Главная Случайная страница


Полезное:

Как сделать разговор полезным и приятным Как сделать объемную звезду своими руками Как сделать то, что делать не хочется? Как сделать погремушку Как сделать так чтобы женщины сами знакомились с вами Как сделать идею коммерческой Как сделать хорошую растяжку ног? Как сделать наш разум здоровым? Как сделать, чтобы люди обманывали меньше Вопрос 4. Как сделать так, чтобы вас уважали и ценили? Как сделать лучше себе и другим людям Как сделать свидание интересным?


Категории:

АрхитектураАстрономияБиологияГеографияГеологияИнформатикаИскусствоИсторияКулинарияКультураМаркетингМатематикаМедицинаМенеджментОхрана трудаПравоПроизводствоПсихологияРелигияСоциологияСпортТехникаФизикаФилософияХимияЭкологияЭкономикаЭлектроника






Развитие горения 3 page





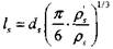
Полагая линейную зависимость ин от концентрации горючего в околопредельной смеси (что справедливо для скоростей распространения пламени us .ufН,макс. 0,5), получим выражения для НКП и пре-

дельной скорости следующего вида:



(4.38)



(4.39)


Результаты вычисления нижнего концентрационного предела распро­странения пламени по соотношению (4.38) сопоставлены с эксперимен­тальными данными на рис. 4.22. При скорости оседания частиц us > ин,макс

(область III) распространение пламени вниз оказывается невозможно, по­скольку частицы горючего движутся быстрее фронта пламени и горючее не поступает в зону горения. Оценка диаметра частиц, при котором реализует­ся рассмотренный случай, для тетралина дает ds> 140 мкм.

В заключение данного раздела сформулируем выводы для случая относительного движения фаз в горящей аэровзвеси. Относительное дви­жение фаз аэровзвеси влияет на температуру горения и, следовательно, на скорость распространения пламени. Если относительная скорость частиц и воздуха (us-u1) направлена в сторону фронта пламени, горение аэро­взвеси ускоряется по отношению к случаю неподвижных фаз: возрастают температура горения и скорость распространения пламени. Если (us -u1) направлена от фронта пламени, горение может замедляться вплоть до полного прекращения.


Корольченко А.Я. Процессы горения и взрыва ______________________

Гидродинамический анализ горения аэрозолей. Сильное влия­ние относительного движения фаз аэрозоля на распространение пламе­ни наталкивает на поиски причин, вызывающих это относительное движение в горящих аэродисперсных системах. Априори можно пред­положить, что столь сильное влияние должно обусловливать обратную связь процессов в горящем аэрозоле, которая способна ин­тенсифицировать это движение (рассеяние) фаз аэрозоля. В этом от­ношении представляет большой интерес гидродинамический анализ поведения фаз аэрозоля в условиях возмущения плоского фронта пла­мени. Как будет показано, гидродинамика горения двухфазной систе­мы такова, что процессы разрушения ламинарного фронта пламени в таких системах интенсифицируются в большей степени, чем в гомо­генных средах. Излагаемый ниже механизм разрушения плоского фронта пламени в аэродисперсных системах, по-видимому, обусловли­вает переход от плоско-ламинарных режимов горения аэрозолей к тур­булентному.

Для этого исследуется линейная устойчивость плоского фронта пла­мени, рассматриваемого как поверхность гидродинамического разрыва. Возможность получить точное решение задачи в линейном приближении даст в дальнейшем возможность исследования характера гидроди­намического движения фаз горящего аэрозоля при значительных ис­кривлениях зоны горения.

Устойчивость плоской зоны горения в аэрозоле будем исследовать по следующей схеме. Постулируя кондуктивный механизм распростране­ния пламени, характерные размеры в задаче выберем таким образом, что­бы шириной зоны значительных градиентов физических параметров (об­ласть прогрева свежей смеси, область химической реакции и область ре­лаксации мелкомасштабных - на длинах порядка расстояний между час­тицами - неоднородностей распределения физических величин) можно было пренебречь. В дальнейшем эту зону будем рассматривать в виде по­верхности газодинамического разрыва и именовать фронтом пламени. Предположим, что в невозмущенном горением аэрозоле горючее (моно­дисперсные частицы) распределено равномерно по объему и находится с окислителем (воздухом) в относительном покое, т. е. действием силы тя­жести пренебрегаем. Для исследования устойчивости плоского фронта пламени выберем систему координат, в которой первоначально невозму­щенное пламя покоится и совпадает с плоскостью координат (y,z), свежая


