Главная Случайная страница


Полезное:

Как сделать разговор полезным и приятным Как сделать объемную звезду своими руками Как сделать то, что делать не хочется? Как сделать погремушку Как сделать так чтобы женщины сами знакомились с вами Как сделать идею коммерческой Как сделать хорошую растяжку ног? Как сделать наш разум здоровым? Как сделать, чтобы люди обманывали меньше Вопрос 4. Как сделать так, чтобы вас уважали и ценили? Как сделать лучше себе и другим людям Как сделать свидание интересным?


Категории:

АрхитектураАстрономияБиологияГеографияГеологияИнформатикаИскусствоИсторияКулинарияКультураМаркетингМатематикаМедицинаМенеджментОхрана трудаПравоПроизводствоПсихологияРелигияСоциологияСпортТехникаФизикаФилософияХимияЭкологияЭкономикаЭлектроника






Вещество Температура





самовоспламенения, °С

Метан 535

Этан 515

Пропан 465


Глава 3. Возникновение процессов горения

 

Бутан  
Пентан  
Гексан  
Этилен  
Аммиак  
Бензол  
Сероуглерод  

3.2. Зажигание

Зажигание, как и самовоспламенение, характеризует условия воз­никновения горения. Эти явления имеют одинаковую природу, описыва­ются одними и теми же дифференциальными уравнениями.

В случае самовоспламенения подводимое к реагирующей системе тепло распределяется по всему объему этой системы. Реакция горения при самовоспламенении протекает практически одновременно во всем объеме системы, а начальный очаг горения возникает в ее центре, где потери теп­ла минимальны. Одним из наиболее важных параметров при самовоспла­менении является объем реагирующей смеси, поскольку от этого пара­метра существенно зависит отвод тепла в окружающее пространство.

При зажигании* в отличие от самовоспламенения нагревается не­большой объем горючей смеси. Зажигание, т. е. инициирование горения может быть осуществлено накаленным телом, пламенем или электриче­ской искрой. Механизм процесса зажигания близок к механизму самовос­пламенения, но более сложен. Критические условия зажигания зависят от свойств горючей смеси, от свойств источника зажигания и от начальных условий распространения пламени.

Основной отличительной особенностью зажигания является проте­кание реакции окисления, инициируемое локальным источником тепла, а не путем накопления тепла в системе за счет реализации химической ре­акции. Для процесса зажигания определяющим является наличие большой разности температур между горючей системой и источником зажигания. Размеры системы играют второстепенную роль.

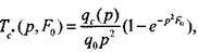
Для выяснения механизма зажигания рассмотрим схему, предло­женную Вант-Гоффом (рис. 3.3). Зависимости, представленные на этом

* В теории горения процесс зажигания горючей смеси часто обозначается терми­нами «вынужденное зажигание» и «вынужденное воспламенение».


Корольченко А.Я. Процессы горения и взрыва

рисунке, характеризуют изменение температуры среды при попадании в нее накаленного шарика. Линии а1, а2 и а3 отражают изменение темпера­туры инертной среды, линии b1, b2 и b з - горючей.



Рис. 5J. Изменение температуры смеси

в зависимости от температуры

поверхности шарика


Вначале, темпе­ратура Т1 поверхности шарика, играющего роль источника зажи­гания, выше темпера­туры газовой смеси, но ниже той темпера­туры, при которой происходит воспламе­нение смеси. В этом случае распределение температуры T вблизи поверхности шарика изобразится кривой a1 (для инертной среды) и кривой b1- для го­рючей. Кривая b1рас­полагается несколько выше a1за счет тепло­выделения в горючей среде.

Если повысить температуру шарика Т2 > T1, то в инертной среде она будет пони­жаться быстрее, чем в предыдущем случае. Ее снижение характе­ризует кривая a2_. В реагирующей смеси, благодаря возраста­нию скорости реакции с повышением темпе-



Глава 3. Возникновение процессов горения

ратуры, кривая T(Z) вблизи поверхности шарика будет снижаться медлен­нее, чем в предыдущем случае. Но величина этой температуры еще не достаточна для возбуждения реакции горения. Температура Т2 является критической температурой, аналогичной температуре самовоспламене­ния. При повышении температуры поверхности шарика выше критиче­ской, например до температуры Т3, в горючей смеси инициируется горе­ние. При этом поверхность уже не участвует в процессе, а определяющи­ми становятся свойства горючей смеси.

