Главная Случайная страница


Полезное:

Как сделать разговор полезным и приятным Как сделать объемную звезду своими руками Как сделать то, что делать не хочется? Как сделать погремушку Как сделать так чтобы женщины сами знакомились с вами Как сделать идею коммерческой Как сделать хорошую растяжку ног? Как сделать наш разум здоровым? Как сделать, чтобы люди обманывали меньше Вопрос 4. Как сделать так, чтобы вас уважали и ценили? Как сделать лучше себе и другим людям Как сделать свидание интересным?


Категории:

АрхитектураАстрономияБиологияГеографияГеологияИнформатикаИскусствоИсторияКулинарияКультураМаркетингМатематикаМедицинаМенеджментОхрана трудаПравоПроизводствоПсихологияРелигияСоциологияСпортТехникаФизикаФилософияХимияЭкологияЭкономикаЭлектроника






Гомогенное, гетерогенное и диффузионное горение





Перечисленные в предыдущем разделе физические явления наблю­даются в самых разнообразных процессах, различающихся как по природе химических реакций, так и по агрегатному состоянию участвующих в го­рении веществ.

Различают гомогенное, гетерогенное и диффузионное горение.


Глава 1. Основные понятия теории горения

К гомогенному относится горение предварительно перемешан­ных газов*. Многочисленными примерами гомогенного горения явля­ются процессы сгорания газов или паров, в которых окислителем яв­ляется кислород воздуха: горение смесей водорода, смесей оксида уг­лерода и углеводородов с воздухом. В практически важных случаях не всегда выполняется условие полного предварительного перемеши­вания. Поэтому всегда возможны комбинации гомогенного с другими видами горения.

Гомогенное горение может быть реализовано в двух режимах: ламинарном и турбулентном. Турбулентность ускоряет процесс горе­ния за счет дробления фронта пламени на отдельные фрагменты и со­ответственно увеличения площади контакта реагирующих веществ при крупномасштабной турбулентности или ускорения процессов те-пломассопереноса во фронте пламени при мелкомасштабной. Турбу­лентному горению присуща автомодельность: турбулентные вихри увеличивают скорость горения, что приводит к увеличению турбу­лентности.

Все параметры гомогенного горения проявляются и в процессах, в которых окислителем выступает не кислород, а другие газы. Напри­мер, фтор, хлор или бром.

При пожарах наиболее распространены процессы диффузионно­го горения. В них все реагирующие вещества находятся в газовой фа­зе, но предварительно не перемешаны. В случае горения жидкостей и твердых веществ процесс окисления горючего в газовой фазе проис­ходит одновременно с процессом испарения жидкости (или разложе­ния твердого материала) и с процессом смешения.

Простейшим примером диффузионного горения является горе­ние природного газа в газовой горелке. На пожарах реализуется ре­жим турбулентного диффузионного горения, когда скорость горения определяется скоростью турбулентного смешения.

При этом различают макросмешение и микросмешение. Процесс турбулентного смешения включает последовательное дробление газа на все более малые объемы и перемешивание их между собой. На по­следней стадии окончательное молекулярное смешение происходит молекулярной диффузией, скорость которой увеличивается по мере уменьшения масштаба дробления. По завершении макросмешения

* Подобное горение зачастую называют кинетическим.


Корольченко А.Я. Процессы горения и взрыва

скорость горения определяется процессами микросмешения внутри малых объемов горючего и воздуха.

Гетерогенное горение происходит на поверхности раздела фаз. При этом одно из реагирующих веществ находится в конденсированном со­стоянии, другое (обычно кислород воздуха) поступает за счет диффузии газовой фазы. Обязательным условием гетерогенного горения является очень высокая температура кипения (или разложения) конденсирован­ной фазы. При несоблюдении этого условия горению предшествует ис­парение или разложение. От поверхности в зону горения поступает по­ток пара или газообразных продуктов разложения, и горение происходит в газовой фазе. Такое горение можно отнести к диффузионным квазиге­терогенным, но не полностью гетерогенным, поскольку процесс горения происходит уже не на границе фаз. Развитие такого горения осуществля­ется за счет теплового потока от факела пламени к поверхности мате­риала, который обеспечивает дальнейшее испарение или разложение и поступление горючего в зону горения. В подобных ситуациях возникает смешанный случай, когда реакции горения частично протекают гетеро-генно - на поверхности конденсированной фазы, частично гомогенно - в объеме газовой смеси.

