Главная Случайная страница


Полезное:

Как сделать разговор полезным и приятным Как сделать объемную звезду своими руками Как сделать то, что делать не хочется? Как сделать погремушку Как сделать так чтобы женщины сами знакомились с вами Как сделать идею коммерческой Как сделать хорошую растяжку ног? Как сделать наш разум здоровым? Как сделать, чтобы люди обманывали меньше Вопрос 4. Как сделать так, чтобы вас уважали и ценили? Как сделать лучше себе и другим людям Как сделать свидание интересным?


Категории:

АрхитектураАстрономияБиологияГеографияГеологияИнформатикаИскусствоИсторияКулинарияКультураМаркетингМатематикаМедицинаМенеджментОхрана трудаПравоПроизводствоПсихологияРелигияСоциологияСпортТехникаФизикаФилософияХимияЭкологияЭкономикаЭлектроника






Виды экономических индексов





Под индексом понимается относительная величина, показывающая, во сколько раз уровень изучаемого явления в данных условиях отличается от уровня того же явления в других условиях. Различие условий может проявляться:

· во времени (индексыдинамики),

· в пространстве (территориальные индексы),

· в выборе в качестве базы сравнения планового показателя (индекс планового задания) или уровня договорных обязательств (индекс выполнения обязательств).

Показатель, изменение которого характеризуется индексом, называют индексируемойвеличиной (так, например, в индексе цен индексируемой величиной является цена, в индексе заработной платы - заработная плата, в индексе физического объёма продукции - объём выпуска в натуральном выражении). По виду индексируемой величины различают индексы объёмных и качественных показателей. Объёмные индексы служат для измерения изменения объёмных показателей, выраженных абсолютными величинами (например, объём выпуска продукции, численность работающих). Качественные индексы служат для измерения изменения качественных показателей, определяемых в расчете на единицу (например, цена или себестоимость единицы продукции, производительность труда).

Обычно используются следующие обозначения индексируемых величин:

количество (объём) какого-либо товара, продукции в натуральном выражении;

цена единицы товара;

стоимость продукции, или товарооборот;

себестоимость единицы продукции;

затраты времени на производство единицы продукции, трудоёмкость;

производительность труда, т.е. выработка продукции в единицу времени или на одного работника;

общие затраты времени на производство продукции.

Каждый индекс включает данные за два периода: отчетный (текущий, сравниваемый) и базисный, который используется как база сравнения. Данные отчетного периода обозначаются подстрочным знаком 1 (например, ), базисного – 0 (например, ).

По степени охвата элементов совокупности индексы делятся на индивидуальные и общие. Индивидуальные индексы обозначаются и снабжаются подстрочным знаком индексируемого показателя. Они характеризуют относительное изменение отдельного элемента совокупности и рассчитываются как отношение текущего уровня индексируемой величины к базисному уровню (т.е. по сути, являются коэффициентами или темпами роста).

Так, индивидуальный индекс цен равен

, (7.1)

где цена товара в текущем (базисном) периоде.

Индивидуальные индексы физического объёма

(7.2)

и товарооборота

. (7.3)

Индивидуальный индекс себестоимости характеризует изменение себестоимости отдельного вида продукции в текущем периоде по сравнению с базисным:

. (7.4)

Индивидуальный индекс производительности труда определяется как отношение количества продукции, вырабатываемой в единицу времени или на одного работника в текущем периоде, к её базисному значению:

. (7.5)

Индивидуальные индексы могут рассчитываться также и цепным методом. В этом случае цена товара в последующем году выражается в ценах предыдущего года.

Иногда индивидуальный индекс является средней других индексов. Например, индекс прожиточного минимума является средней взвешенной индексов цен покупаемых предметов; причем каждый индекс цен взвешивается по доле доходов, которая расходуется на этот предмет. Так, согласно таблице

Наименование расходов Доля Индекс цен в 1987 г. по сравнению с 1986 г. Доля *Индекс цен
Мясо     5 *112 = 560
Молочные продукты     10 * 105 = 1050
Овощи     25 * 108 = 2700
Суммарные расходы      

индекс прожиточного минимума равен .

Если изучаемое явление неоднородно и сравнение уровней можно привести к сопоставимому виду только при помощи взвешивающих показателей, то в экономическом анализе этого явления используют общие (сводные) индексы, обозначаемые большой буквой . Примером неоднородной совокупности является общая масса проданных товаров нескольких видов. Тогда сумма выручки записывается в виде “агрегата” (от латинского aggregatus - складываемый, суммируемый), т.е. суммы произведений взвешивающего показателя на объёмный; например: . Отношение агрегатов, построенных для разных условий, дает общий индекс показателя в агрегатной форме. Например, индекс общего объёма товарооборота в агрегатной форме имеет вид:

(7.6)