Глава 4. Развитие горения


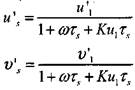
смесь (х < 0) набегает на фронт пламени со скоростью u1 = us, газообраз­ные продукты горения > 0) уносятся со скоростью и2. Штрихом от­мечены малые нестационарные добавки - возмущения величин, харак­теризующих стационарное поле течения; коэффициент рас­ширения продуктов горения; ин - нормальная скорость распространения пламени по аэрозолю, которая принимается равной нормальной состав­ляющей скорости поступления воздуха свежей смеси во фронт пламени (в невозмущенном состоянии ин =u = us = u2/a); рз° - плотность материала

частиц; ds - диаметр частиц;

частицами в аэрозоле; - стоксово время релаксации относи-

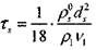
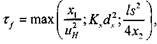
тельной скорости фаз аэрозоля; К6 - константа диффузионного горения частицы топлива; tf - характерное время релаксации процессов во фронте пламени; lf = а ин tf - физическая толщина фронта пламени;


- соответственно период, волновой вектор и ин­кремент роста во времени возмущения фронта пламени. В дальнейшем для количественных оценок будут использоваться следующие значения параметров, характеризующих нижнепредельный аэрозоль тетралина:

Предположим, что характерное время релаксации процессов во фронте

среднее расстояние между

где члены в круглых

пламени определяется как

скобках соответствуют стадии кондуктивного прогрева свежей смеси, вре­мени диффузионного горения частицы, а также времени релаксации (в диф­фузионном приближении) мелкомасштабных неоднородностей горячей аэ­родисперсной системы. Оценки показывают, что в практически важном слу­чае горения частиц аэрозоля в диффузионном режиме (ds 10-4 м):

Аэрозоль с концентрацией горючего, равной нижнему концентрационному пределу распространения пламени.


Корольченко А.Я. Процессы горения и взрыва



 


Рассмотрим малое, периодическое вдоль оси у (с периодом L) воз­мущение поверхности фронта пламени, вызывающее возмущение векторов скорости фаз в плоскости (х, у). Исследование устойчивости фронта пламе­ни к выбранному типу возмущений будем проводить в приближении:


(4.40)

где Re - число Рейнольдса, построенное по характерному масштабу не-однородностей, вносимых возмущением, и равному соответственно L и

Первое из условий (4.40) оправдывает принятое изображение фаз в виде взаимопроникающих континиумов, второе условие отвечает описа­нию фронта пламени поверхностью газодинамического разрыва, остальные условия определяют асимптотическое приближение, когда эффектами пе­реноса (вязкостью и теплопроводностью газа) в уравнениях движения сре­ды можно пренебречь. Течение продуктов горения и свежей смеси, возни­кающее в результате возмущения вблизи фронта пламени, подчиняется ли­неаризованным уравнениям механики соответственно одно- и двухскоро-стного континиума с точки зрения феноменологического подхода:



(4.41)


где


Отметим, что вблизи нижнего концентрационного предела распро­странения пламени «: 1 (для тетралина = 0,032), т. е. массовая доля конденсированной фазы в аэрозоле мала. Далее легко получить решение (4.41) для возмущений, пропорциональных примерно exp (wt + iKy). Ана-


Глава 4. Развитие горения

лиз показывает, что решение не имеет особенностей при = 0, и в силу малости параметра влиянием конденсированной фазы аэрозоля как на движение воздуха, так и в уравнениях баланса (граничные условия) будем в дальнейшем пренебрегать, т. е. у/ —* 0. Тогда решение для возмущенных параметров газовой фазы принимает вид:

(4.42)



 


где А, В, С- произвольные константы

Решение для возмущенных параметров конденсированной фазы имеет вид



(4.43)


В соответствии с выбранным типом возмущений форма поверхности фронта пламени представляется в виде:

(4.44)

где F — произвольная константа.

На рис. 4.23 приведена схема «линий тока» конденсированной (пунктирные линии) и газовой (сплошные линии) фаз вблизи искривлен­ного фронта пламени. Искривление и ускоренное движение фронта вызы­вает изменение направления и величины скорости движения воздуха. В свою очередь, воздух увлекает частицы горючего, которые в силу инерци­онности отстают от ускоренно движущейся газовой фазы. Последнее при-



Корольченко А.Я. Процессы горения и взрыва

водит к различию в скоростях поступления горючего и окислителя во фронт пламени (фазодинамический эффект), что с необходимостью ведет к изменению температуры горения и нормальной скорости горения аэро­золя, влияющим на дальнейшее ускорение и искривление фронта. Отме­ченная связь процессов в горящем аэрозоле определяет возможность су­ществования специфического для дисперсных систем механизма разру­шения плоского фронта пламени наряду с его гидродинамической неус­тойчивостью, известной из теории гомогенного горения. Установим коли­чественную связь между инкрементами роста и волновыми векторами пе­риодических возмущений плоского фронта пламени.

