Главная Случайная страница


Полезное:

Как сделать разговор полезным и приятным Как сделать объемную звезду своими руками Как сделать то, что делать не хочется? Как сделать погремушку Как сделать так чтобы женщины сами знакомились с вами Как сделать идею коммерческой Как сделать хорошую растяжку ног? Как сделать наш разум здоровым? Как сделать, чтобы люди обманывали меньше Вопрос 4. Как сделать так, чтобы вас уважали и ценили? Как сделать лучше себе и другим людям Как сделать свидание интересным?


Категории:

АрхитектураАстрономияБиологияГеографияГеологияИнформатикаИскусствоИсторияКулинарияКультураМаркетингМатематикаМедицинаМенеджментОхрана трудаПравоПроизводствоПсихологияРелигияСоциологияСпортТехникаФизикаФилософияХимияЭкологияЭкономикаЭлектроника






Катодный и анодный процессы при электрохимической коррозии металлов





 

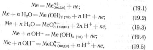
Элсктрохимическая коррозия металла в электролите сопровождается двумя сопряженными процессами: переходом ионов металла в электролит с образованием гидратированных ионов и разрядом этих ионов с выделением на поверхности металла нейтральных атомов. Первый процесс называется анодным, второй — катодным. Анодный процесс может быть охарактеризован одним из уравнений вида

где Меп+(водн) — растворимые в воде катионы; МеОп(ВОдн) — растворимые в воде оксианионы с определенным числом молекул воды; Ме(ОЯ)„(тв) — плохо растворимая твердая гидроокись; пе — число свободных электронов.

Из (19.1 —19.5) видно, что процесс разрушения металла сопровождается переходом ионов металла в электролит с образованием растворимых или слаборастворимых в водс компонентов. Катодный процесс протекает при наличии в электролите окислительного элемента—деполяризатора, ассоциируюіцего избыточные элсктроны, появившиеся в металле. Поэтому обра-тимый окислительно-восстановительный потенциал деполяризатора должен быть положительнее обратимого потенциала металла (обратимым называется электродный потенциал такого ионного обмена, в котором участвуют только ионы данного ме-талла; соответственно необратимым электродным потенциалом называется потенциал процесса, в котором участвуют ионы данного металла и другие ионы). Катодная деполяризация может осуществляться ионами

 


и нейтралыіыми молекулами

Таким образом, катодный процесс будет определяться деполяризацией ионов или нейтральных молекул, содержащихся в электродной среде, в которой находится трубопровод.

Коррозионные процессы, протекающие в магистральных трубопроводах, характеризуются двумя видами деполяризации: кислородной и водородной. Коррозия с кислородной деполяризацией наиболее распространена и протекает в атмосферных условиях, в группах, содержащих воду, и т. п. Эти условия встречаются повсеместно на трассах магистральных трубопроводов. Коррозионный процесс с водородной деполяризацией характерен для случаев, когда металл находится в кислой среде.







Date: 2015-06-07; view: 809; Нарушение авторских прав



mydocx.ru - 2015-2026 year. (0.543 sec.) Все материалы представленные на сайте исключительно с целью ознакомления читателями и не преследуют коммерческих целей или нарушение авторских прав - Пожаловаться на публикацию