Здесь прирост общего объёма товарооборота объясняется изменением уровня цен и количества проданных товаров. Влияние на прирост товарооборота общего изменения цен выражается агрегатным индексом цен (в форме индекса Пааше):


. (7.7)

Влияние на прирост товарооборота изменения количества проданных товаров представляется агрегатным индексом физического объёма:

. (7.8)

Все три вышеприведенных индекса и связаны между собой и представляют индексную мультипликативную модель динамики товарооборота, которая позволяет разложить индекс товарооборота по факторам:

. (7.9)

На основе этих индексов можно определить абсолютный прирост товарооборота и разложить его по двум факторам. Из индекса товарооборота определяется общий абсолютный прирост – разница числителя и знаменателя:

. (7.10)

Абсолютный прирост товарооборота за счет изменения цен и за счет изменения физической массы определяется соответственно по формулам:

, (7.11)

. (7.12)

Сумма этих частных абсолютных приростов образует общий абсолютный прирост товарооборота, представленный индексной аддитивной моделью:

. (7.13)

Пример 7.1.Имеются данные за два периода в ценах и объемах реализации трех видов товаров по одному из торговых предприятий:
Вид товара   Базисный период Текущий период
Цена за ед. руб. Продано товаров, шт. Цена за ед. руб. Продано товаров, шт.
А В С        

Рассчитать: 1) индивидуальные индексы: цен, физического объема и товарооборота;

2) общие индексы: цен, физического объема и товарооборота;

3) абсолютный прирост товарооборота.

Решение:

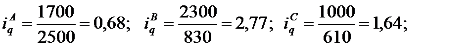
1) индивидуальные индексы:

цен (7.1):

физического объема (7.2):

товарооборота (7.3):

2) общие индексы:

цен (7.7):

физического объема (7.8):

товарооборота (7.6):

Проверим (7.9): .

3) абсолютный прирост товарооборота (7.10):

за счет цен (7.11) или 92,45 %;

за счет объема (7.12) или 7,55 %.

Особенности использования агрегатного индекса цен . Он используется в двух формах: индексов Пааше и Ласпейреса.

В индексе Пааше в качестве соизмерителя используется объем продукции соответствующего вида в текущем периоде . Индекс Пааше рассчитывается по формуле (7.7), где - стоимость всей продукции в текущем периоде; - условная стоимость продукции текущего периода по сопоставимым ценам базисного периода.

Индекс цен Пааше характеризует влияние изменения цен на стоимость товаров, которые реализованы в текущем периоде. Этот индекс используют при изучении отчетных данных.

Например, если (или 98%), то это означает, что уровень цен на товары, которые реализованы в текущем периоде, в среднем уменьшился в 0,98 раза (или на 2%) по сравнению с базисным периодом. В случае (или 100%) говорят об увеличении цен в текущем периоде по сравнению с базисным периодом.

Разность (7.11) соответствует абсолютной экономии () или абсолютному перерасходу () денежных средств покупателей в результате изменения цен на эти товары.

В индексе Ласпейреса в качестве соизмерителя используется объем продукции соответствующего вида в базисном периоде :

, (7.14)

где - стоимость всей продукции в базисном периоде по ценам текущего периода;

- стоимость продукции в базисном периоде.

Индекс Ласпейреса показывает влияние изменения цен на стоимость товаров, которые реализованы в базисном периоде. Его используют при прогнозировании объема товарооборота в связи с возможным изменением цен на товары в будущем периоде.


Для оценки влияния изменения цен также используется индекс Фишера:

Агрегатный индекс себестоимости продукции имеет вид:

, (7.16)

где – себестоимость единицы продукции определенного вида соответственно в текущем и базисном периодах;

- объем продукции текущего периода;

– расходы на производство продукции в текущем периоде;

- условные расходы на производство той же продукции, если себестоимость единицы продукции была на уровне базисного периода.

Агрегатный индекс трудоемкости имеет вид:

, (7.17)

где – затраты рабочего времени на единицу продукции (трудоемкость) соответственно в текущем и базисном периодах;

- объем продукции в текущем периоде;

– фактические затраты рабочего времени на всю продукцию в текущем периоде;

- условные затраты рабочего времени (трудоемкость) на всю продукцию в базисном периоде.

Аналогично (7.9) агрегатный индекс общей себестоимости продукции можно представить в виде:

, (7.18)

который показывает сопоставление расходов на производство продукции в текущем и базисном периодах и выражается в коэффициентах или процентах.

Агрегатный индекс общих расходов рабочего времени :

, (7.19)

Эта величина дает сравнение расходов рабочего времени на производство продукции разных видов в текущем и базисном периодах.

 







Date: 2015-09-24; view: 513; Нарушение авторских прав



mydocx.ru - 2015-2026 year. (0.731 sec.) Все материалы представленные на сайте исключительно с целью ознакомления читателями и не преследуют коммерческих целей или нарушение авторских прав - Пожаловаться на публикацию