Главная Случайная страница


Полезное:

Как сделать разговор полезным и приятным Как сделать объемную звезду своими руками Как сделать то, что делать не хочется? Как сделать погремушку Как сделать так чтобы женщины сами знакомились с вами Как сделать идею коммерческой Как сделать хорошую растяжку ног? Как сделать наш разум здоровым? Как сделать, чтобы люди обманывали меньше Вопрос 4. Как сделать так, чтобы вас уважали и ценили? Как сделать лучше себе и другим людям Как сделать свидание интересным?


Категории:

АрхитектураАстрономияБиологияГеографияГеологияИнформатикаИскусствоИсторияКулинарияКультураМаркетингМатематикаМедицинаМенеджментОхрана трудаПравоПроизводствоПсихологияРелигияСоциологияСпортТехникаФизикаФилософияХимияЭкологияЭкономикаЭлектроника






Развитие горения 4 page





В случае, когда фазы аэрозоля находятся в относительном движе­нии, система (4.54)-(4.57) должна быть дополнена выражением для нор­мальной скорости пламени

(4.58)

Для оценки величины рассмотрим случай, когда . Прене-

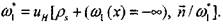
брегая завихренностью продуктов сгорания, представим поле течения га­зовой фазы с помощью метода особенностей в виде



(4.59)


где интегрирование производится по поверхности пламени; dSл - элемент поверхности пламени с векторной кооодинатой



 


Рис. 4.25. Схема течения газовой фазы вблизи головной части лидера

В соответствии с выражением (4.58)

(4.60)


Глава 4. Развитие горения

Поле скоростей (4.59) удовлетворяет условиям (4.56)-(4.58) (кроме условий, связывающих давление по обе стороны от фронта пламени -следствие пренебрежения завихренностью продуктов сгорания), когда фронт пламени имеет форму трубы и занимает все ее сечение. При этом выражение для ил имеет следующий вид:

(4.61)



откуда

 


Ввиду сложности интегрирования уравнений движения (4.54) и (4.55) при воспользуемся приближенным методом решения.

Рассмотрим часть фронта пламени в виде трубки тока газовой фазы, охва­тывающей поверхность фронта пламени (рис. 4.25). Запишем интегралы уравнений движения (4.54). Из неразрывности течения следует, что

(4.62)

где S1, S2 - площади соответствующих сечений трубки тока; - величи­на, усредненная по поверхности фронта пламени; S - нормальная ско­рость горения.

Отсутствие силы гидродинамического сопротивления при осесим-метричном обтекании идеальной жидкостью тела с формой лидера приво­дит к сохранению потока импульса

(4.63)

Приближенность равенств (4.62) и (4.63) связана с завихренностью движения продуктов сгорания, которая приводит к некоторому рас­пределению скоростей газовой фазы по сечению S2. Вводим феномено­логический коэффициент

(4.64)

где ино - нормальная скорость пламени на оси симметрии.

Коэффициент выбирается из условия наилучшего согласия тео­ретических результатов с экспериментальными. Предполагая, что поле скоростей газа перед лидером близко к полю скоростей идеальной жид­кости, обтекающей шар диаметром D (D - диаметр цилиндрической части тела лидера при ), перепишем условие (4.58) в виде


Корольченко А.Я. Процессы горения и взрыва

(4.65)



(4.66)


Приближенность равенства (4.66) связана с отсутствием точного ре­шения соответствующей задачи (в разложении по степеням оставляли только главные члены). Преобразуя уравнения (4.62) и (4.66), получим

(4.67) откуда (4.68)

Предположив, что в формулах (4.67) и (4.68) = 1 [что коррелирует с результатом оценки (4.61)], получим, что скорость л) лидера для орга­нических аэрозолей на нижнем пределе ( = 5) составляет примерно 30-50 см • с-1, а в максимуме ( = 10) - несколько м • с"1. Для оценки величины в формулу (4.67) подставим значение диаметра лидера, равное мини­мальному (исходя из области применения теории) поперечному размеру неустойчивости: . Тогда получим

