Главная Случайная страница


Полезное:

Как сделать разговор полезным и приятным Как сделать объемную звезду своими руками Как сделать то, что делать не хочется? Как сделать погремушку Как сделать так чтобы женщины сами знакомились с вами Как сделать идею коммерческой Как сделать хорошую растяжку ног? Как сделать наш разум здоровым? Как сделать, чтобы люди обманывали меньше Вопрос 4. Как сделать так, чтобы вас уважали и ценили? Как сделать лучше себе и другим людям Как сделать свидание интересным?


Категории:

АрхитектураАстрономияБиологияГеографияГеологияИнформатикаИскусствоИсторияКулинарияКультураМаркетингМатематикаМедицинаМенеджментОхрана трудаПравоПроизводствоПсихологияРелигияСоциологияСпортТехникаФизикаФилософияХимияЭкологияЭкономикаЭлектроника






Развитие горения 2 page





 

Смеси Р расч, атм Tрасч, К- U0 изм, М/С Uо расч,/С
2+02 18,14      
зн22 17,99      
2+02 17,44      
Н2+02 16,98      
Н2+202 14,47      
н2+зо2 12,18      
2+02+5 Аr 13,50      
2+02+3 Аr 15,10      
2+02+1,5 Аr 16,32      
2+02+5 Не 13,59      
2-O2+3 Не 15,11      
2+02+1,5Не 16,32   ЗОЮ  

Глава 4. Развитие горения




 


 


Рис. 4.7. Зависимость скорости

детонации от содержания

водорода вкислородоводородной

смеси,

* - экспериментальные

значения


Рис. 4.8. Зависимость скорости

детонации от содержания аргона

в стехиаметрической смеси

водород-кислород-аргон:

* - экспериментально

измеренные значения


 




 


 


Рис. 4.9. Зависимость температуры

в точке ЧЖот содержания водорода

в кислородоводородной смеси


Рис. 4.10. Зависимость давления

в точке ЧЖ от содержания водорода

в кислородоводородиой смеси



Корольченко А.Я. Процессы горения и взрыва

Графики зависимости температуры и давления в точке ЧЖ от со­держания водорода в кислородоводородной смеси {рис. 4.9 и 4.10) име­ют максимум при 67% Н2 (гремучая смесь). Эта точка отвечает мак­симальному молярному энерговыделению. Зависимость температуры от давления {рис.4.11) почти линейна, что, согласно уравнению состояния (4.21), говорит о постоянстве молярного объема в точке ЧЖ для рас­смотренных концентраций водорода в смесях при одинаковых началь­ных условиях.

Параметр , равный отношению теплоемкостей существенно меня­ется при изменении состава исходной смеси. На рис. 4.12 изображен гра­фик зависимости от процентного содержания водорода в исходной сме­си с кислородом. Резкое уменьшение значения в диапазоне начальных концентраций от 6 до 38 процентов объясняется существенным увеличе­нием в сгоревшей смеси содержания паров воды, но при дальнейшем уве­личении доли водорода в исходной смеси, из-за возрастания температуры продуктов сгорания, начинает сказываться диссоциация, молекул и, в ре­зультате этого, увеличивается содержание атомарного кислорода и водо­рода. Это приводит к тому, что сгоревшей смеси перестает уменьшать­ся, и график, изображающий зависимость от содержания водорода в исходной смеси {рис. 4.12), имеет небольшой максимум. Зависимость




 


 


Рис.4.11. График,

демонстрирующий связь между

температурой

и давлением в точке ЧЖ


Рис. 4.12. Зависимость показателя

адиабаты в точке

ЧЖ от содержания водорода

в киспородояодородной смеси



Глава 4. Развитие горения

мольных долей молекул разного вида (отличающихся числом степеней свободы) от содержания водорода в исходной смеси изображена на рис. 4.13.




 


 


Рис. 4.13. Зависимость концентрации

молекул разного вида от содержания

водорода в исходной

кислородоводородно й смеси:

1 - одноатомные молекулы;

2 - двухатомные молекулы;

3 - трехатомные молекулы


Рис. 4.14. Зависимость скорости газа

в системе отсчета, связанной с волной

от содержания аргона

в стехиометрической смеси

водород-кислород-аргон:

1 - скорость газа на фронте;

2 - скорость газа в точке ЧЖ


На рис. 4.14 представлены графики, изображающие зависимость скорости детонации и скорости звука в точке ЧЖ для смеси, состоящей из двух молей водорода, одного моля кислорода и инертного разбавителя (аргона). Видно, что вначале как скорость детонации, так и скорость звука в точке ЧЖ быстро убывают, затем зависимость становится более плав­ной, а затем, в области концентрации Н270-95 % опять резко убывает. Ес­ли в области концентраций аргона до 70 % уменьшение скоростей дето­нации и звука в точке ЧЖ объясняется уменьшением удельного энерговы­деления за счет замещения части горючего и окислителя инертным арго­ном, то после прохождения этой отметки резкое падение скоростей дето­нации и звука, а также температуры (рис. 4.15) и давления (рис. 4.16) в точке Чепмена-Жуге происходит за счет неполного сгорания.