Экспериментальные данные свидетельствуют о том, что критиче­ская температура при зажигании выше, чем при самовоспламенении. Это связано с быстрым падением температуры газовой смеси по мере удале­ния от поверхности нагретого тела. При этом концентрация горючего компонента вблизи поверхности вследствие протекания химической реак­ции оказывается ниже, чем в остальном объеме. В экспериментах наблю­даются ситуации, когда около нагретого тела реакция протекает, но далее пламя не распространяется.

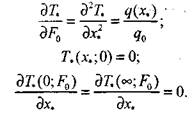
Математическое описание процесса зажигания выполнено академи­ком Я. Б. Зельдовичем. Для этого использована следующая модель: горю­чая газовая смесь заключена между двумя бесконечными плоскими па­раллельными стенками. Одна стенка имеет температуру Ts, а вторая - Т0 (при этом TS>T0) Стационарное распределение температуры в газовой смеси устанавливается только в том случае, когда температура нагретой стенки не превышает критическую величину и около нее не происходит химическая реакция. При критических условиях, по аналогии с процессом самовоспламенения


(3.12)

где Z - расстояние от нагретой стенки; индекс «СТ» указывает на то, что градиент температуры относится к слою газа у поверхности стенки.

Распределение температуры в газе описывается уравнением тепло­проводности, которое для рассматриваемого случая имеет вид:

(3.13)

где - коэффициент теплопроводности газовой смеси, q - тепловой эф­фект, - скорость реакции.


Корольченко А.Я. Процессы горения и взрыва

Скорость реакции зависит от температуры по закону Аррениуса:



(3-14)


Введем новую переменную



 


и уравнение (3.13) запишем так:



(3.15)


Интегрируя (3.15), получим:



(3.16)


Отсюда следует, что поток тепла в газовой смеси отвечает соотно­шению:



(3-17)


Поскольку скорость реакции зависит от температуры, то реакция в газовой смеси между стенками будет в основном протекать в узком слое , прилегающем к нагретой стенке. Внутри этого слоя величина Ts- Г при условиях, близких к критическим, будет мала по сравнению с Т.

Поэтому, можно принять:




и что


(3.18)

(3.19)



Глава 3. Возникновение процессов горения

Подставляя (3.19) в (3.15), интегрируя и принимая во внимание, что

(dT\ -п при критических условиях зажигания выполняется условие ~rz \ст - и s

получим:



(3.20)


Эксперимент показывает, что величина



 


при изменении Ts— T на десятки градусов меняется в узких пределах: от 1 до 0,4. Следовательно, значение у вне зоны незначительно отличается от величины



 


Таким образом, тепловой поток из зоны реакции будет равен:



(3.21)


Величину этого теплового потока при установившемся состоянии можно представить в упрощенном виде:



(3.22)


Отсюда следует, что при стационарном режиме выполняется сле­дующее равенство:

(3.23)



Корольченко А.Я. Процессы горения и взрыва

Соотношение (3.23) устанавливает зависимость критических ве­личин и условий, при которых реализуется зажигание, от размеров со­суда.

Зажигание искрой горючей смеси представляет собой более слож­ное явление, чем зажигание нагретым телом. В искре происходит интен­сивное местное возбуждение молекул и их ионизация. Одновременно искра в зоне своего действия вызывает сильное повышение температуры газа. В упрощенном виде искру можно представить как накаленное газо­образное тело.

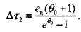
При зажигании искрой для каждой горючей смеси существует неко­торая минимальная мощность искры, при которой смесь воспламеняется. Эта мощность зависит от состава смеси, давления и температуры. Харак­тер этой зависимости от состава смеси показан на рис. 3.4. Он одинаков для всех горючих газов и паров. Наименьшая величина энергии требуется для зажигания смесей стехиометрического состава. Эта величина называ­ется минимальной энергией зажигания. Значения минимальной энергии зажигания для некоторых газов приведены в табл. 3.1.

