Главная Случайная страница


Полезное:

Как сделать разговор полезным и приятным Как сделать объемную звезду своими руками Как сделать то, что делать не хочется? Как сделать погремушку Как сделать так чтобы женщины сами знакомились с вами Как сделать идею коммерческой Как сделать хорошую растяжку ног? Как сделать наш разум здоровым? Как сделать, чтобы люди обманывали меньше Вопрос 4. Как сделать так, чтобы вас уважали и ценили? Как сделать лучше себе и другим людям Как сделать свидание интересным?


Категории:

АрхитектураАстрономияБиологияГеографияГеологияИнформатикаИскусствоИсторияКулинарияКультураМаркетингМатематикаМедицинаМенеджментОхрана трудаПравоПроизводствоПсихологияРелигияСоциологияСпортТехникаФизикаФилософияХимияЭкологияЭкономикаЭлектроника






Арочные и самонесущие висячие трубопроводы арочные трубопроводы





Арочные переходы трубопроводов применяются при пересечении естественных и искусственных препятствий незначительной протяженности (до 100 м). Эти переходы сооружаются из одной, двух и даже трех труб по схеме бесшарнирных и двухшарнирных арок (рис. 14.31). Понятие «двухшарнирная арка» для тру-бопроводов — условное, так как создать совершенный шарнир практически нельзя. Поэтому под двухшарнирной аркой пони-мают арку, в опорных частях которой имеется какаято возмож-ность поворота труб. При этом изгибающие моменты в трубах возникают, но несколько меныііей величины, чем в бесшарнирной арке. Конструктивно арки оформляются следующим обра-зом: арки однотрубные без каких-либо деталей и закреплений в пролете; арки однотрубные с закрсилением пролета ветровыми оттяжками; арки двух- или трехтрубные с закрепляющими связями, ветровыми оттяжками и т. п.

Статический режим арочного трубопровода

Основное отличие арки-трубы от обычной мостовой арки заключается в наличии внутреннего давления, создающего определенные внутренние усилия, не зависящие от внешних нагрузок (веса конструкций, снега, льда, ветровых нагрузок). Расчетные схемы двухшарнирной и бесшарнирной арок приведены на



 


 

рис. 14.32. На обе арки действует всртикальная нагрузка, рас-пределенная Ію закону <7(*) = <7/со5ф(лг), где ц — нагрузка в ключе (сечение х=0,Ы); ф(ж) — угол наклона сечения х в вертикали. В пологих арках с отношением ///<0,1 можно принимать нагрузку д) = д, т. е. равномернораспре-деленную.

Кроме усилий от нагрузки д в арке возникают внутренние (растягивающие) усилия от внутреннего давления опр = = рО„„/(4д), где 6 — толщина стенки трубы.

Соответствующие деформации арки (увеличивают ее длину) епр = 0,2сгкц//:, а удлинение А/ = еПр'- Темпсратурные изменения длины Д/2 = ск/(/—/о)-

Болыиое значение имеет также учет измснения положения оіторных сечений арок (пят) под воздействием Ішдземных участков трубопровода, прилсгающих к аркс. Они вызовут сжатие арки на перемещение и0 (рис. 14.33), что приводит к проявлснию в арке значительных дополнительных усилий. Правда, эти усилия могут появиться только в том случае, если опоры арки под действисм подземных участков труб смещаются, как изо-бражено на рис. 14.33.

Расчет арки заключается в отыскании неизвестных, необходимых для опредсления изгибающих моментов М, продольных сил Р и поперечных сил (2 в любом сечении арки. ДвухпІарІІир-ная арка — однажды статически нсопределима, бесшарнирная — трижды. В соотвстствии со схемой рис. 14.32, а необходимо найти лишь горизонтальную проекцию силы Р, называемую рас-ІІором Н, а в схеме рис. 14.32, б — неизвестные Мп, (30 и Нп. Обіций метод расчета арок, как известно, заключается в отбрасыпании липіних связей и последующем их определении по методу сил.

Кратко охарактеризуем основные зависимости метода сил при расчете бесшарнирной арки, наиболее полно отвечающей действительным условиям работы арочного трубопровода. Перенесем силы, показанные на рис. 14.32, б, в так называемый упругий центр арки (рис. 14.34), расположенный на рассто-янии 0,33,г от ключевого сечения.

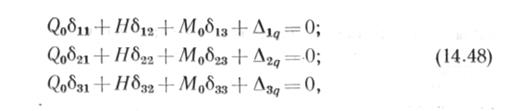
КаІІонические уравнения метода сил для такой схемы имеют вид


где бц, й|2)..., бзз — перемещсния рассматриваемого сечения от одной из сил в направлении к другой (при единичных значениях сил); АІ7, Д, А3д — перемещения того же сечения арки от внешних нагрузок, или, иначе, грузовое перемещение.

Если расположить начало координат х, у в упругом центре С, то, как показано в строительной механике, перемещения 6І2 =


откуда находим неизвестныс

= 6Із = 623 = 0. поскольку 6|2 = 621, 623 = 632 И Т. Д., ТО И 62| = 63| = = 632 = 0.