Корольченко А.Я. Процессы горения и взрыва




 


 


Рис. 4.15. Зависимость температуры

в точкеЧЖ от содержания аргона

в стехштетрической смеси

водород-кислород-аргон


Рис. 4.16. зависимость давления


в точке ЧЖ от содержания аргона

в стехшметрической смеси

водород—кислород—аргон


 




 


 


Рис. 4.17. Зависимость скорости

детонации стехиолтпрической

смеси водород-киашрод-аргон

от начального давления:

1-0% аргона; 2-14% аргона;

3 -25 % аргона


Рис. 4.18. Зависимость скорости в

точке ЧЖ стехштетрической

смеси водород-кислород-аргон

от начального давления:

1-0% аргона;2-14% аргона;

3-25 % аргона



Глава 4. Развитие горения

На рис. 4.17-4.20 представлены графики, показывающие зависи­мость основных химических и термодинамических параметров детонаци­онной волны в газовой смеси, состоящей из одного моля кислорода и двух молей водорода с добавкой аргона, от начального давления в диапазоне 0,05-0,25 МПа. По графикам (рис. 4.17-4.18) видно, что с ростом дав­ления, скорость детонации и скорость звука в точке ЧЖ растут, причем скорость детонации растет примерно в два раза быстрее, чем скорость звука. Как следует из уравнения (4.23.), увеличение разности скорости де­тонации и скорости газа в точке Чепмена-Жуге говорит об увеличении удельного энерговыделения в детонирующей смеси. Это подтверждают рис. 4.19 и 4.20, на которых изображены зависимости мольных долей раз­личных соединений в прореагировавшей газовой смеси. По графикам видно, что с ростом начального давления подавляется диссоциация моле­кул, а выгорание горючего растет. Производная от скоростей по давлению практически не меняется для смесей с разным содержанием аргона, одна­ко и скорость детонации и скорость в точке ЧЖ убывают при возрастании содержания аргона. Давление в точке ЧЖ, с ростом начального давления растет линейно, с коэффициентом роста, уменьшающимся при увеличе­нии содержания аргона.




 


Рис. 4.20. Зависимость концентрации молекул разного вида от начального давления в исходной стехиометри- ческой киаюродоводородной смеси: 1 -Н; 2- О

Рис. 4.19. Зависимость концентрации

молекул разного вида от начального

давления в исходной стехиаметри-

ческой киаюродоводородной смеси: 1 - Н20; 2 - О2; 3 - Н2; 4-OH


Корольченко А.Я. Процессы горения и взрыва ______________________

4.2. Горение парогазовых смесей при повышенных давлениях и температурах

Температура, при которой находятся горючие парогазовоздушные смеси перед зажиганием, существенно влияет на концентрационные пределы рас­пространения пламени. Повышение начальной температуры приводит к рас­ширению области воспламенения. При этом повышение температуры на каж­дые 100 °С сопровождается снижением нижнего предела примерно на 10 % от первоначальной величины и увеличением верхнего на 12-15 %

Подобные изменения пределов обусловлены следующими причина­ми. Величина адиабатической температуры горения на пределах остается постоянной при изменении начальной температуры горючей смеси. По­этому для ее достижения при предварительном разогреве горючей смеси требуется меньше тепла. Поскольку зависимость тепловых эффектов ре­акций горения различных по химическому строению веществ от темпера­туры близка к линейной, то подобная зависимость оказывается справед­ливой и для концентрационных пределов.

Отклонения от этого правила могут иметь место в случае длитель­ного нагрева «богатых» (т.е. обогащенных горючим компонентом) смесей, поскольку при повышенных температурах возможно протекание медлен­ных по сравнению с горением реакций окисления и расходованием со­держащегося в смеси кислорода.


Известные экспериментальные данные по влиянию повышенного давления на концентрационные пределы свидетельствуют о том, что ве­личина нижнего предела органических соединений с ростом начального давления практически не изменяется.