Рис. 3.4. Зависимость энергии зажигания от состава смеси Cстех - стехиометрический состав; Емин - минимальная энергия зажигания



Глава 3. Возникновение процессов горения

Таблица 3.1 Минимальная энергия зажигания

 

Вещество Емин, мДж
Метан 0,28
Этан 0,24
Пропан 0,25
Бутан 0,25
Гексан 0,25
Аммиак  
Этилен 0,12
Водород 0,017

3.3. Самовозгорание

Процесс самовозгорания принципиально не отличается от процесса самовоспламенения. Оба этих процесса характеризуются одинаковыми закономерностями возникновения и развития.

Разделение этих процессов условно. Оно основано на величине тем­пературы начала их развития. Если процесс возникновения горения в от­сутствие внешнего источника начинается при температуре выше 100 °С, его обычно называют самовоспламенением, если при температуре ниже 100 °С - самовозгоранием.

Самовозгораться могут вещества в различном агрегатном состоя­нии: газы, жидкости и твердые. Самовозгорающиеся при нормальной температуре газы называются пирофорными.

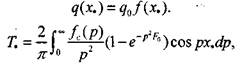
Если температура реагирующей системы меньше температуры ок­ружающей среды, то для развития процесса самовозгорания необходимо наличие прогрева, протекающего в четыре стадии (рис. 3.5):

1. Прогрев системы от внешнего источника тепла в результате теп­лообмена с окружающей средой. Выделением тепла за счет химической реакции на этой стадии пренебрегается.

2. Прогрев вещества за счет внешнего и внутреннего источника. Внут­ренним источником является тепло от начавшейся химической реакции.

3. Саморазогрев системы за счет химической реакции с теплопоте-рями в окружающую среду.

4. Адиабатический саморазогрев системы.


Корольченко А.Я. Процессы горения и взрыва

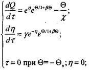
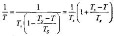
Анализ этих стадий наиболее удобно выполнить по схеме, разрабо­танной профессором В. И. Горшковым, введя безразмерные переменные температуры



(3.24)



и времени


(3.25)


где Т* - температура в точке касания кривых тепловыделения и теплоот-вода по диаграмме Семенова (рис. 3.1, точка С); Т - текущая температу­ра; Q - тепловой эффект реакции, Дж/кт*К; р - плотность материала, кг/м3; К0 - предэкспоненциальный множитель, 1/с; С - теплоемкость ма­териала, дж/кг К; t - текущее время, с.

Рис. 5.5. Изменение температуры системы при наличии стадии прогрева (точками отмечены границы стадий)


Глава 3. Возникновение процессов горения

Схема профессора В. И. Горшкова предполагает оценку периода ин­дукции - промежутка времени от начала процесса до самовозгорания. Пе­риод индукции представляет собой сумму времен (рис. 3.5). Общее выражение для периода индукции имеет вид:

(3.26)

где - безразмерная температура окружающей среды

Для стадии прогрева 1 при отсутствии химической реакции в соот­ветствии с формулой (3.26) можно записать

., (3.27)

интегрирование которого с учетом начальных условий и цает:

(3.28)

где -ч неизвестная пока температура в точке на диаграмме - рис. 3.5.


Для расчета времени прогрева системы на стадии 2 экспоненту (уравнение 3.26) нужно разложить в ряд в окрестности точки и, ог-

раничившись линейной частью ряда, получить

(3.29)

При подстановке соотношения (3.29) в формулу (3.26) имеем

(3.30)


Корольченко А.Я. Процессы горения и взрыва

Для определения неизвестных значений температур на границах стадий учтем, что на границах этих участков равны не только температу­ры вещества, но и их производные по времени. Поэтому с учетом уравне­ний (3.27) и (3.30), для точки а справедливо соотношение

(3.31)

откуда

Для Ахь подставив формулу (3.31) в уравнение (3.28), получим:

(3.32)

Путем интегрирования уравнения (3.30) найдем время задержки воспламенения на втором участке:



(3.33)


Решение уравнения (3.30) с учетом, что (см. формулу

3.31), получаем:

(3.34)

Время задержки самовозгорания на участке 3 можно определить ме­тодом разложения экспоненты в ряд в окрестности точки

(3.35)

Уравнение (3.26) может быть представлено в виде:

(3.36)

Поскольку левые части уравнений (3.36) и (3.30). равны, то, прирав­нивая правые части, определим температуру в точке в:

(3.37)


Глава 3. Возникновение процессов горения

. Из формул (3.34) и (3.37) найдем время, затрачиваемое реакцией на преодоление участка 2:



(3.38)


На участке 4, в условиях адиабатического разогрева вещества, экс­поненту разложим в ряд Тейлора в окрестности точки и ограничимся тремя первыми членами разложения:

(3.39)

С учетом адиабатичности процесса теплоотдачей в окружающую среду при рассмотрении этого участка можно пренебречь и принять в формуле (3.26)

Тогда, в соответствии с формулами (3.26) и (3.39) получаем:


(3.40)

Поскольку в точке производные по температуре равны, приравняв уравнения (3.36) и (3.40), имеем:

(3.41) и, соответственно, время на участке 3 равно:


(3.42)

поскольку определяется соотношением (3.37).

Интегрирование уравнения (3.40) позволяет оценить время адиаба­тического разогрева:


(3.43);:

На участке 4 происходит неограниченное возрастание скорости ре­акции. Поэтому в качестве верхнего предела интегрирования можно при-



Корольченко А.Я. Процессы горения и взрыва

нять бесконечность. С учетом этого обстоятельства и приняв во внимание, что на рассматриваемом участке получаем:

(3-44) Период индукции теплового самовозгорания получим как сумму

(3.45)

Формула (3.45) применима для условий:

В качестве причин, приводящих к самовозгоранию, могут быть: внешний нагрев, теплота реакции окисления, тепловой эффект экзотерми­ческой реакции, микробиологический процесс. В соответствии с этим раз­личают:

• тепловое самовозгорание,

• химическое самовозгорание,

• микробиологическое самовозгорание.

Тепловое самовозгорание. Характерно для дисперсных мате­риалов. Известно, что многие дисперсные материалы реагируют с ки­слородом воздуха уже при обычной температуре. В условиях, благо­приятствующих накоплению тепла в массе материала, происходит по­вышение его температуры. Это, в свою очередь, повышает скорость реакции окисления и может привести к самовозгоранию дисперсного материала.

Тепловое самовозгорание - физико-химический процесс, скорость которого зависит от скорости химической реакции, поступления кислоро­да к реагирующей поверхности и от интенсивности теплообмена самона­гревающегося материала с внешней средой.

Дисперсные материалы имеют четкую границу соприкосновения с окружающей средой. По этой границе воздух проникает между частицами внутрь массы материала. Кислород, попадая в поры частиц или волокон дисперсного материала, адсорбируется в поверхностном слое.,


Глава 3. Возникновение процессов горения

Многие твердые вещества содержат в своем составе химически свя­занный кислород (например, нитросоединения, нитрозосоединения, выс­шие спирты, кислоты и т. д.), который при определенных условиях также может принимать участие в процессе окисления. Наличие развитой по­верхности твердого материала с адсорбированным на ней кислородом -необходимое условие для начала теплового самовозгорания.

Если в процессе самонагревания вещество плавится, тем самым, со­кращая свою удельную поверхность, самонагревание может прекратиться. В то же время, если сплав вещества попадает на развитую поверхность негорючего материала, развитие процесса самовозгорания может интен­сифицироваться.

Гетерогенный процесс взаимодействия вещества с кислородом про­исходит на поверхности частиц в диффузионном или кинетическом режи­ме. Если общее время процесса превышает время химического превраще­ния, то реализуется диффузионный режим, то есть скорость процесса оп­ределяется законами диффузионной кинетики.

В кинетическом режиме скорость окисления практически не зависит от притока кислорода извне. Процесс поддерживается вступающим в ре­акцию кислородом, который адсорбирован на поверхности частиц. В этом режиме может быть достигнута температура, при которой начинается тление материала. Известно, что тление многих органических материалов возможно при очень низких концентрациях кислорода в окружающем воздухе (3-5% об.).

Существенную роль в развитии процесса самовозгорания играет по­ристость материала. Воздух, заполняющий пространство между частица­ми материала и адсорбированный в порах, участвует в самонагревании. В результате диффузии он поступает к реагирующей поверхности. Поэтому наиболее склонны к тепловому самовозгоранию материалы, обладающие большой пористостью и структурой, обеспечивающей проникновение ки­слорода в зону реакции. Склонность к самовозгоранию увеличивается при повышении адсорбционной способности материала.