 


Значения бц, б22, бзз в общем виде определяются по формулам

Таким образом, система (14.48) записывается в виде

гдс ф — угол мсжду касательной к крипой и горизонталью; Л«' = (/0//)А5; Ах— отрезок длины арки; /0—момент инерции арки в ключсвом сечении (х = 0); / —момент инсрции в производительном ссчснии; Р — площадь сечения арки; 0 — модуль упругости второго рода; |І — коэффициснт формы сечсния (для кругового ссчения |І=1,18, для прямоугольного ц=1,2).

Замстим, что при снммстричной ІІагрузкс АІУ = 0, поэтому в (14.49) для симметричной нагрузки остаются только два уравнения. Если нагрузка кососимметричная, то А2гѴ = А3,; = 0, и остается одно уравнение.

Если для пологой арки-трубы считать /0 = /, что вполне до-пустимо, то Ах' = А5. Для упрощения расчетов коэффициентов Л,т составляют таблицу (табл. 14.2), для чего арку разбивают на несколько участков Ля, например на 14—16, т. с. /=(14ч--И6)Л<;. В таблицу проставляют значения 6,т по каждому участку для Іюловины арки, а итоговый результат удваивается. Если не учитывать перемсщения арки, вызванные деформациями



сдвига и продольными, что вполне допустимо, то система (14.51) упрощается до вида

что существенно умсныпает объем вычислений.

Грузовыс члены уравнения опредсляют по формуле

где Мі — момент от единичной силы М0 в статически определи-мой арке; М,, — балочный момент в той же арке от внешней нагрузки.

Так, от нагрузки М0=\ (см. рис. 14.34) в сечении х М=1, а момснт в том же сечении от </: Лід = <7л:2/2.

Таким образом,

 

Аналогично находят ДІ, и А:

Учет изменения температуры

При изменении температуры арки на А^ = /—/о в ней возникают температурные усилия, для определения которых грузовые члены уравнений А\ч, А^д, Азд нужно заменить на члены вида Ан, А2(, Аз<-

Будем при этом считать, что нагрев арки равномерный, т. е. нагрузка от Д/ симметрична. Вследствие этого Дц = 0 и А3/ = 0.


Учитывая (14.52), находим по (14.49) температурный распор


Остается лишь уравнение (14.49) при

Учет податливости опор

Этот случай показан на рис. 14.37, т. е. будем считать возможным только горизонтальное смещение 0. Тогда Аіи„ =Ази„. а А20 = —2«0-

Учитывая (14.49), получим дополнительный распор от смещений опор:

Учет внутреннего давления

Внутреннее давленис р вызывает в арке продольные растягивающие напряжения, которые приводят к удлинению арки: Д/ = 0,2<Гкц/АЕ.

По аналогии с (14.53) имеем

Грузовые члены АІР и Азр обращаются в нуль.

Таким образом, окончательно расчетная схема бесшарнирной аркитрубы имеет вид, показанный на рис. 14.35 (изображена половина арки). Вычисление М, Р, ф в любом сечении арки не представляет никаких затруднений (начало системы координат расположим в ключевом сечении арки). В соответствии с обозначениями рис. 14.35 имеем

 

где Мя — балочный момент, например, при равномерно распределенной нагрузке Мд = дх2/2. Знаки М0 и <Эо приняты по схеме рис. 14.35, эти величины определяются по (14.50) и подставля-ются в (14.56)—со своими знаками. Сумма 27/ также определяется с учетом знаков при расчете составляющих Н по формулам (14.50), (14.53), (14.54) и (14.55). В заключение за-мстим, что основными являются две расчетные схемы для трубоироводной арки:

 

 


 

труба Іюлностью заіюлнена перекачиваемым продуктом, имеется температурный нерепад А/, внутрсннее давление р, смеще-ние опор (если его допускают);

труба заполнена продуктом на половину длины; этот случай имеет место при заполнении трубы продуктом.

Порядок расчета трубопроводной арки

1. Определяют диаметр труб (Ію пропускной способности) и толщину стенки труб 6 (по внутреннему давлснию).

2. Определяют основные геометрические характеристики
арки / и /.

3. Рассчитывают М0, Фо, Н при принятой схеме нагрузки.

4. Определяют по формулам (14.56) — (14.58) наиболее
опасное сечение и проверяют прочность труб в этом сечении.
Если прочность их обеспечена, то расчет заканчивают. В про-
тивном случае изменяют толщину стенки труб, стрелку прогиба
/ и выполняют повториый расчет.


5. По усилиям М, Р, // в опорных ссчсниях рассчитывают
бсреговые опоры (устойчивость на сдвиг, опрокидыванис и т. п.).

6. Рассчитывают арку на боковую ветровую нагрузку.

7. Выполняют расчеты отдсльных узлов и деталей крепле-
ний.







Date: 2015-06-07; view: 1804; Нарушение авторских прав



mydocx.ru - 2015-2026 year. (1.133 sec.) Все материалы представленные на сайте исключительно с целью ознакомления читателями и не преследуют коммерческих целей или нарушение авторских прав - Пожаловаться на публикацию