Значения верхних пределов при этом заметно повышаются, что при­водит к расширению области воспламенения. Например, изменение верхне­го концентрационного предела распространения пламени метана в зависи­мости от начального давления характеризуется следующими данными:

 

Р, МПа ВКПР, % об.
0,1 14,8
1,0 20,0
2,1 24,0

Глава 4. Развитие горения

Следует отметить, что с ростом давления для зажигания горючей смеси требуется все большая энергия. Возникшие пламя сопровождается обильным сажевыделением и образованием сверхравновесного количест­ва воды.

Для некоторых органических веществ при увеличении начального давления до 1 Мпа верхние пределы увеличиваются примерно вдвое, что объясняется изменением механизма химических превращений в пламени.

4.3. Взрывы пылей

Пыли являются разновидностью аэрозолей - дисперсных систем, состоящих из мелких частиц, взвешенных в воздухе. К пылям принято относить системы с размерами твердых частиц от 10 до 250 мкм. Осо­бенностью пылей является их способность к оседанию под действием сил тяжести.

В общем случае свойства пылей определяются природой вещества, из которого состоят частицы, свойствами газовой среды, концентрацией частиц, их размерами и формой.

Взрывоопасными являются пыли различной природы: пыли метал­лов (пыль алюминия - одна из самых взрывоопасных пылей), угольные пыли, пыли пластмасс, лекарственных препаратов и др.

Механизмы горения пылей различной природы существенно разли­чаются. В настоящем разделе мы ограничимся рассмотрением горения пылей во взвешенном состоянии, частицы которых образованы органиче­скими веществами. Их отличительной особенностью применительно к рассматриваемому процессу является низкая (по сравнению с температу­рой пламени) температура кипения или разложения.

К числу основных особенностей двухфазных систем, определяющих специфику их горения, относятся:

• неоднородность взвеси из-за дискретного распределения в про­странстве твердых частиц;

• неизотропность взвеси из-за возможности относительного дви­жения твердой и газовой фаз;

• турбулентность и нестационарность пылевоздушной смеси, как следствие условий образования и оседания.

Несмотря на существенное различие физических явлений, имеющих место при горении гомогенных и аэродисперсных систем, между этими


Корольченко А.Я. Процессы горения и взрыва ______________________

процессами имеется и много общего, в том числе - внешнее сходство пламен, движущихся по горючей среде.


С учетом особенностей горения пылевоздушных смесей в данном разделе приняты следующие обозначения физических величин, характе­ризующих состояние рассматриваемых в моделях аэродисперсных систем. Символами w, и, р, , обозначены: векторная скорость фазы, ее состав­ляющая по осям X и У, плотность фазы на единицу объема аэровзвеси, давление газовой фазы; и - соответственно температуропроводность и кинематическая вязкость газовой фазы; индексами 1, 2,f, S и отмечены величины, относящиеся соответственно к воздуху, продуктам горения, фронту пламени и конденсированной фазе (частицам). ds, ps - соответст­венно диаметр (предполагается сферическая форма пылинок) и плотность частиц пыли. Под фронтом пламени в аэровзвеси понимается область зна­чительных градиентов физических параметров, характеризующих горя­щую аэродисперсную систему (зону предпламенного разогрева, зону хи­мических превращений и зону релаксации мелкомасштабных - по длине порядка расстояний между частицами - неоднородностей параметров).

Данный список обозначений физических величин дополняется други­ми обозначениями, пояснение которых дается по мере их появления в тексте.

Влияние относительного движения фаз аэровзвеси на распро­странение пламени. Рассмотрим задачу о распространении плоского фронта пламени по аэровзвеси монодисперсных частиц горючего равно­мерно (и независимо друг от друга) оседающих в поле тяжести. Движение фаз горящего аэрозоля предполагается ламинарным. Гравитационным всплыванием разогретых продуктов горения пренебрегается.

Анализ исследований пылевых взрывов показывает, что ведущим механизмом распространения пламени по аэровзвеси является кондукция, то есть необходимым условием является значительный (1000 °С) прогрев газовой фазы в свежей смеси. В практически важных случаях массовая доля горючего в аэровзвеси составляет незначительную величину, поэто­му будем предполагать, что энергоемкость аэровзвеси в процессе прогре­ва определяется в основном газовой фазой. Отсюда следует, что относи­тельное движение фаз аэровзвеси должно существенно влиять на процесс горения, поскольку поставщиком энергии в зону горения является кон­денсированная фаза, а основным потребителем этой энергии (и, следова­тельно, инициатором химической реакции) - воздух.