Самонагревающаяся масса твердого материала имеет неоднородное температурное поле вследствие различных условий теплоотвода: цен­тральные зоны объема нагреваются до более высоких температур, чем по­верхностные. В свою очередь высокая температура интенсифицирует эк­зотермические реакции окисления, протекающие в массе материала, по­вышая общую скорость процесса.


Корольченко А.Я. Процессы горения и взрыва __

На начальном этапе самовозгорания для многих материалов харак­терно сохранение внешнего вида, хотя во внутренней части происходит интенсивное обугливание. Затем на обугленной поверхности развивается процесс тления, который может перейти в пламенное горение. Поскольку промежуточным продуктом при самовозгорании большинства органиче­ских материалов является уголь, закономерности его самовозгорания ока­зывают существенное влияние на процесс в целом. Значительную роль в самовозгорании углей играет их способность адсорбировать на начальной стадии процесса пары влаги из окружающего воздуха. Установлено, что в результате адсорбции паров воды материал может нагреться до темпера­туры 65-70°С (при поглощении 0,01 г влаги выделяется 22,6 Дж тепла).

Химическое самовозгорание. Ускорению процесса самовозгорания способствуют такие факторы, как повышенная аккумуляция тепла, разви­тая поверхность материала и его легкая воспламеняемость. Особую роль эти факторы играют при химическом самовозгорании. Известно, что ско­рость химических реакций, как правило, резко возрастает с увеличением температуры. Это обстоятельство имеет большое значение при химиче­ском самовозгорании. Поскольку процессы окисления экзотермичны, в условиях затрудненного теплоотвода выделяющееся тепло идет на нагрев массы материала, ускоряя тем самым достижение критических условий самовозгорания.

Дисперсные материалы обладают всеми свойствами, которые благо­приятно влияют на развитие самовозгорания и поэтому самовозгорание, вызванное контактом дисперсных материалов с различными веществами, достаточно часто служит причиной возникновения пожаров.

Известно, что хлопок склонен к самовозгоранию. Присутствие в хлопке различных веществ, как показали исследования профессора А. Н. Баратова, способствуют ускорению процесса. Ниже приведена продолжи­тельность периода до самовозгорания хлопка, пропитанного хлопковым маслом с различными добавками:

 

ДОБАВКА ВРЕМЯ ДО САМОВОЗГОРАНИЯ, ЧАС
Хлопковое масло без добавок 8-10
Добавки:  
Крон желтый  
Сурик  
Редоксайд 3,5-4

Глава 3. Возникновение процессов горения

 

Ультрамарин  
Сажа газовая 11,5
Литопон  
Мел  
Сажа ламповая 3,75

Самовозгорание развивается в результате присутствия в веществе примесей. Например, чистая аммиачная селитра не проявляет склонности к самовозгоранию. Температура ее разложения находится в пределах 468-478К. Однако, смеси аммиачной селитры с горючими органическими ма­териалами (древесиной, льном, торфом и др.) склонны к самовозгоранию, что определяется возможностью протекания экзотермических реакций нитрования. В присутствии органических веществ при' температуре по­рядка 370К за счет тепла реакции нитрования начинается автокаталитиче­ское разложение аммиачной селитры, в результате которого смесь само­возгорается. Катализаторами экзотермического разложения аммиачной селитры являются также примеси порошкообразных металлов.

Микробиологическое самовозгорание. Этот вид самовозгорания характерен для органических дисперсных и волокнистых материалов, внутри которых возможна жизнедеятельность микроорганизмов. Началь­ное самонагревание органического материала происходит за счет тепла, выделяемого микроорганизмами. Вызванное этим процессом повышение температуры обеспечивает ускорение экзотермической реакции, которая может закончиться возникновением тления (а затем и пламенного горе­ния) в самой нагретой части объема.

Причиной выделения тепла при хранении продуктов растительного происхождения (зерна, сена, семян масленичных культур) является по­глощение кислорода воздуха грибками и бактериями, которые присутст­вуют в этих материалах и интенсивно размножаются во влажной среде.

