Главная Случайная страница


Полезное:

Как сделать разговор полезным и приятным Как сделать объемную звезду своими руками Как сделать то, что делать не хочется? Как сделать погремушку Как сделать так чтобы женщины сами знакомились с вами Как сделать идею коммерческой Как сделать хорошую растяжку ног? Как сделать наш разум здоровым? Как сделать, чтобы люди обманывали меньше Вопрос 4. Как сделать так, чтобы вас уважали и ценили? Как сделать лучше себе и другим людям Как сделать свидание интересным?


Категории:

АрхитектураАстрономияБиологияГеографияГеологияИнформатикаИскусствоИсторияКулинарияКультураМаркетингМатематикаМедицинаМенеджментОхрана трудаПравоПроизводствоПсихологияРелигияСоциологияСпортТехникаФизикаФилософияХимияЭкологияЭкономикаЭлектроника






Самонесущие висячие трубопроводы





Самонесущий висячий трубопровод представляст нить (трубопровод), Іюдвешенную к двум оиорам (рис. 14.36). В схсме а псреход чсрез естестпеиное прспятствие с берегами на одном уровне; схема б — берега на разных уровнях, что Іюзволяет обойтись одним пилоном; в схемс в — переход через ущслье, пилоны не требуются вообще. Самонесущие висячие трубопро-поды могут применяться для газопроводов диаметром до 100см; применять их для нефтепроводов нецелесообразно. К настоящему вре-


 

мени построено несколько переходов по схсме жесткой нити, из них все переходы нефтепроводов вышли из строя (либо разрушились, либо пришли в аварийное состояние).

Назначение геометрических размеров и критерий жесткости

Диаметр и толщину стенки труб будем считать заданными и опредсленными из условий обеспсчсния пропускной способности и прочности на внутреннее давлсние. Пролет трубопровода / также определяется по ширине прспятствий. Таким образом, назначению подлсжит начальная стрелка прогиба /0 в период монтажа трубопровода. Последующее се изменение будет происходить за счет измснсния темпсратуры, внутреннего давления и податливости опор.

Напряжение изгиба в жесткой нити можно определить как для обычной балки:



Для оценки жесткости нити в механикс висячих систем исгюльзуется отноінение напряжений изгиба и растяжения в подвссной системе

а напряжение растяжсния с учстом того, что в жесткой нити натяжение уменыиается за счет упругого изгиба,


 

где /, №, Р — соответственно моменты инерции, сопротивления и площадь сечения нити; д —распределенная нагрузка. Подставив (14.60) и (14.61) в (14.59), получим

При \|з^0,05 нить называют гибкой и жесткость ее не учи-тывают; при 0,05<І(>< сс —нить жесткая; при г|з= со нить следует рассматривать как балку.

 

Статический расчет жесткой нити на начальную нйгрузку

В качестве начальной нагрузки принимаются вес д единицы длины незаполненного продуктом трубопровода. Уравнение жесткой нити получается из уравнсний равновесия элемента йх, выделенного из нити (рис. 14.37). Учитывая, что горизонтальные проекции продольных сил Р и Р + йР (вследствие жесткости элемента они не совпадают с его продольной осью) будут равны распору Н, получим:

из уравнения момснтов относитсльно точки В

из уравнения проекции сил на горизонтальную ось

Выиолнив некоторыс прсобразования этих уравнений, имея в виду, что 1д(а—^а)—1^0 = ^50, получим

 

Учитывая далее, что

 

получаем дифференциальное уравнение жесткой нити

решение которого в общем виде

Нроизвольные гюстоянные находим из условия закрепления нити в краевых ссчениях.

Рассмотрим наиболее интересное для практики решение, когда нить сначала загружается монтажной нагрузкой дй, а затем дополнительной от веса продукта, снега и обледенения д{. Сум-марная нагрузка <7 = <7о + <7І. В период монтажа концы нити не защемлены, и поэтому ее можно считать без каких-либо допущений двухшарнирной нитью (рис. 14.38).

Граничные условия очевидны:


Определив С,, С2, С3 и С4, получим уравнение нити и М(х):


 


Натяжение нити Н можно найти следующим образом Используя формулу (14.61), в первом прнближении имеем


Вторая составляющая этого уравнения есть отношение

Принимая в (14.62) х = 0, находим М(*=0) при Я(1). По (14.63), подставив полученное М в (14.63) с учетом (14.64), находим новое значение Н (2) и т. д. Точность вычисления Н уже третьей итерации вполне достаточиа.

После окончания монтажа и соединения концов нити с общим трубопроводом труба загружается дополнительной нагруз-кой (продукт, снег, лед и т. п.) <?,. Напряженное состояние нити при этом можно установить из следующего.

