Главная Случайная страница


Полезное:

Как сделать разговор полезным и приятным Как сделать объемную звезду своими руками Как сделать то, что делать не хочется? Как сделать погремушку Как сделать так чтобы женщины сами знакомились с вами Как сделать идею коммерческой Как сделать хорошую растяжку ног? Как сделать наш разум здоровым? Как сделать, чтобы люди обманывали меньше Вопрос 4. Как сделать так, чтобы вас уважали и ценили? Как сделать лучше себе и другим людям Как сделать свидание интересным?


Категории:

АрхитектураАстрономияБиологияГеографияГеологияИнформатикаИскусствоИсторияКулинарияКультураМаркетингМатематикаМедицинаМенеджментОхрана трудаПравоПроизводствоПсихологияРелигияСоциологияСпортТехникаФизикаФилософияХимияЭкологияЭкономикаЭлектроника






Оптимизация внутренней транспортнои схемы при размещении ТСБ





Оптимизация размещения ТСБ при общей оптимизации ТС оче-видно необходима, причем вполне естественно решать эту задачу в рамках оптимизации перевозок труб. В математическую модель задачи 1 введены элементы, определяемые размещением трубосварочных баз, а именно, затраты, связанные с доставкой труб от ОПСТ до ТСБ с развертыванием их на новых площадках. Однако следует иметь в виду, что число возможных вариантов размещения ТСБ вдоль всей трассы может быть очень болылим. Применение методов сокращенного счета, например, метода динамического программирования, в данном случае оказывается неэффективным, так как он дает ощутимые преимущества только при решении задач оптимизации с довольно ограниченным, в отличие от данного случая, выбором управлений на каждом шаге. В связи с этим возникает вопрос— как сократить число вариантов настолько, чтобы задача без заметного ущерба для результатов стала реально разрешимой? Оказывается это можно сделать методом отбраковки вариантов, который обобщает накопленный опыт размещения ТСБ при проектировании магистральных газопроводов. Метод оперирует «мерой коммуникабельности» размещения ТСБ, под которой будем понимать численное значение обобщенной характеристики, определяемой количеством, протяженностью и качеством коммуникаций, связывающих площадку с опорным пунктом и с трассой. Мера коммуникабельности позволяет еще до машинного решения задачи дать объективнуіо оценку качества площадки на основе трансІІортных затрат.

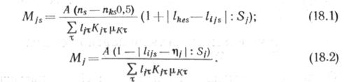
Обозначим: М^ — мера коммуникабельности 5-й возможной площадки /-го участка трассы; К/г и //., — категория и протяжен-ность т-й коммуникации /-го участка трассы; /,> и /*е5 — пикеты выхода на трассу крайних связей 5-й площадки; п3 и /І*5—число связей 5-й площадки, общее и тех крайних, пикеты выхода ко-торых на трассу совиадают с границами участка /-го ОПСТ; 53 и ті^ — предполагаемая длина /-го участка трассы и отметка его геометрического центра; А — константа, вводимая в формулу для удобства работы, принимаемая равной 100; цк^ — константа, имеющая размерность стоимостных показателей перевозок, вводится для каждой категории автодорог. Значения получены расчетным путем и по категориям автодорог составляют: {1.67,-0.87, 0.62, 0.48, 0.46, 0.6).

 


Для определения меры коммуникабельности площадки рекомендуется использовать эмпирические формулы для площадок, имеющих более одной связи с трассой, и для площадок, имеющих только одну связь с трассой:


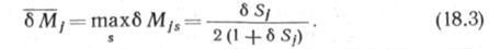
Так как по определению относительной погрешности бЛ1зх справедливо


Полученные оценки довольно условны, что объясняется не-определенностью величин 5^. Так как их точные значения могут быть получены только в результате оптимизации перевозоктруб, то при определении М^5 до машинного решения задачи можно задать

приблизительные значения 5_/. При этом нужно оценить влияние погрешности задания 5/ на погрешность М/.,. Такая оценка получена в виде

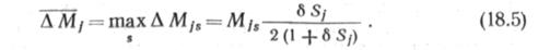
где М]„ М/в — истинное и приблизительное значения меры ком-муникабельности 5-й площадки, то максимальное абсолютное значение погрешности ДМ^ может быть в силу (18.3) и (18.4) определено как

Метод отбраковки вариантов размещения ТСБ состоитвследующем. Допустим, что по тем или иным практическим соображениям на каждом І-м участке трассы считаются возможными для размещения сварочных баз Р; площадок. Метод отбраковки париантов позволяет проанализировать М/,,, ДМ/, вычисленные по формулам (18.1) — (18.3) для каждой из этих площадок, и отбросить заведомо плохие, оставив на каждом участке лишь по 1—3 конкурснтноспособных для последующих оптимизационных расчетов.

Последовательность действий при этом такова: Шаг 1. Разбивают трассу на зоны действия опорных пунктов с учетом планового расположения связей. Измеряют 5,. Погрешность задания 5; (по сравнению с результатами машинного решения) составляет 10—40%-

Шаг 2. Используя полученные значения 5^, по формулам (18.1) и (18.2) вычисляют меры коммуникабельности всех площадок и запоминают их. Выделяют площадки с максимальными значениями М^, т. е. такие, что М, = тах МуѴ5

Шаг 3. Находят предельно допустимую границу меры ком-муникабельности снизу. Для этого по формуле (18.5) определяют ДМ/ (65/ можно принять равным 0,25) и подставляют затем в формулу

Из списков возможных площадок вычеркивают все те, значения которых не превосходят М^. Опыт решения задачи показы-вает, что невычеркнутыми оказываются на каждом участке по 1—2, редко 3 площадки. Число оставшихся вариантов размещения ТСБ вдоль трассы определяется как произведение степеней единицы, двойки и тройки, с преобладанием первых двух, т. е. задача выбора оптимального размещения ТСБ практически становится вполне разрешимой с применением современных ЭВМ.







Date: 2015-06-07; view: 665; Нарушение авторских прав



mydocx.ru - 2015-2026 year. (0.463 sec.) Все материалы представленные на сайте исключительно с целью ознакомления читателями и не преследуют коммерческих целей или нарушение авторских прав - Пожаловаться на публикацию