Повышение температуры, связанное с биологической активностью мик­роорганизмов, обусловлено разностью между скоростью вьщеления тепла и теплоотводом. Зафиксированы две стадии жизнедеятельности микроорганиз­мов, разделенные между собой некоторым промежутком времени. Первая ста­дия завершается при температуре 40-45°С. В процессе ее протекания выделе­ние тепла происходит за счет жизнедеятельности так называемых лизофиль-ных организмов (в основном грибков), которые погибают при температуре 45-50°С. Вторая стадия, завершающаяся при 75-85°С, характеризуется жизнедея-


Корольченко А.Я. Процессы горения и взрыва _________________________

тельностью термофильных организмов (в основном бактерий). Обычно эти два типа микроорганизмов развиваются одновременно и являются ответственны­ми за процессы самонагревания растительных материалов. На процессы само­нагревания решающее влияние оказывают два фактора: размер популяции микроорганизмов и влагосодержание органического материала.

При температуре 85-88°С жизнедеятельность микроорганизмов прекра­щается; они погибают, а накопленное в системе тепло при определенных ус­ловиях может привести к дальнейшему развитию процесса самовозгорания.

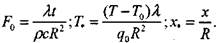
Математическая модель процесса самонагревания насыпи растительного материала. Насыпь растительного материала является дисперсной средой с низкими коэффициентами теплопроводности и температуропроводности. Поэтому при активизации микробиологиче­ских процессов в какой-либо части насыпи выделяемое тепло задержи­вается в ней и возникает очаг повышенной тепловой активности. Рас­пространение тепла в дисперсной насыпи осуществляется путем теп­лопередачи, в основном за счет теплопроводности. Для нахождения поля температур в растительном сырье требуется применение уравне­ний тепло- и влагопереноса, которые решаются совместно. Однако в рассматриваемом интервале температур (до 100 °С) перенос пара мал, и кажущаяся теплопроводность не зависит от влагосодержания. Мож­но принять также, что термические характеристики материала посто­янны и равны во всех направлениях в силу изотропности свойств дис­персной массы. Таким образом, нахождение поля температур в насыпи сводится к решению уравнения теплопроводности с постоянными ко­эффициентами с внутренним источником тепловыделения.

При всем многообразии форм очагов самонагревания можно выде­лить две основные: пластовый очаг в виде пласта толщины 2R и гнездовой очаг в виде шара радиуса R.

Пластовый очаг. Задача распространения тепла в насыпи путем те­плопроводности в случае пластового очага может быть сформулирована следующим образом: в неограниченной среде с начальной температурой Т0 в момент времени t=0 начинает действовать плоский источник тепло­выделения, удельная интенсивность которого является непрерывной фун­кцией координаты q=q(x). Рассмотрим задачу определения температур­ных полей в дисперсной насыпи комбикормового сырья, которая решает­ся численно и аналитически для разных значений переменных, характери­зующих объект исследования: плотности р, удельной теплоемкости с, ко-


Глава 3. Возникновение процессов горения

эффициента теплопроводности начальной температуры Т0, размера оча­
га R, его удельной мощности в центре q0 и на периферии Теория подо­
бия позволяет получить решение задачи, носящее обобщенный характер.
Применяя теорию обобщенных переменных, осуществим переход к без­
размерным величинам: числу Фурье Т0, безразмерной температуре , от­
носительному расстоянию х* '

(3.46)

Тогда математическая формула задачи имеет вид:



(3..47)

(3.48)

(3.49)


Применяя косинус-преобразование Фурье, получим дифференци­альное уравнение

(3.50)

где (3.51)

Решением уравнения (3.50) при условии (3.48) является выражение

(3.52) оригинал которого имеет вид

(3.53)

В насыпи комбикормов распределение микрофлоры имеет случайный ха­рактер и удельную интенсивность тепловыделения можно представить в виде

(3.54)

(3.55) где (3.56)


Корольченко А.Я. Процессы горения и взрыва

Разлагая экспоненту в ряд получим:

(3.57)

где

(3.58)

Решение (3.56) совпадает с решением задачи на охлаждение грею­щейся пластины в неограниченной среде в случае одинаковости теплофи-зических характеристик и начальных температур пластины и среды. Под­ставляя (3.46) в (3.56), получим решение в случае отсутствия фонового тепловыделения

(3.59)

В стационарном случае наличия равномерного фонового разогрева с удельной мощностью справедливо соотношение


(3.60)

Применяя принцип суперпозиции тепловых полей, получаем при­ближенную формулу для расчета распределения температуры в дисперс­ной насыпи при наличии фонового тепловыделения

(3.61)

где согласно (3.60).