Рис. 4.23 Поле течения фаз вблизи искривленного фронта пламени

В решения (4.42), (4.43) и уравнение искривленной поверхности фронта (4.44) входят четыре неопределенные константы А, В, С, F, кото­рые можно найти из граничных условий: двух условий неразрывности движения фронта пламени относительно свежей смеси и продуктов горе­ния и двух условий сохранения компонент импульса произвольного эле­мента фронта пламени. Ввиду указанного влияния возмущений фронта пламени на нормальную скорость горения (UH = 0), граничные условия на


Глава 4. Развитие горения

фронте пламени следует модифицировать с учетом влияния коротко­волновых возмущений на нормальную скорость распространения пламени



(4.45)


где приращение (штрих) берется по правилу взятия производной.

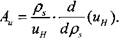
Для использования граничных условий (4.45) необходимо опреде­лить вид зависимости флуктуации и от порождающих их флук­туации параметров свежей смеси Из соотношений

(4.42), (4.43) следует , следовательно,т. е. в

линейном приближении концентрация фаз аэрозоля не изменяется. Из симметрии плоского фронта пламени к отражению в плоскости (х, z) сле­дует, что искомая зависимость не чувствительна к изменению знака аргу­мента , т. е. в линейном приближении отсутствует. Таким образом, флуктуации и пропорциональны

(4.46) (4.47)

где А„ - коэффициент, определяемый конкретными особенностями меха­низма распространения пламени по аэрозолю.

Выражение для коэффициента пропорциональности в (4.47) полу­чено в предположении о сходстве теплофизических свойств воздуха и продуктов горения, причем принимали, что плотность последних обратно пропорциональна температуре горения, линейно зависит от отно­сительного содержания горючего в потоке свежей смеси во фронт пла­мени. Отметим, что соотношения (4.46) и (4.47) отражают основные про­явления фазодинамического эффекта при возмущении плоского стацио­нарного фронта пламени - соответственно изменение нормальной скоро­сти горения и изменение плотности продуктов горения (температуры го-



Корольченко А.Я. Процессы горения и взрыва ______________________

рения). Из (4.47) с учетом (4.42), (4.43) следует, что периодическое воз­мущение фронта пламени приводит к уменьшению плотности (увеличе­нию температуры) продуктов горения для выпуклых (по отношению к продуктам реакции) участков фронта пламени и увеличение плотности (уменьшение температуры) продуктов горения для вогнутых участков.

Подставляя решения (4.42) и (4.43) в условия (4.45) с учетом (4.46),

(4.47) и соотношений , вытекающих из постановки задачи

', получим систему из четырех однородных алгебраических урав­нений относительно неопределенных коэффициентов А, В, С, F. Для того, чтобы существовало нетривиальное решение этой системы, необходимо приравнять нулю ее определитель. Это приведет к следующему уравне­нию для определения инкремента возмущений:

(4.48)

где введены безразмерные величины

и

Уравнение (4.48) отличается от уравнения для инкрементов возму­щений фронта пламени в гомогенных системах. Это связано с про­явлением фазодинамического эффекта в аэродисперсных системах, т. е. отличием от нуля правых частей соотношений (4.46) и (4.47). Если в пре­дельном переходе , что в соответствии с (4.43) означа­ет , оставить в уравнении (4.48) главные по порядку слагаемые, то с точностью до обозначений получим характеристическое уравнение:

(4.49)

Условие при котором обращается в нуль правая часть (4.46)

и исчезает влияние возмущения фронта пламени на нормальную скорость горения, недостаточно для предельного перехода уравнения (4.48) в урав­нение (4.49). Это связано с дестабилизирующим воздействием на движе­ние пламени в аэрозолях флуктуации коэффициента расширения продук­тов горения, возникающих при искривлении фронта пламени.



 


Из уравнения (4.48) следует, что необходимым условием развития возмущений фронта пламени в аэрозоле является различие плотностей продуктов горения и свежей смеси > 1.