Примером гетерогенного горения является горение каменного и древесного угля. При сгорании этих веществ протекают реакции двояко­го рода. Некоторые сорта каменного угля выделяют при нагревании ле­тучие компоненты. Сгоранию таких углей предшествует их частичное термическое разложение с выделением газообразных углеводородов и водорода, сгорающих в газовой фазе. Кроме того, при сгорании чистого углерода может образовываться оксид углерода СО, догорающий в объ­еме. При достаточном избытке воздуха и высокой температуре поверх­ности угля объемные реакции протекают настолько близко от поверхно­сти, что в определенном приближении дает основание считать такой процесс гетерогенным.

Примером действительно гетерогенного горения является горение тугоплавких нелетучих металлов. Эти процессы могут осложняться об­разованием окислов, покрывающих горящую поверхность и препятст­вующих контакту с кислородом. При большой разнице в физико-химических свойствах между металлом и его окислом в процессе горе­ния окисная пленка растрескивается, и доступ кислорода в зону горения обеспечивается.



Глава 1. Основные понятия теории горения

1.3. Горение в движущемся газе

Для описания процессов горения используется термин «нормальная скорость пламени»*. Он характеризует скорость движения фронта пламе­ни в неподвижной газовой смеси. Такое идеализированное состояние можно создать лишь в лабораторном эксперименте. В реальных условиях горения пламя всегда существует в движущихся потоках.

Поведение пламени в таких условиях подчиняется двум законам, ус­тановленным русским ученым В. А. Михельсоном.

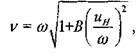
Первый из них устанавливает, что составляющая скорости газового потока v по нормали к фронту пламени, распространяющегося по непод­вижной смеси, равна нормальной скорости распространения пламени и, деленной на cos

(1-1)

где - угол между нормалью к поверхности пламени и направлением газового потока.

Величина v характеризует количество газа, сгорающего в едини­цу времени в косом пламени. Ее принято называть действительной скоростью горения в потоке. Действительная скорость во всех случаях равна или превышает нормальную.

Этот закон применим только к плоскому пламени. Обобщение его на реальные пламена с искривлением фронта пламени дает формулировку второго закона - закона площадей.

Предположим, что в газовом потоке, имеющем скорость v и попе­речное сечение стационарно расположен искривленный фронт пламени с общей поверхностью S. В каждой точке фронта пламени пламя распро­страняется по нормали к его поверхности со скоростью и. Тогда объем горючей смеси, сгорающей в единицу времени составит:

(1.2)

В соответствии с балансом исходного газа этот же объем равен:

(1.3)

* Этот термин адекватен термину «нормальная скорость горения».


Корольченко А.Я. Процессы горения и взрыва

Приравнивая левые части (1.2) и (1.3) получаем:



(1.4)


В системе отсчета, в которой фронт пламени перемещается по не­подвижной газовой смеси, соотношение (1.4) означает, что пламя распро­страняется относительно газа со скоростью V. Формула (1.4) является ма­тематическим выражением закона площадей, из которого следует важный вывод: при искривлении фронта пламени скорость горения вырастает пропорционально увеличению его поверхности. Поэтому неоднородное движение газа всегда интенсифицирует горение.

1.4. Турбулентное горение

Из закона площадей следует, что турбулентность увеличивает ско­рость горения. На пожарах это выражается сильной интенсификацией процесса распространения пламени.

Различают (рис. 1.2) два вида турбулентного горения: горение одно­родной газовой смеси и микродиффузионное турбулентное горение.

Рис. 1.2. Классификация турбулентного горения

При горении однородной смеси в режиме турбулентного горения возможны два случая: возникновение мелкомасштабной и крупномас-


Глава 1. Основные понятия теории горения

штабной турбулентности. Такое разделение производится в зависимости от соотношения масштаба турбулентности и толщины фронта пламени. При масштабе турбулентности меньшем толщины фронта пламени ее от­носят к мелкомасштабной, при большем - к крупномасштабной. Меха­низм действия мелкомасштабной турбулентности обусловлен интенсифи­кацией процессов горения за счет ускорения процессов тепломассопере-носа в зоне пламени. При описании мелкомасштабной турбулентности в формулах для скорости распространения пламени коэффициенты диффу­зии и температуропроводности заменяются на коэффициент турбулентно­го обмена.