Из приводимых оценок следует, что для органических частиц (ps = 1 г • см-3) с диаметром ds = 50 мкм снижение в два раза по сравнению с

происходит при поперечном размере лидера

Дальнейшее снижение , по-видимому, невозможно из-за сравни­мых размеров диаметра лидера D и толщины фронта пламени

Таким образом, на примере простой модели конвективного горения показано, что искривление фронта пламени в аэрозоле вплоть до фраг­ментации на отдельные зоны горения («языки» пламени) приводит к обо­гащению ведущей части пламени горючим примерно в два раза по срав­нению с плоским фронтом пламени. Разобранный пример показывает трудности описания турбулентного горения аэрозолей, так как кон­вективное движение фаз в свежей смеси меняет соотношение горючего и окислителя, поступающих во фронт пламени, и таким образом делает не­возможным использование представлений о постоянстве нормальной ско­рости горения, широко применяемых в теории горения газо паровоз­душных систем.


Глава 4. Развитие горения

4.4. Диффузионное горение жидкостей

Механизм горения. Для понимания механизма горения жидкостей следует иметь в виду, что их температура самовоспламенения (табл. 4.3) всегда значительно выше температуры кипения. Вследствие этого горение жидкостей всегда происходит в паровой фазе.

Таблица 4.3 Сопоставление температур кипения и еомовоспламенения горючих жидкостей

 

 

Жидкость Температура,°С
самовосплам. кипения
Ацетон   56,5
Бензол   80.1
Диэтиловый эфир   34,5
Этиловый спирт   78,4
Уксусная кислота   118,1
Этилацетат   77,1
Хлорбензол   132,0
Диэтиламин   55,2

Над поверхностью жидкости постоянно присутствует паровоздуш­ная смесь, состоящая из паров жидкости и молекул воздуха. Концентра­ция паров характеризуется давлением насыщенных паров, которое суще­ственно зависит от температуры жидкости. Эта зависимость описывается уравнением Клайперона-Клаузиуса:



(4.69)

где Рнас - давление насыщенных паров жидкости при температуре Т; Нисп - теплота испарения.

Из уравнения (4.69) следует, что давление насыщенных паров (и, со­ответственно, их концентрация) с увеличением температуры жидкости воз­растают экспоненциально. Поэтому, при некоторой температуре над по­верхностью жидкости создается концентрация паров, равная нижнему кон-



Корольченко А.Я. Процессы горения и взрыва ______________________

центрационному пределу распространения пламени. При зажигании этих паров внешним источником возникает вспышка - сгорание образовавшейся паровоздушной смеси с выделением значительного количества тепла.

Часть этого тепла расходуется на дополнительное испарение горючей жидкости, и, таким образом, горение поддерживается непрерывным процессом испарения горючего с поверхности за счет тепла, подводимого от пламени.

Поскольку пламя имеет значительно более высокую температуру, чем начальная температура среды, после начальной вспышки скорость испарения увеличивается и возникшее пламя самоподдерживается.

В установившемся состоянии горение паровоздушной смеси харак­теризуется двумя взаимосвязанными процессами: испарением горючей жидкости за счет тепла, выделяемого в зоне пламени, и сгоранием посту­пающих в зону горения паров. В установившемся режиме скорости этих процессов должны быть равны.

В практически важных случаях сгорание образующихся паров про­исходит практически мгновенно, сразу после их поступления в зону горе­ния и смешения с окружающим воздухом. Поэтому скорость выгорания* определяется скоростью испарения, как наиболее медленным процессом.

Таким образом, горение жидкости есть химический процесс сгора­ния ее паров, регулируемый скоростью испарения жидкости, зависящий от количества и условий подводимого к жидкости тепла, то есть от усло­вий теплообмена между пламенем и поверхностью жидкости.