Необходимо отметить, что представление фронта пламени в виде поверхности газодинамического разрыва накладывает ограничение на ве­личину инкрементов возмущений. Действительно, флуктуации нор­мальной скорости должны приводить к флуктуациям толщины фронта пламени, определяемой выражением В рассматриваемом прибли-

жении скорость изменения толщины фронта пламени должна быть на­много меньше скорости роста амплитуды возмущений



 


 


откуда с учетом (4.43-4.46) получим оценку


(4.50)


 





 


Корольченко А.Я, Процессы горения и взрыва

Для достаточно крупных частиц тетралина (ds >10-4 м) система ус­ловий (4.40) и (4.50) сводится к (4.51)

Семейство действительных решений (4.48), отвечающих различным значениям Аи, и решение (4.49) для = 5 приведены на рис. 4.24 [нисхо­дящая ветвь действительной составляющей комплексно-сопряженных корней (4.48), берущая начало в точке обращения в нуль производной

, на рисунке не показана]. Пунктиром обозначены ветви реше-

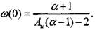
ний(4.48), анализ которых некорректен в силу приближения (4.51): вы­полнение необходимых неравенств наблюдается при различии сравни­ваемых величин не менее чем в 5 раз. При тепловом механизме рас­пространения нижепредельного пламени наиболее вероятными, по-ви­димому, являются положительные значения коэффициента Аu которым отвечает увеличение (уменьшение) нормальной скорости горения для вы­пуклых (вогнутых) участков фронта пламени, коррелирующее с флуктуа-циями температуры горения. Вместе с тем возможны отрицательные зна­чения параметра. При жесткой координатной связи передней границы пламени с решеткой частиц движение (дрейф) последних увлекает за со­бой пламя и в соответствии с (4.46) коэффициент Аu=-\. Из графиков (см. рис. 4.22) видно, что при Аи > 0 фазодинамический эффект дестабилизи­рует горение аэродисперсной системы по отношению к соответствующей гомогенной (кривая б), при Аи < 0 - стабилизирует. Существенная деста­билизация фронта пламени наступает в случае когда появля­ется многозначная зависимость инкрементов возмущения от волнового числа (кривые 1-3) и берущая начало при =0, = 0 «гидродинамиче­ская» ветвь решений (4.48) переходит в «фазодинамическую» ветвь, кото­рая при достаточно высоком значении А„ имеет конечный положительный

инкремент плоского ( = 0) фронта пламени В ча-

стности, (0) = 0,07 при Аи = 29, =5.

Отметим, что характер зависимостей 1 -4 (см. рис. 4.24) не является основанием для установления границы устойчивых искривлений фронта пламени. Исследование быстроразвивающихся возмущений в нарушение условия (4.50), как и уточнение величины входящей в критерий

(4.52), возможно в следующих приближениях теории, учитывающих ко­нечную ширину фронта.


Глава 4. Развитие горения

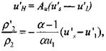
Таким образом, картина потери устойчивости фронтом пламени в аэрозоле существенно зависит от Аu. Оценим этот параметр для аэрозоля тетралина. Величину Аu можно определить экспериментально в опытах по горению аэрозоля в вертикальной трубе, где относительная скорость фаз us-u1 перед распространяющимся снизу вверх фронтом пламени обуслов­лена гравитационным оседанием частиц. Анализируя подобные экспери­менты с монодисперсным аэрозолем тетралина (ds = 10 -5-2 10 -4 м) можно принять, что характеристики нижнепредельного пламени в аэрозоле (кон­центрационный предел распространения, околопредельная скорость) за­висят только от соотношения горючего и окислителя, поступающих в зо­ну горения. Исходя из этой гипотезы, возмущение относительной доли горючего во фронте пламени можно по аналогии с (4.47) записать в виде



(4.52)


Отсюда получаем выражение для флуктуации нормальной скорости распространения пламени

(4.53)

Сравнивая (4.46) и (4.53), получим

Резкое увеличение нормальной скорости пламени в аэрозоле на ве­личину = 0,4 м • с-1 (с 0,1 м • с-1 до 0,5 м • с-1) происходило при отно­сительном изменении пороговой конентрации . Отсюда получа­ем оценку

В соответствии с критерием дестабилизации Аи > 2, следовательно, неустойчивость горения нижнепредельных аэрозолей тетралина возможно связать с фазодинамическим эффектом при рассеянии свежей смеси на искривленных и (или) ускоренно движущихся участках фронта пламени.

