Главная Случайная страница


Полезное:

Как сделать разговор полезным и приятным Как сделать объемную звезду своими руками Как сделать то, что делать не хочется? Как сделать погремушку Как сделать так чтобы женщины сами знакомились с вами Как сделать идею коммерческой Как сделать хорошую растяжку ног? Как сделать наш разум здоровым? Как сделать, чтобы люди обманывали меньше Вопрос 4. Как сделать так, чтобы вас уважали и ценили? Как сделать лучше себе и другим людям Как сделать свидание интересным?


Категории:

АрхитектураАстрономияБиологияГеографияГеологияИнформатикаИскусствоИсторияКулинарияКультураМаркетингМатематикаМедицинаМенеджментОхрана трудаПравоПроизводствоПсихологияРелигияСоциологияСпортТехникаФизикаФилософияХимияЭкологияЭкономикаЭлектроника






Показатели объема и структуры запасов материальных ценностей





В статистике под ресурсами подразумеваются материальные ценности (сырье, материалы, топливо, запасные части, инструмент, полуфабрикаты, готовая продукция и т.п.), используемые для производственных и эксплуатационных нужд.

Производственные запасы материальных ценностей входят в состав оборотных фондов. В непроизводственной сфере запасы направляются на текущее потребление в организациях непроизводственного характера для обеспечения их нормальной работы (запасы продуктов в больницах, детских учреждениях и т.д.).

Производственные запасы обычно состоят из следующих частей:

1. Текущие запасы предназначены для ежедневного отпуска сырья, материалов, топлива в производство или ежедневной отгрузки готовой продукции потребителям. Величина текущих запасов непрерывно изменяется за счет постоянного их расхода и пополнения.

2. Страховые запасы – запасы, предназначенные для непрерывного обеспечения производства материалами в случаях возникновения перебоев в поставках.

3. Сезонные запасы – запасы, связанные с сезонностью производства (или потребления).

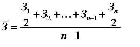
Запасы материальных ценностей измеряются как в абсолютных величинах (в денежном либо натуральном выражении), так и в днях среднего суточного расхода. Наличие запасов в денежном выражении характеризуется моментными (на отчетные даты) показателями (3i) и средними () за отчетный период.

 

Средние запасы определяются по формуле средней арифметической:

, (9.11)

где – объем запасов на начало (конец) периода.

Если известны величины запасов на определенные даты, разделенные равными интервалами, то средний запас рассчитывается по формуле средней хронологической:

, (9.12)

где – число дат.

Если же интервалы между датами, на которые определены величины запасов, различны, то средняя величина определяется по формуле средней арифметической взвешенной:

, (9.13)

где – продолжительность периода между датами;

– средняя величина запаса на й интервал.

Обеспеченность предприятия запасами в днях исчисляется по формуле:

, (9.14)

где Зн – размер запасов на начало периода;

а – среднесуточный расход данного вида запасов.

Структура материальных ресурсов характеризуется относительными величинами:

, (9.15)

где – удельный вес го вида запасов в их общем объеме.

 

Контрольные вопросы

1. Что включает национальное богатство?

2. Что такое система национальных счетов?

3. Назовите методы определения ВВП.

4. В чем отличие ВВП от ВНП?

5. Что такое «основные производственные фонды»?

6. Что такое «коэффициент износа»?

7. Как связаны фондоотдача и фондоемкость?

8. Как определяется фондовооруженность?

9. Что такое коэффициент годности?

 







Date: 2015-09-24; view: 757; Нарушение авторских прав



mydocx.ru - 2015-2026 year. (0.644 sec.) Все материалы представленные на сайте исключительно с целью ознакомления читателями и не преследуют коммерческих целей или нарушение авторских прав - Пожаловаться на публикацию