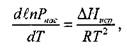
Механизм горения жидкости проиллюстрируем примером горения со свободной поверхности, например, в резервуаре. При достаточной концен­трации паров и их зажигании над поверхностью жидкости возникает пламя, а уровень жидкости начинает опускаться. Достаточно быстро после воз­никновения горения устанавливается стационарный режим, характеризую­щийся постоянной скоростью выгорания. Схематически горение жидкости со свободной поверхности показано на рис. 4.26 Сгорание в факеле пламе­ни происходит за счет диффузионного смешения паров горючей жидкости и воздуха. Поверхность жидкости нагревается до температуры кипения. В процессе выгорания происходит прогрев жидкости в глубину.

Под скоростью выгорания понимается скорость процесса уменьшения массы жид­кости в процессе горения. Различают линейную скорость горения (мм/мин), харак­теризующую скорость снижения уровня жидкости при ее горении в резервуаре, и массовую (кг/м2час), характеризующую убыль массы жидкости в прогрессе горения с единицы поверхности в единицу времени.



Глава 4. Развитие горения

Рис. 4.26. Схема диффузионного горения жидкости 1 - зона горения; 2 - зона догорания; 3 - пары жидкости; 4 - конвективные токи воздуха; 5 - зона подогрева жидкости; 6 — жидкость в резервуаре

Подвод тепла к жидкости в процессе диффузионного горения осуще­ствляется главным образом теплопередачей излучением от факела пламени. Скорость выгорания определяется величиной теплоты испарения жидкости и количеством тепла, подведенного к поверхности жидкости от факела пламени.

Значения скоростей выгорания некоторых жидкостей приведены в табл. 4.4

Таблица 4.4 Скорость выгорания жидкостей

 

 

 

Жидкость Плотность, кг/м Скорость выгорания
Линейная, мм/мин Массовая, кг/м час
Бензол 0,875 3,150 165,37

Корольченко А.Я. Процессы горения и взрыва

 

Толуол 0,860 2,680 138,29
Ксилол 0,855 2,040 104,65
Скипидар 0,860 2,410 123,84
Ацетон 0,790 1,400 66,36
Метиловый спирт 0,800 1,200 57,60
Диэтиловый эфир 0,715 2,930 125,84
Амиловый спирт 0,810 1,297 63,034
Изоамиловый спирт 0,805 1,390 66,80
Бутиловый спирт 0,812 1,069 52,08
Изобутиловый спирт 0,800 1,122 53,856
Сероуглерод 1,270 1,745 132,97
Диметиланилин 0,950 1,523 86,31

Форма и размеры пламени. Форма и размеры диффузионного пламени жидкостей существенно зависят от диаметра горелки или ре­зервуара, в которых происходит горение.

Пламя в горелках диаметром 10-15 мм имеет резко очерченную ко­ническую форму, которая практически не меняется в течение всего про­цесса горения. Увеличение диаметра горелки приводит к появлению пульсаций в пламени, дроблению его на отдельные фрагменты, колеба­нию высоты. При диаметрах резервуаров более 15 см. процесс диффузи­онного горения приобретает турбулентный характер.

Эксперименты и наблюдения процессов горения при реальных по­жарах показывают, что высота диффузионного пламени повышается с увеличением диаметра резервуаров.

Структура и форма пламени жидкостей при горении в резервуарах различного диаметра свидетельствуют о переходе ламинарного режима горения при малых диаметрах к турбулентному - при больших.

Зона пламени представляет собой очень тонкий слой, в котором происходит окисление горючего. В зоне пламени сгорает стехиометриче-ская смесь горючего и окислителя. В направлении к границам зоны пла­мени концентрации реагирующих компонентов убывают.


Глава 4. Развитие горения

Рис. 4.27. Схема распределения концентраций

в диффузионном пламени: 1 -распределение кислорода;

2 - продукты реакции; 3 - азот; 4 - горючие пары

Прогрев жидкости при горении. Повышение поверхностного слоя жидкости до температуры кипения вызывает поток тепла вглубь жидко­сти. Теплопередача от поверхностного к нижележащим слоям реализуется в основном по механизму теплопроводности и ламинарной конвекцией. Прогрев жидкости за счет теплопроводности осуществляется на глубину в несколько сантиметров.