Таким образом, гидродинамический анализ горения аэродисперсных систем показал, что относительное движение фаз возникает не только в процессе гравитационного оседания частиц пыли, но и в результате вы-


Корольченко А.Я. Процессы горения и взрыва

нужденного рассеяния фаз аэрозоля при искривлении зоны горения. При этом в последнем случае гидродинамика двухфазной системы сти­мулирует разрушение плоского фронта пламени и, следовательно, пе­реход горения аэрозоля от плосколаминарной формы к турбулентной. Важнейшим выводом из сказанного выше является заключение о не­правомерности переноса представлений о постоянстве «нормальной» ско­рости горения на аэродисперсные системы, поскольку искривление фрон­та пламени меняет соотношение горючего и окислителя, поступающих в зону горения (фазодинамический эффект), а следовательно, меняется тем­пература горения и скорость движения зоны химической реакции по све­жей смеси.

Фазодинамический режим распространения пламени по аэро­дисперсной системе. Конвективная (турбулентная) форма движения пла­мени по аэрозолю является наиболее распространенной.

Специфические особенности конвективного горения аэрозолей вы­ражаются следующей упрощенной схемой: расширяющиеся газообразные продукты горения «просеиваются» сквозь решетку частиц свежей смеси, способствуя их разогреву и воспламенению.

Трудности построения математической модели конвективного горе­ния заключаются в том, что оказывается необходимым объединить две сложные сами по себе задачи. Во-первых, требуется иметь четкие пред­ставления о микроскопическом («эстафетном») механизме процессов во фронте пламени, и, во-вторых, необходимо учитывать относительное дви­жение (в том числе - случайное вследствие турбулентных флуктуации) фаз аэрозоля, как мощный фактор воздействия на развитие процесса горе­ния аэродисперсной системы. В настоящее время отсутствуют достаточно глубокие исследования каждой из составляющих проблем комплексной задачи конвективного горения, поэтому преждевременно формулировать постановку этой задачи в общем виде. Тем не менее, на основании извест­ных фактов можно в упрощенной постановке решить некоторые задачи конвективного горения, позволяющие сделать по крайней мере качест­венные выводы о характеристиках пожарной опасности органических аэ­розолей.

Ниже, в качестве примера, приводится приближенное решение за­дачи о распространении «языка» пламени по аэрозолю. Кинограммы рас­пространения пламени по аэрозолям органических веществ (при высокой степени однородности распространения горючего и квазиламинарном те-


Глава 4. Развитие горения

чении фаз) свидетельствуют о повышенной неустойчивости фронта пла­мени. Это проявляется в значительном увеличении поверхности горения, языкообразном искривлении ведущей части фронта пламени и само­ускорении пламени, особенно вблизи нижнего концентрационного пре­дела распространения (НКПР).

Качественное исследование движения фаз перед искривленным фронтом пламени показывает, что вблизи ведущих точек пламени относи­тельная концентрация горючего во фронте пламени оказывается выше, чем в свежей смеси. Следовательно, «язык» пламени, именуемый в даль­нейшем лидером, способен распространяться по аэрозолю с концентраци­ей горючего ниже НКПР плоского фронта пламени.

В излагаемой далее модели процесса горения под лидером понима­ется разогретая продуктами сгорания осесимметричная полубесконечная выпуклая область аэродисперсного облака, осесимметрично обтекаемая при движении холодным потоком свежей смеси (схема лидера показана на рис. 4.25). Устойчивость данной геометрической формы тела лидера не рассматривается. Задача о скорости распространения пламени по аэрозо­лю в фазодинамическом режиме горения сводится к вычислению стацио­нарной скорости движения лидера по свежей смеси. Поставленная задача решается совместным интегрированием уравнений движения фаз аэрозоля по обе стороны от оболочки лидера - границы между свежей смесью и продуктами сгорания. Принимая физические предпосылки модели-, изло­женной в предыдущем разделе, стационарные уравнения движения среды запишем в следующем виде:

(4.54) (4.55)

На бесконечно большом удалении от начала координат параметры системы имеют вид

(4.56)

Система граничных условий на оболочке лидера имеет вид для об­ласти, являющейся фронтом пламени -

(4.57)


Корольченко А.Я. Процессы горения и взрыва

вне этой области где — компоненты скоро-

сти фазы на оболочке лидера, соответственно перпендикулярная (единич­ная нормаль , направленная внутрь лидера) и параллельная по­верхности; ил - стационарная скорость движения лидера.







Date: 2015-09-18; view: 627; Нарушение авторских прав



mydocx.ru - 2015-2026 year. (0.804 sec.) Все материалы представленные на сайте исключительно с целью ознакомления читателями и не преследуют коммерческих целей или нарушение авторских прав - Пожаловаться на публикацию