Расчет безразмерной относительной температуры ) вы-

полнен путем численного интегрирования уравнения (3.47) с начальным ус­ловием (3.48) и граничными условиями (3.49) для значений числа Фурье [0,05; 8] и относительного расстояния [0; 15]. т.е. в области значе-

ний параметров, имеющей практический интерес. Значения вычис-

лялись согласно (3.56) для случая , что не меняет общности полч-ченных

результатов. В результате расчета построена номограмма представленная на рис. 3.6, позволяющая определить температурное поле в дисперсной насыпи комбикормового сырья путем использования соотноше­ния (3.61). На рис.3. 7 представлены расчетные кривые распределения темпе­ратур в насыпи травяной муки, полученные по формуле (3.61) при различ­ных параметрах очага. На рис.3.8 приведена номограмма изменения темпе-


Глава 3. Возникновение процессов горения

ратуры в центре очага до пожароопасного значения (-100 °С) в зависимости от времени для разной интенсивности тепловыделения.



 


Рис. 3.6. Номограмма безразмерной относительной температуры для пластового очага (Fo ~ число Фурье).



(3.62) (3.63) (3.64)

Гнездовый очаг. Задача нахождения температурных полей в случае гнездового очага сводится к решению симметричной задачи, которая в обобщенных переменных имеет вид:

где относительная координата



Корольченко А.Я. Процессы горения и взрыва



 


Рис. 3.7. Температурные кривые при различных параметрах очаги для травяной муки (характеристики материала:

Рис. 3.8. Рост температуры в центре пластового очага (R~0,3m.) прирахшчной интенсивности тепловыдаения (шроты, жмыхи).


Глава 3. Возникновение процессов горения

Задача решается численно совместно с уравнением


(3.65)

в результате чего построена номограмма ) для практически

важных значений параметров, позволяющая по формуле (3.61) определять распределение температур (рис. 3.9).

Предложенная математическая модель процесса самонагревания удов­летворительно согласуется с экспериментом. Так, на рис. 3.10 представлены расчетные кривые и экспериментальные значения температур, полученные в



Рис. 3.9. Номограмма безразмерной относительной температуры для гнездового очага (Fo - число Фурье).



Корольченко А.Я. Процессы горения и взрыва

крупномасштабном эксперименте на фрагменте силоса размером 3x3x4,8 м. Некоторая ассиметрия температурных полей относительно плоскости х=0, соответствующей центру очага, связана с конвекцией нагретых паров воды и воздуха в верхнюю часть насыпи.

Адекватность модели эксперименту позволяет использовать ее для решения целого ряда прикладных задач: расчета радиуса чувствитель­ности термодатчика, оценки эффективности система термоконтроля, рас­чета пожароопасности темпа роста температуры и пожаробезопасных сроков хранения сырья.

Рис. 3.10. Температурные поля при пластовом самонагревании травяной муки (крупномасштабный эксперемент): р*=470кг* м-3; R = 0,25 м; q0 = 75 Вт


Глава 3. Возникновение процессов горения

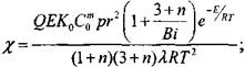
Приближенное решение задачи самовозгорания дисперсных ма­териалов для реакции порядка Самовозгорание мелкодисперсных органических материалов относится к одному из распространенных явле­ний, наблюдаемых в практике хранения, переработки и транспортировки веществ и материалов. Особенностью самовозгорания является то, что оно для своего появления и развития не требует внешнего импульса, ини­циирующего горение, или высоких температур. Это явление возникает за счет реакции гетерогенного окисления в больших объемах продукта при относительно низких температурах окружающей среды и сопровождается образованием газообразных продуктов реакции. Из-за плохой теплопро­водности массы мелкодисперсного продукта происходит накопление теп­ла в объеме, возрастание температуры, скорости химической реакции и, в конечном счете, воспламенение материала.

Практический интерес к процессам теплового взрыва обусловлен принципиальной возможностью заранее вычислить безопасные условия проведения переработки и хранения дисперсных материалов, при которых исключается самопроизвольное возникновение горения.

Математическая постановка задачи о тепловом взрыве в классической теории заключается в следующем: задается область (объем), внутри кото­рой находится реагирующее вещество. Считаются известными физико-химические константы, характеризующие теплообмен и реакцию горения, механизм теплоотдачи внутри области, начальные и граничные условия.