Ламинарная конвекция возникает при горении жидкостей в резер­вуарах с металлическими стенками. Стенки при горении нагреваются бы­стрее жидкости. Поэтому и жидкость у стенок резервуара имеет более вы­сокую температуру, чем в центре. В случае горения легкокипящих жидко­стей возможно даже закипание жидкости вблизи стенки резервуара. Обра­зующиеся при этом пузырьки пара способствуют интенсивному переме­шиванию жидкости и быстрому ее прогреву на большую глубину. В по­добных случаях возможно образование гомотермического слоя, то есть слоя жидкости с постоянной температурой. С течением времени толщина гомотермического слоя увеличивается.

Образование гомотермического слоя возможно также при горении смесей жидкостей с разными температурами кипения, например, нефте-


Корольченко А.Я. Процессы горения и взрыва ______________________

продуктов. При нагреве поверхностного слоя до температур, близких к температуре кипения, из него преимущественно испаряются легкокипя-щие компоненты, а оставшаяся жидкость обогащается более высококипя-щими, которые имеют соответственно, и большую плотность. Перемеще­ние более плотных слоев вниз интенсифицирует процесс прогрева.

Установлено, что чем выше температура кипения горящей жидко­сти, тем труднее образуется гомотермический слой.

Знание условий образования гомотермического слоя особенно важно для обеспечения безопасности при тушении пожаров резервуаров с нефтью и нефтепродуктами. В процессе длительной эксплуатации резервуаров в придонном пространстве скапливается вода, содержащаяся в нефти. При возникновении горения образующийся гомотермический слой с температу­рой выше 100 °С достигает воды и вызывает ее вскипание. Возникающие при этом пузырьки пара устремляются вверх. Массовое вскипание воды сопровождается выбросом горящей жидкости из резервуара.

Влияние диаметра резервуара на скорость выгорания. Зависи­мость скорости выгорания от диаметра резервуара для всех горючих жид­костей одинакова. В качестве примера на рис. 4.28 показано влияние диа­метра резервуара на скорость выгорания керосина. При увеличении диа­метра скорость выгорания вначале быстро снижается, затем скорость снижения уменьшается. Далее наблюдается возрастание скорости выгора­ния с увеличением диаметра резервуара и последующее приближение скорости выгорания к предельному значению. Этот предел достигается при диаметрах порядка 1,2-1,3 м.

Таким образом, вся область рассматриваемой зависимости делится на три части, в каждой из которых наблюдаемая зависимость определяет­ся особенностями процесса выгорания. Уменьшение скорости выгорания с ростом диаметра на первом участке кривой объясняется условиями под­вода тепла от факела пламени к поверхности жидкости. Количество тепла, поступающего излучением, пропорционально площади поверхности жид­кости, а количество тепла, поступающего теплопроводностью за счет на­грева стенок сосуда, пропорционально периметру сосуда. При этом доля тепла, передаваемого жидкости стенками, к теплу, поставляемому лучи­стым потоком, будет пропорциональна отношению периметра сосуда к площади поверхности жидкости, т. е. к площади поперечного сечения со­суда. Таким образом, с ростом диаметра теплоподвод от стенок сосуда


Глава 4. Развитие горения

снижается, и скорость выгорания становится меньше. Сказанное справед­ливо для ламинарного процесса выгорания.

Рис. 4.28 Зависимость скорости выгорания от диаметра резервуара для керосина

При увеличении диаметра сосуда свыше 0,1 м происходит переход от ламинарного горения к турбулентному. Рост скорости выгорания в этой области обусловлен повышением количества тепла, поступающего к по­верхности жидкости от зоны горения. Турбулентность увеличивает объем факела и, соответственно, количество тепла, поглощаемое жидкостью.

Дальнейшее увеличение диаметра резервуара свыше 1,3 м приводит к формированию развитого турбулентного режима, при котором величина теплового потока от факела пламени к поверхности жидкости стабилизи­руется и скорость выгорания практически не изменяется.

