обратном диоде: (4.111)

где VD(cond) — напряжение на открытом диоде.

4. Динамические потери в обратном диоде (для диодов с мягким выключением tA = tB = trr/2):

(4.112)

где Orr, Irr, trr — динамические характеристики диода.

Оценка реальных потерь в схемах преобразователей для асинхронных двигателей показывает, что при относительно невысокой частоте коммутации основную долю составляют потери мощности в открытом состоянии ключа и диода, которые в свою очередь зависят от максимального тока нагрузки, напряжения насыщения, а также произведения A = (m cosφ), учитывающего эффективность преобразователя по напряжению (m) и характер нагрузки (cos φ). При регулировании скорости двигателя с изменением частоты и амплитуды выходного сигнала параметр А также изменяется. Максимум мощности потерь в ключе определяется при А→1. Рабочий цикл силового ключа при этом максимален, а увеличение коэффициента мощности означает сближение максимумов открытого состояния tP и тока нагрузки. Максимальные потери в диоде возникают при отрицательных коэффициентах мощности (cosφ < 0), при этом преобразователь представляет собой источник с реверсированной мощностью.

На рис. 4.74 представлено изменение мгновенной мощности потерь и ее среднее значение для отдельного IGBT-ключа трехфазного мостового модуля BSM50GD120DN2 в корпусе Econopack 2 фирмы «Infineon Technologies», предназначенного для применения в диапазоне 50 А 1200 В.

Параметры схемы преобразователя и режима нагрузки:

Напряжение питания инвертора Е = 540 В.

Действующее значение тока нагрузки /L (действ) = 25 А.

Частота коммутации f=4kHz.

Коэффициент мощности cos f = 0.8.

Коэффициент модуляции m = 0.8.

Изменение температуры кристалла ключа с учетом тепловых сопротивлений и мощности потерь представлено на рис. 4.75 для нескольких частот выходного напряжения. Анализ полученных данных позволяет сделать следующие выводы:

1. С ростом частоты fOUT максимальная температура перехода приближается к среднему значению, что позволяет на частотах в несколько десятков герц оценивать тепловой режим ключа на основе средних потерь.

2. Максимальная температура ключа резко возрастает при уменьшении tOUT до единиц герц, что соответствует величине частоты скольжения асинхронного двигателя.

Запуск электродвигателя также требует использования низких частот при большом вращающем моменте, который сопровождается увеличением тока нагрузки, что определяет наихудшие условия теплового режима ключа. Приведенные данные показывают, что относительно сложные законы управления с различными вариантами ШИМ, позволяющие получать (Качественные характеристики преобразователя, могут быть реализованы на основе полностью управляемых ключей, имеющих минимальное напряжение насыщения и способных выдерживать большие токовые перегрузки.


Мощные МДП-транзисторы могут рассматриваться в качестве конкурентоспособных ключей для данной сферы применения только при относительно низких напряжениях (менее 200 В). Наиболее предпочтительными в системах управления двигателями переменного тока являются транзисторы IGBT и тиристорные ключи. Выбор конкретного типа ключа определяется сферой применения асинхронного двигателя, которые различаются уровнем токовой нагрузки.

а б

Рис.4.74

Рис. 4.75

Например, в сфере индустриального электропривода на токи до 200 А преимущественно применяются IGBT- и МСТ-ключи с рабочим напряжением 600, 1200 и 1700 В. Для применения в системах городского электротранспорта при токах нагрузки в несколько сотен ампер эффективны сборки модульных конструкций IGBT- и GTO-тиристоры. В системах электроподвижного железнодорожного транспорта и метрополитена должны применяться ключи с повышенной плотностью выходного тока, так как токи нагрузки здесь достигают нескольких тысяч ампер.

Рассмотрим особенности переключения основных типов ключей (IGBT, МСТ и GTO) в режимах, соответствующих двигательной нагрузке.

 







Date: 2015-05-09; view: 2883; Нарушение авторских прав



mydocx.ru - 2015-2026 year. (0.839 sec.) Все материалы представленные на сайте исключительно с целью ознакомления читателями и не преследуют коммерческих целей или нарушение авторских прав - Пожаловаться на публикацию