Удлиненне нити от нагрузки ді составит

где НЧІ распор нити от нагрузки?,, принимаемый в первом приближении,

Общая длииа нити с учетом ДІ0 а начальная длина ее

 


 

Определяя из (14.66) и (14.67) Д/.0 и приравнивая ее значе-ние полученному по (14.65), находим


Прогиб нити с учетом дополнительной нагрузки будет

Соответствующее этому прогибу натяжение Нч определим по формуле (14.63), в которой вместо д0 следует принять <7 = <7о+ + <?ь а вместо /0 — прогиб / (по 14.68).

Учет изменения температуры

Изменение температуры нити на А? приводит к ее удлинению на &Ь = <цЬ&1.

Используя зависимости (14.66) и (14.67), получим


где ^—прогиб по (14.68).

Поскольку длина нити увеличилась за счет Д^, распор Н ѵменьшится на величину

В (14.69) и (14.70) нужно учитывать знак Аі.

Учет внутреннего давления

Внутреннее давление р вызывает удлиненис нити на величину А^ = 0,2аКц^/^. Соответственно стрелка прогиба />,, ( увеличится по сравнению с (14.69) и составит

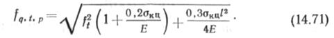
Растягивающее усилис в трубопроводе только от внутреннего давления (будем считать его равным распору Нр) составит //р = 0,50кц^Ѵ^. Таким образом, полностью загружснный трубопровод с температурным псрепадом и внутрснним давлением будет иметь стрелку прогиба, определяемую по (14.71), и рас-пор НдІІ,р = Нч + Нр+НІ; в этом выражении знак «—» перед ЯІ принимается при укорочении нити (А«0), а знак «+» — при ее удлинении (А<>0).

Напряжение изгиба найдем по известной формуле

Принимая у = 4іі,Р(1—х)/№ и определяя у", получаем аи = 4ЕО„ІІ р//А где I — длина нити, определяемая по формуле (14.67) при/о=/9,(.р

 

 


Полное напряженное состояние трубопровода будет

Приведенные формулы позволяют рассчитать напряженное состояние и геометрические характеристики жесткой нити в различныс периоды ес эксплуатации.

Основные сведения о монтаже арок и висячих трубопроводов

Монтаж арок:

на трубопрочном станке гнут необходимое число труб в соответствии с расчетной кривизной арки;

на монтажной площадке сваривают на полную длину арку, а также собирают на ней все элементы оснастки;

подготовленную к установке арку испытывают внутренним давлением, после чего перетаскивают через препятствие на плаву или на плавучих опорах (рис. 14.39), арку / устанавливают сначала в положение / и подготавливают ее к подъему; затем с помощью кранов 2 и подъемника на плавучей опоре 3 арку поднимают (положенис //);


арку закрепляют в опорах.

Для удержания арки при монтаже применяют временныс оттяжки. В зависимости от ширины препятствия либо две, либо четыре оттяжки.

Монтаж ѳисячих трубопроводов:


подготовляют опоры под пилоны и анкерныс опоры; обычио устраивают Іпарнирныс опоры, которые позволяют пилону по-ворачнваться в Іпарнирс, обеспсчивая тсм самым линсйное

 

перемещение верха пилона при изменении длины трубопро-вода (температурные и т. п.);

протаскивают трубопровод в створ перехода и удерживают на плаву (рис. 14.40); длина трубопровода определяется расчетом;

пилоны закрепляют на шарнирных опорах;

с помощью монтажных кранов поднимают пилоны и натяжным устройством создают усилие Р0 в трубопроводе; натяжение осуществляется через тросовые оттяжки с передачей натяж-ного усилия на анкерные опоры;

по окончании подъема и регулировки стрелки прогиба закрепляют оттяжки в анкерных опорах;

присоединяют висячий трубопровод к основной подземной магистрали.

 

 

Глава 15

ПОДЗЕМНЫЕ ПЕРЕХОДЫ ТРУБОПРОВОДОВ ПОД ДОРОГАМИ И ДРУГИМИ ИСКУССТВЕННЫМИ ПРЕПЯТСТВИЯМИ

Широкая сеть железных и автомобильных дорог, а также оросительных и судоходных каналов обусловливает необходимость нересечения их трубопроводами. Точное их число, размеры и конструктивные особенности могут быть опрсделсны после выбора оптимальной трассы и определении вида и характеристик препятствий.








Date: 2015-06-07; view: 1434; Нарушение авторских прав



mydocx.ru - 2015-2026 year. (0.805 sec.) Все материалы представленные на сайте исключительно с целью ознакомления читателями и не преследуют коммерческих целей или нарушение авторских прав - Пожаловаться на публикацию