Влияние концентрации кислорода на скорость выгорания. Уве­личение концентрации кислорода в атмосфере, окружающей горящую жид­кость, сопровождается увеличением скорости сгорания паров и температуры


Корольченко А.Я. Процессы горения и взрыва

пламени. С ростом температуры пламени увеличивается его излучательная способность и, соответственно, тепловой поток от факела пламени к поверх­ности жидкости. Поэтому можно ожидать, что повышение концентрации ки­слорода должно приводить к увеличению скорости выгорания. Действительно, как это видно из рис. 4.29, повышение содержания кислорода в воздухе сопро­вождается непрерывным увеличением скорости выгорания.




 


 


Рис. 4.29. Зависимость скорости

выгорания дизельного топлива (1)

и бензина (2) от концентрации

кислорода в газовой среде


Рис 4.30. Зависимость температуры

на поверхности горящей жидкости от

концентрации кислорода в газовой среде

1 - дизельное топливо; 2 - бензин


Одновременно можно отметить, что снижение концентрации кисло­рода по сравнению с воздухом нормального состава приводит к резкому снижению скорости выгорания, при содержании кислорода 15% диффу­зионное горение прекращается.

Критическое содержание кислорода ( 15%об.) примерно одинаково для многих горючих жидкостей. Это наблюдение используется при созда­нии систем газового пожаротушения.

4.5. Горение твердых материалов

Механизм горения. Горение конденсированных систем, к которым относятся твердые материалы, в отличие от газов характеризуется нали-


Глава 4. Развитие Горения

чием стадии разложения и газификации твердой фазы. Горение твердых материалов в среде воздуха происходит в результате воспламенения лету­чих продуктов пиролиза. Его можно рассматривать как диффузионное квазигетерогенное, поскольку оно протекает не на границе раздела фаз, а в основном в газовой фазе.

При распространении волны горения по твердым материалам выде­ляются следующие зоны (рис. 4.31):

Рис. 4.31. Модель горения твердых материалов

• Зона без реакции - зона прогрева конденсированной фазы. У термопластичных материалов эта зона ограничивается слоем расплава. Толщина зоны прогрева зависит от соотношения коэффициента темпера­туропроводности и скорости горения. Для многих материалов толщина этой зоны составляет около 3 мм.

• Зона пиролиза - реакционная зона в конденсированной фазе, в которой происходит разложение твердого материала на газообразные продукты.

• Предпламенная зона в газовой фазе, в которой низкомолекуляр­ные продукты пиролиза дополнительно разлагаются. Здесь же начинается процесс воспламенения, который инициируется атомами водорода, диф­фундирующими в предпламенную зону из зоны пламени.

• Зона пламени или реакционная зона в газовой фазе. В этой зоне протекают основные реакции окисления, выделяется основная часть тепла и наблюдается максимальная температура.

• Зона продуктов сгорания.

Истинно гетерогенным является горение нелетучих металлов.

ns


Корольченко А.Я. Процессы горения и взрыва _________________________

Таким образом, характерной особенностью горения твердых мате­риалов является многостадийный процесс их превращения в конечные продукты сгорания.

Этот процесс включает в себя следующие стадии:

• поглощение твердым материалом тепловой энергии от источни­ка зажигания;

• разложение конденсированной фазы с образованием летучих продуктов и карбонизированного остатка;

• воспламенение газообразных продуктов пиролиза;

• горение газообразных продуктов пиролиза.
Возникновению и распространению пламени предшествует нагрев и

термическое разложение твердого материала. Первичное возникновение пламени рассматривается как процесс зажигания. Зажигание является сложным нестационарным процессом, который заключается в быстром разогреве локального участка твердого материала до высокой температу­ры открытым пламенем, электрической искрой, накаленным телом. В ре­зультате такого воздействия над поверхностью твердого материала возни­кает пламя. Для устойчивого зажигания температура поверхности должна быть доведена до температуры близкой к температуре поверхности при горении в условиях стационарного процесса. Переход от зажигания к ста­ционарному режиму горения твердого материала возможен с момента по­явления пламени.

Воспламенение твердых материалов в воздухе рассматривается с по­зиций теории воспламенения газов. Однако, возможны условия, когда процесс горения начинается вследствие гетерогенной реакции взаимодей­ствия кислорода с поверхностным слоем.