Наибольшие скорости горения наблюдаются при крупномасштабной турбулентности. В этом случае возможны два механизма ускорения горе­ния: поверхностный и объемный.



 


Поверхностный механизм состоит в искривлении фронта пламени турбулентными пульсациями. В этом случае скорость горения возрастает пропорционально увеличению поверхности фронта. Однако это справед­ливо лишь для условий, когда химические превращения в пламени завер­шаются быстрее, чем успеет произойти турбулентное смешение. В этом случае, когда турбулентное смешение обгоняет химическую реакцию, зо­на реакции размывается турбулентными пульсациями. Такие процессы описываются закономерностями объемного турбулентного горения.

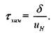
Время турбулентного смешения равно отношению масштаба

турбулентности к пульсационной скорости Поэтому ускорение

пламени за счет турбулентных пульсаций происходит по поверхностному механизму, если выполняется условие:

(1.5)



Корольченко А.Я. Процессы горения и взрыва


где - время протекания химической реакции при температуре горе-

ния

Если условие (1.5) не выполняется, то имеет место механизм объем­ного турбулентного горения.

Время химической реакции может быть выражено.через макроско­пические величины: нормальную скорость пламени и толщину фронта пламени

(1.6)

Тогда критерий поверхностного ускорения принимает вид:

(1.7)

(1.8)

Для оценки скорости распространения турбулентного пламени при поверхностном ускорении К. И. Щелкиным предложена формула:

где В - слабо меняющееся число, не превышающее единицу. В пределе при сильной турбулентности турбулентная скорость пламени стремится к пульсационной скорости, т. е. В - к единице.

1.5. Особенности горения взрывчатых веществ

Взрывчатыми называются индивидуальные вещества или их смеси, способные под влиянием какого-либо внешнего воздействия (нагревания, удара, трения, взрыва другого взрывчатого вещества) к быстрому само­распространяющемуся химическому превращению с выделением большо­го количества тепла и образованием газов.

От обычных горючих веществ, горение которых происходит при взаимодействии с кислородом или другими внешними оксилителями, взрывчатые вещества, находясь в конденсированной (твердой или жид­кой) фазе, содержат в себе все компоненты, участвующие в горении. Взрывчатыми веществами могут быть как индивидуальные химические соединения, так и механические смеси.


Большинство индивидуальных взрывчатых веществ относятся к нитросоединениям: тринитротолуол, тетрил, гексоген, октоген, нитрогли-


Глава 1. Основные понятия теории горения

церин, нитраты целлюлозы и др. Взрывчатыми свойствами обладают так­же хлораты, перхлораты, азиды, органические перекиси.

Молекулы органических нитросоединений содержат слабо связан­ный кислород в виде нитрогруппы - Таким образом, в одной моле­куле содержатся и горючее, и окислитель. Их горение за счет внутримо­лекулярного окисления может начаться при незначительных внешних воздействиях.

Значительную группу взрывчатых веществ составляют эндотерми­ческие соединения, молекулы которых не содержат кислорода. В этом случае источником энергии является не окисление, а прямой распад. К таким соединениям относятся азиды свинца, серебра и других металлов. К механическим смесям относятся смеси твердых у глее о держащих горючих с твердыми окислителями. Примером подобной смеси является черный порох.

1.6. Термодинамика сгорания

углеводородовоздушных смесей

Законы термодинамики позволяют вычислить необходимые для описания процессов горения параметры: коэффициент расширения про­дуктов сгорания при начальных условиях отношения теп-лоемкостей при постоянном давлении и постоянном объеме как хтя свежей смеси, так и для продуктов сгорания; максимальное давление взрыва ре; адиабатическую температуру продуктов сгорания в изобариче­ских и изохорических условиях, состав продуктов сгорания

В настоящем разделе описан алгоритм расчета равновесного состоя­ния продуктов сгорания C-H-0-N- содержащих горючих в воздухе в ши­роком диапазоне начальных температур, давлений и концентраций, разра­ботанный проф. В.В. Мольковым. Алгоритм основан на обобщении и сис­тематизации термодинамических и математических методов с использо­ванием наиболее точных данных по термодинамическим свойствам инди­видуальных веществ.

