Главная Случайная страница


Полезное:

Как сделать разговор полезным и приятным Как сделать объемную звезду своими руками Как сделать то, что делать не хочется? Как сделать погремушку Как сделать так чтобы женщины сами знакомились с вами Как сделать идею коммерческой Как сделать хорошую растяжку ног? Как сделать наш разум здоровым? Как сделать, чтобы люди обманывали меньше Вопрос 4. Как сделать так, чтобы вас уважали и ценили? Как сделать лучше себе и другим людям Как сделать свидание интересным?


Категории:

АрхитектураАстрономияБиологияГеографияГеологияИнформатикаИскусствоИсторияКулинарияКультураМаркетингМатематикаМедицинаМенеджментОхрана трудаПравоПроизводствоПсихологияРелигияСоциологияСпортТехникаФизикаФилософияХимияЭкологияЭкономикаЭлектроника






Парные сравнения





Номер эксперта обозначим . Эксперт сравнивает каждую пару объектов и . Его оценка может выражать:

а) просто факт предпочтения объекта по сравнению с объектом : . Если наоборот, то .

б) балльную оценку предпочтения: .

в) долю суммарной интенсивности предпочтения, приходящуюся на объект : .

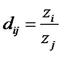
г) во сколько раз один объект важнее другого: .

По результатам экспертизы определяют средние арифметические оценки по всем экспертам:

: например, , где число экспертов.

Случай а) сводится к случаю в), если трактовать как долю экспертов, предпочитающих объект перед объектом .

Случай б) сводится к в) после введения таких оценок: .

Случай в) сводится к г) при использовании оценок: .

Поэтому рассмотрим обработку результатов экспертизы применительно к случаю г).

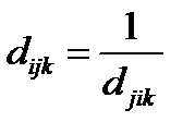
Ясно, что в идеальном случае должно выполняться условие транзитивности:

, (8.8)

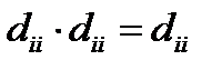
в частности , откуда , т.е. в матрице на диагоналях стоят 1.

Если условие (8.8) выполняется, то существует такой положительный вектор , что , где число объектов. Компоненты вектора это как-бы идеальные оценки объектов (количественные характеристики ценности или важности объектов).

Реальная матрица условию (8.8) обычно не удовлетворяет, и ее приходится аппроксимировать идеальной матрицей, используя, например, следующие соображения.

Для идеальной матрицы справедливы равенства для любого :

. (8.9)

Эти равенства можно записать так:

 

. (8.10)

Собственный вектор матрицы – это такой, который при умножении на матрицу направления не меняет, а меняет только свою величину. Изменение величины называется собственным числом матрицы. Для идеальной (состоятельной) матрицы собственное число равно .

Для матрицы, удовлетворяющей условию (8.8), число является наибольшим характеристическим числом, а искомый вектор собственным вектором (8.10).

Из теоремы Перрона-Фробениуса следует, что любая матрица имеет наибольшее характеристическое число . Поэтому для матрицы, не удовлетворяющей условию (8.8), вектор ищется путем решения уравнения:

 

, (8.11)

причем все компоненты такого вектора обязательно оказываются положительными.

Существуют специальные методы решения уравнения (8.11). Мы воспользуемся итеративным методом, суть которого заключается в последовательном приближении

и .

и получаются на й итерации в соответствии с формулой

, (8.12)

где сумма всех компонент вектора , а в качестве можно взять любой положительный вектор, например, .

Итеративный процесс заканчивается, когда вектор перестает изменяться для заданной точности. Величина характеризует степень близости матрицы к идеальной (состоятельной), т.е. удовлетворяющей условию (8.8).

 

 

Пример 8.3.Четыре объекта сравниваются двумя экспертами. Требуется определить коэффициенты важности объектов. Получены следующие результаты: и . Определяем средний балл . Выбираем . . и . Далее повторяем итерации. . и . . и . Изменения прекратились и вычисления можно закончить.

 

Контрольные вопросы

1. Как и когда организуется экспертиза?

2. Зачем нужна обратная связь в схеме экспертизы?

3. Что такое коэффициент конкордации?

4. Методы опроса экспертов?

5. Кто называется «оригинальным» экспертом?

6. Как осуществляется обратная связь по методу «Дельфи»?

7. Какое сравнение объектов экспертом наиболее надежно?

8. Каков критерий прекращения итераций при парных сравнениях?

 

 







Date: 2015-09-24; view: 438; Нарушение авторских прав



mydocx.ru - 2015-2026 year. (0.831 sec.) Все материалы представленные на сайте исключительно с целью ознакомления читателями и не преследуют коммерческих целей или нарушение авторских прав - Пожаловаться на публикацию