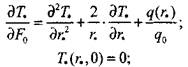
Решение приближенной задачи определения условий самовозгора­ния дисперсных материалов при их окислении по реакции порядка и из­менении в широком диапазоне параметров тепломассообмена сводится к известным уравнениям теплопроводности с распределенным источником тепла и скорости химической реакции



(3.66)



(3.67)


Граничными и начальными условиями будут



(3.68)


Корольченко А.Я. Процессы горения и взрыва

(3.69)

(3.70)

Уравнение (3.66) является уравнением теплопроводности с распре­деленными источниками тепла в насыпи материала, а уравнение (3.67) характеризует скорость химической реакции. Граничные условия форму­лируют отсутствие теплового потока на оси симметрии рассматриваемых объемов и теплообмен с окружающей средой по закону Ньютона. В задаче рассматриваются три симметричные области: плоскопараллельная (п = 0); цилиндрическая (п = 1); сферическая (п - 2), и приняты следующие обо­значения: Тн, Т0, Т - начальная температура, температура окружающей среды и текущая температура в зоне реакции, соответственно; х,r - теку­щая координата и характерный размер, соответственно; t - время; Q ~ те­пловой эффект реакции; Е - энергия активации; К0 - прсдэкспонент;

' - теплопроводность, теплоемкость и плотность вещества, соответ­ственно; а - коэффициент теплоотдачи; R - газовая постоянная; С0 - кон­центрация окислителя в окружающей среде; q - количество тепла, выде­ляющегося в ходе реакции на единицу массы твердой фазы: т, - поря­док реакции по окислителю и горючему; а - коэффициент теплоотдачи.

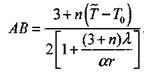
Определим среднюю по объему температуру

(3.71)

и приближенно учтем распределение температуры в виде параболы второ­го порядка где А и В - коэффициенты являющиеся функцией времени, которые определяются из граничных условий (3.68)-(3.70). Тогда средняя температура будет



(3.72)


Выразим уравнение (3.66) и (3.67) через среднюю температуру, для че­го все члены этих уравнений умножим на x"»dx и проинтегрируем от 0 до оо



(3.73)



Глава 3. Возникновение процессов горения


(3.74)

Определим произведение АВ через среднюю температуру . Из (3.69) и (3.99) найдем



(3.75)


Преобразуем (3.72) к виду



(3.76)



получим, что


(3.77)


Подставляя (3.77) в (3.75) найдем, что



(3.78)


С учетом (3.78) и равенства критерия система уравнений

(3.66) и (3.67) перепишется в виде (знак осреднения опускаем)



(3.79)

(3.80)


Для того, чтобы свести полученную систему уравнений к нашей за­даче, преобразуем выражение в экспоненту



где


(3.81)

(3.82)



Корольченко А.Я. Процессы горения и взрыва


В безразмерных переменных (3.66) и (3.67) с учетом (3.81) перепи­шется в виде

(3.83)

где

(3.84)



(3.85)



(3.86)



(3.87)



(3.88)


(3.89)

Полученная система уравнений определяет критическое условие са­мовозгорания:


С учетом принятых обозначений можно записать


(3.90)



(3.91)



Глава 3. Возникновение процессов горения

Полученное критическое условие отличается членом


(3.92)

который учитывает неоднородность распределения температуры в оо-разце.

Анализ уравнения (3.92) показывает, что оно дает несколько завы­шенные значения по сравнению с решением Франк-Каменецкого. Введе­нием в уравнение (3.92) согласующей функции Ф(Вi) (рис.3.11),

Рис 3.11. Зависимость функции Ф(Bi) от Вi: 1 - плита, 2 - циллиндр, 3 - сфера

значения которой рассчитаны по экспериментальным данным, достигает­ся удовлетворительное согласие с решением задачи Франк-Каменецкого во всем диапазоне изменения параметра Вi (от 0 до со)



(3.93)


Корольченко А.Я. Процессы горения и взрыва

Таблица 3.2







Date: 2015-09-18; view: 589; Нарушение авторских прав



mydocx.ru - 2015-2026 year. (1.562 sec.) Все материалы представленные на сайте исключительно с целью ознакомления читателями и не преследуют коммерческих целей или нарушение авторских прав - Пожаловаться на публикацию