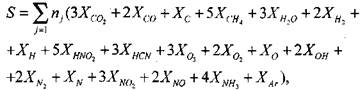
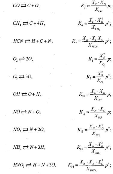
Для повышения достоверности результатов в расчетах необходимо учитывать не только кислород и азот воздуха, но и другие входящие в его состав газы - , Н20, С02. Увеличение числа компонентов продуктов сгорания до 19 (Н2, Н20, С02, N2, Аг, С-газ, Н, О, N, CO, CH4, HCN, 02,

и проведение расчетов с учетом состава воз-


Корольченко А.Я. Процессы горения и взрыва

духа средней влажности

не усложняют вычислений на компьютере, использова­ние которого позволяет существенно сократить время расчетов при одно­временном повышении их точности в сравнении с приближенным подхо­дом без использования компьютера.

Брутто-реакция для сгорания горючего в воздухе средней влажности в расчете на моль свежей смеси может быть записана в виде

(1.9)

где - объемная концентрация горючего в свежей смеси: -

число атомов соответственно углерода, водорода, кислорода и азота в мо­лекуле горючего; - число молей -го компонента продуктов сгорания;

- компонент продуктов сгорания.

Суммарное число атомов в системе, вычисленное по составу свежей смеси, равно

(1-10)

Отношения числа атомов соответственно углерода, водорода, азота и аргона к числу атомов кислорода являются константами для конкретной смеси и не зависят от термодинамического состояния замкнутой системы:

(1.11) (1.12)

(1.13)

(1.14)

- число атомов кислорода в системе.


Глава 1. Основные понятия теории горения

Для адиабатического процесса горения в изобарических условиях закон сохранения энергии эквивалентен закону сохранения энтальпии замкнутой системы

Hi = Hj, (1.15)

где Н - энтальпия, а индексы и j обозначают соответственно параметры свежей смеси и продуктов сгорания. Энтальпия моля свежей смеси

(1.16)

где и - энтальпия соответственно горючего и воздуха при на-

чальной температуре Зависимость энтальпии горючего и воздуха от начальной температуры в диапазоне от 250 до 500 К задается полиномом четвертой степени

<1.17)

где (298) - энтальпия образования вещества при температуре 298 К;

- энтальпия при температуре Т; - численные коэффициенты,

определяемые решением системы линейных уравнений, например, мето­дом исключения Гаусса-Жордана; Т0 - некоторое произвольное постоян­ное значение температуры.

Энтальпия продуктов сгорания, полученных при сжигании моля свежей смеси



(1.18)


где сумма в круглых скобках равна числу молей продуктов при сгорании одного моля свежей смеси; - мольная доля -го компонента продуктов сгорания; - энтальпия -го продукта сгорания при темпера-

туре Т.

Значения энтальпий

(1.19)

определяются по зависимости приведенной энергии Гиббса от температу­ры Ф(Т) в диапазоне температур от 500 до 6000 К. Известно, что


Корольченко А.Я. Процессы горения и взрыва



(1.20)


При горении в изохорических условиях, например при взрыве газа в бомбе постоянного объема, переход системы из исходного равновесного термодинамического состояния в конечное происходит с сохранением внутренней энергии

(1.21)

где на моль свежей смеси (универсальная газовая постоянная

R - 8,31441 Дж/моль • К), а для продуктов сгорания



(1.22)


где Те - равновесная температура продуктов сгорания в бомбе.

Давление взрыва газовой смеси в замкнутой бомбе определяется по отношению уравнений состояния идеального газа для продуктов сгорания и свежей смеси

(1.23)

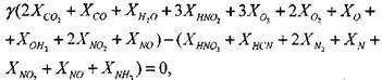
Для нахождения равновесного состава продуктов сгорания необхо­димо решить систему, включающую в себя 5 линейных (уравнения сохра­нения массы) и 14 нелинейных (уравнения химического равновесия) ал­гебраических уравнений.

Для изобарического процесса целесообразно записать уравнения со­хранения массы через мольные доли продуктов сгорания

(1.24)

(1.25)


Глава 1. Основные понятия теории горения



(1.26)



(1.27)



(1.28)


где значения определены по параметрам свежей смеси в соот-

ветствии с формулами (1.10)-(1.14).