Характер переноса тепла к твердому материалу для его нагрева и воспламенения зависит от вида источника зажигания и условий воздейст­вия теплового потока на поверхность. В условиях пожара твердые мате­риалы разогреваются в основном за счет конвективного и радиационного переноса тепла от пламени. Поглощение тепла твердым материалом при излучении зависит от спектральных характеристик материала и источника теплового потока.

В нагретом под действием потока тепла поверхностном слое происхо­дит пиролиз твердых материалов. При этом основную роль играет термо­окислительная деструкция. Однако, преобладание термической или термо­окислительной деструкции в процессе газификации твердых материалов при


Глава 4. Развитие горения

горении зависит от природы материала, механизма его разложения, темпера­туры пиролиза, зависящей от температуры поверхности горящего материала, а также от условий диффузии кислорода к горящей поверхности.

Летучие продукты пиролиза твердых материалов состоят из горю­чих и негорючих соединений. Основными негорючими продуктами явля­ются Н2О, С02 и галоидводороды. Горючая часть состоит из Н2, СО, на­сыщенных и ненасыщенных углеводородов, альдегидов, спиртов, кетонов и других органических соединений. Количество и состав продуктов пиро­лиза зависят от природы материала, механизма и кинетики процесса пи­ролиза, температуры разложения.

Воспламенение твердых материалов происходит, если содержание горючих газообразных продуктов пиролиза в газовой фазе достигнет нижнего концентрационного предела распространения пламени. Это ус­ловие является необходимым, но недостаточным для возникновения ус­тойчивого горения. Для того, чтобы пламя не погасло необходимо пере­дать твердому материалу такое количество тепла, которое обеспечивает непрерывную подачу в зону горения достаточное количество горючих га­зообразных веществ.

После воспламенения твердого материала начинается процесс пере­мещения фронта пламени по его поверхности. Количественной характе­ристикой этого процесса является линейная скорость распространения пламени - расстояние, пройденное фронтом пламени в единицу времени.

Перемещение фронта пламени осуществляется за счет передачи час­ти тепла, выделяющегося в зоне горения. Передача тепла от факела пла­мени к поверхности твердого материала осуществляется радиацией, кон­векцией и теплопроводностью. В зависимости от условий горения доля тепла, поступающего к поверхности материала по тому или иному меха­низму, может быть различной. Поэтому значение скорости горения для одного и того же материала в зависимости от условий горения может из­меняться в значительных пределах.

Прогрев участков поверхности твердого материала перед фронтом пламени сопровождается термическим разложением с образованием лету­чих продуктов. Поэтому распространение пламени происходит, по суще­ству, по газовой фазе.

В отличие от жидкостей, поверхность которых всегда горизонталь­на, распространение пламени по твердым материалам может происходить при различной их ориентации в пространстве: горизонтальной, верти-


Корольченко А.Я. Процессы горения и взрыва

кальной или промежуточной. В зависимости от ориентации поверхности изменяется скорость распространения пламени: она максимальна для ус­ловий распространения пламени снизу вверх для вертикальной поверхно­сти и минимальна для распространения пламени сверху вниз. В остальных случаях скорости имеют промежуточное значение.

Рис. 4.32. Схема распространения фронта пламени

по поверхности твердого материала

1 - твердый материал, 2 - зона диффузионного горения,

3 - передняя кромка пламени, 4 - зона пиролиза,

5 - зона газообразных продуктов разложения,

6 - зона начала разложения твердого материала перед

фронтом пламени, 7 - газообразные продукты горения

Существенное влияние на скорость распространения пламени ока­зывает толщина материала. При оценке условий распространения пламени различают термически толстые и термически тонкие материалы. Такое







Date: 2015-09-18; view: 684; Нарушение авторских прав



mydocx.ru - 2015-2026 year. (0.542 sec.) Все материалы представленные на сайте исключительно с целью ознакомления читателями и не преследуют коммерческих целей или нарушение авторских прав - Пожаловаться на публикацию