Сумма мольных долей по определению равна единице

(1.29)

Число независимых уравнений химического равновесия равно раз­ности числа компонентов продуктов сгорания и числа химических эле­ментов в системе. В качестве независимых выбраны следующие четырна­дцать реакций:

(1.30) (1.31) (1.32)

(1.33)



Корольченко А.Я. Процессы горения и взрыва


(1.34) (1.35) (1.36) (1.37) (1.38) (1.39) (1.40) (1.41) (1.42) (1.43)


где р - давление, при котором протекает реакция, атм. Зависимость кон­стант химического равновесия от температуры принимается по справочным данным для реакций диссоциации



(1.43 а)



Глава 1. Основные понятия теории горения

где - стехиометрические коэффициенты, определяются из соотношения



(1.44)


котором - константа равновесияреакции диссоциации (1.43 а)

при температуре - приведенные энергии Гиббса соответ-

ственно реагентов - тепловой эффект-ой реакции (1.44)

при абсолютном нуле температуры.

Показатели адиабат для свежей смеси и продуктов сгорания опреде­ляются с использованием уравнения Майера по формуле



(1.45)


где у- показатель адиабаты; ср - мольная теплоемкость при постоянном давлении; R - универсальная газовая постоянная. Теплоемкость смеси идеальных газов вычисляется по формуле


(1.46)

Для свежей смеси значения определяются дифференцированием выражения (1.17) для энтальпии газов исходной смеси (горючего и возду­ха) по температуре для продуктов сгорания - по выражениям, полу­ченным в результате дифференцирования уравнения (1.19) по температу­ре Т.

При расчетах процессов горения в постоянном объеме константу равновесия зависящую для идеального газа только от температуры,

при которой рассчитывается равновесие, и не зависящую от давления, це­лесообразно записать не через мольные доли как это сделано при рас­четах горения в изобарических условиях в уравнениях (1.30)-(1.43), а че­рез количество молей п,. Тогда, например, для реакции (1.31) имеем



(1.47)


где Г-температура, при которой вычисляется константа равновесия; р, и Г, - начальные значения давления и температуры свежей смеси. При пе-


Корольченко А.Я. Процессы горения и взрыва

реходе от мольных долей к числу молей в изохорическом процессе в урав­нениях сохранения массы (15)-(18) необходимо заменить значения на соответствующие Уравнение (19) этом запишется в виде

(1.48)

После умножения обеих частей уравнения (1.28) на можно вы­числить сумму необходимую для вычисления давлениявзрыва газо­вой смеси в бомбе постоянного объема по уравнению (1.22).

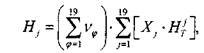
Опишем метод решения системы уравнений (1.15), (1.23)-(1.43), со­держащей 21 неизвестную величину: 19 мольных долей продуктов сгора­ния суммарное число молей продуктов при сгорании моля свежей сме­си и энтальпию продуктов сгорания . В качестве независимых пе­ременных выбраны мольные доли водорода, воды, диоксида углерода, азота и аргона Мольные

доли остальных 14 продуктов сгорания выражаются через константы рав­новесия и выбранные независимые переменные из уравнений (1.29)-(1.43). Далее перепишем уравнения (1.23)-(1.26) и (1.28) соответственно в виде

F(A,B, C,D,E) = 0,

G (А, В, С, D, Е) = 0,

H(A,B,C,D,.E) = 0, (1.49)

J (А, В, С, D, Е) = 0,

I (А, В, С, D, Е) = 0.

Линеаризовав систему уравнений (1.49) разложением в ряд Тейлора с точностью до членов, содержащих первые производные, получаем

(1.50)

где и т. д. (индекс 0 обозначает ис-

ходные значения величин). Система уравнений (1.50) содержит пять неиз­вестных - являющихся приращениями к исходным


Глава 1. Основные понятия теории горения

вестных - являющихся приращениями к исходным

значениям мольных долей А, В, С, D, Е. Система может быть решена раз­личными методами, например вычислением и делением друг на друга де­терминантов соответствующих матриц системы уравнений (1.50) либо использованием метода исключения Гаусса-Жордана.

При предполагаемом значении равновесной температуры продуктов сгорания Т вычисляют значения констант равновесия .. Затем определя-

ют по исходным значениям независимых переменных А, В, С, D, Е значения остальных мольных, долей продуктов сгорания, а следовательно, и коэффици­енты системы уравнений (1.50). Затем, решив эту систему уравнений, находят новые значения

Итерационный процесс повторяют до тех пор, пока абсолютные значения от­ношений не станут меньше определенной величины, равной, например, (при результаты расчетов прак­тически не изменяются). Таким образом, определяют равновесный состав про­дуктов сгорания при предполагаемой температуре Т. По равновесному составу продуктов находят согласно уравнению (1.27) величину £и,-, что позволяет вы­числять значения энтальпии Hj продуктов сгорания по формуле (1.18).

При горении в изохорических условиях порядок вычислений аналогичен описанному выше. Отличие, как уже отмечалось, заключается в том, что рас­чет проводится не для мольных долей, а для числа молей и вместо энтальпий вычисляют внутреннюю энергию свежей смеси и продуктов сгорания.

В табл. 1.1 приведены рассчитанные термодинамические параметры для стехиометрических смесей метана, пропана, гексана, гептана, ацетона, изопропилового спирта и бензола с воздухом.

Таблица 1.1. Максимальное адиабатическое давление взрыва в замкнутом сосуде , температура продуктов сгорания , показатели адиабат свежей смеси и продуктов сгорания коэффициент расширения продуктов сгорания при начальных условиях Ei для стехиометрических углеводородных смесей при

начальной температуре = 298,15 К


Корольченко А.Я. Процессы горения и взрыва

 

    0,06 0,04 5,188 3,439 2539,6 2521,9   1,247 1,248 2192,7 2183,2 7,412 7.385
3,964 0,10 0,08 0,06 0,04 9,228 7,358 5,494 3,640 2604,4 2594,1 2580,5 2561,2 1,365 1,247 1,248 1,248 1,249 2245,2 2239,4 2231,7 2220,7 7,897 7,880 7,857 7,825
2,126 0,10 0,08 0,06 0,04 9,378 7,478 5,583 3,699 2611,6 2601,2 2587,3 2567,8 1,360 1,248 1,248 1,249 1,249 2251,7 2245,8 2237,9 2226,7 8,025 8,008 7,984 7,951
1,842 0,10 0,08 0,06 0,04 9,403 7,498 5,598 3,708 2613,0 2602,6 2588,7 2569,1 1,359 1,248 1,248 1,249 1,249 2253,0 2247,1 2239,1 2227,9 8,047 8,029 8,005 7,972
4,907 0,10 0,08 0,06 0,04 9,282 7,401 5,527 3,661 2594,2 2583,7 2570,4 2550,9 1,357 1,245 1,245 1,246 1,246 2242,1 2236,2 2228,2 2216,9 7,962 7,944 7,921 7,888
4,386 0,10 0,08 0,06 0,04 9,344 7,451 5,565 3,688 2574 3 2564,4 2551,8 2533,2 1,361 1,244 1,245 1,245 1,246 2219,7 2214,3 2206,9 2196,5 7,999 7,983 7,961 7,929
2,679 0,10 0,08 0,06 0,04 9,299 7,411 5,532 3,662 2678,2 2666,0 2650,6 2628,2 1,377 1,251 1,251 1,252 1,252 2321,1 2313,7 2304,2 2290,4 7,990 7,969 7,942 7,902

Стехиометрическая концентрация горючего при сгорании в воздухе средней влажности и в сухом воздухе определяются соответственно по формулам:

(1.51)

(1.52)

где - стехиометрический коэффициент кислорода, равный числу молей кислорода, приходящихся на 1 моль горючего вещества при его полном сгорании.


Глава 1. Основные понятия теории горения

На рис. 1.3 в качестве примера показано рассчитанное изменение температуры горения и мольных долей основных компонентов продуктов сгорания в зависимости от объемной концентрации горючего для гекса-но-воздушной смеси.

Рис. 1.3. Зависимость состава и температуры продуктов сгорания

гексано-воздушной смеси при давлении 0,101 МПа и начальной температуре

298,15 К от концентрации гексана








Date: 2015-09-18; view: 716; Нарушение авторских прав



mydocx.ru - 2015-2026 year. (0.687 sec.) Все материалы представленные на сайте исключительно с целью ознакомления читателями и не преследуют коммерческих целей или нарушение авторских прав - Пожаловаться на публикацию