Глава 4. Развитие горения

Для количественного описания эффекта примем следующую простую модель фронта пламени, отражающую основные черты кон-дуктивного механизма теплопередачи. Полагаем, что под действием теплового потока из высокотемпературной зоны горящего пылевого облака частицы, приближающиеся к этой зоне, успевают испариться (или разложиться до газообразного состояния) до воспламенения. Фронт пламени (бесконечный, плоский) в принятом случае распро­страняется по газообразной смеси паров горючего с воздухом. Реак­ция между горючим и окислителем протекает в кинетической области, подчиняясь закономерностям тепловой теории. Зависимость нормаль­ной скорости пламени от концентрации паров горючего счита­ется известной:

(4.26)

Несмотря на простоту, сформулированная модель отражает основ­ные черты кондуктивного механизма горения и при соответствующем вы­боре параметров позволяет описывать реально протекающие при горении органических аэрозолей процессы.

Для определения зависимости скорости распространения пламе­ни от концентрации горючего в аэрозоле выберем систему координат, жестко связанную с воздухом свежей аэровзвеси. Ось X совпадает по направлению с нормалью к поверхности земли. Исключив из рассмот­рения эффекты коллективного взаимодействия оседающих в гравита­ционном поле земли частиц, примем, что в выбранной системе коор­динат частицы оседают со скоростью us сохраняя равномерность рас­пределения в пространстве. Для скоростей движения частиц, не пре­вышающих 50 см/сек, величина us может быть определена по закону Стокса:

(4.27)

где g = 9,8 м/сек - ускорение свободного падения в поле тяжести земли.

Определим массовую концентрацию паров горючего перед

фронтом пламени, плоскость которого параллельна координатной плоско­сти (у, z), а скорость движения относительно воздуха составляет из ба­ланса горючего во фронте пламени следует


Корольченко А.Я. Процессы горения и взрыва

(4.28)

Здесь и далее верхний знак соответствует движению фронта пла­мени вверх, а нижний - вниз. Физический смысл различия в концентра­ции горючего при распространении пламени вверх и вниз заключается в следующем. Для пламени, распространяющегося вверх, частицы горю­чего перемещаются навстречу фронту, эффективно увеличивая концен­трацию горючего в зоне подготовки к горению. При распространении пламени вниз частицы удаляются от зоны горения, и фронту пламени приходится их догонять, что снижает концентрацию паров горючего в предпламенной зоне.

В рассматриваемой модели величина скорости ин по абсолютному значению превышает иf на величину скорости встречного потока паровоз­душной смеси, определяемой расширением продуктов испарения органи­ческого вещества:

где Т0 - начальная температура аэровзвеси; Тисп - температура зоны испа­рения; M1, Мг - молекулярная масса воздуха и горючего.

При рассмотрении предельных (по концентрации) условий распро­странения пламени содержание горючего в аэровзвеси невелико. Поэтому последнее соотношение можно свести к пропорции

в которой коэффициент пропорциональности

С целью упрощения математического аппарата примем

uf=uH. (4.29)

Решение системы уравнений (4.26-4.29) приводит к получению за­висимости . Эта зависимость графически представлена на рис. 4.21.

Обозначим ГН и гв - соответственно нижний и верхний концен­трационные пределы распространения пламени; ГМ- концентрацию го­рючего, при которой достигается максимальная скорость распространения пламени; uH,макс, иН,мин - пороговые значения скорости распространения


Глава 4. Развитие горения



 


Рис. 4.21. Зависимость скорости распространения пламени

от концентрации горючего в аэровзвеси

1 - пламя движется снизу вверх

2 - пламя движется по покоящемся фазам

3 - пламя движется сверху вниз

пламени на пределах. Для получения искомого результата в виде анали­тической зависимости соотношение для Uh удобно аппроксимировать сте­пенным многочленом:



(4.30)


Ветви кривой 2 на рис. 4.21 по обе стороны от максимума рГ = рГМ аппроксимируются гиперболами. Решение системы уравнений (4.27-4.30)


Корольченко А.Я. Процессы горения и взрыва

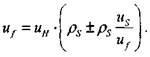
приводит к алгебраическому уравнению третьей степени от uf разреши­мому в квадратурах. Анализ решения этого уравнения показывает, что в общем случае заданной концентрации аэрозоля соответствует несколько гипотетических значений скорости распространения фронта пламени. Для выбора решения, реализующегося в реальных пламенах, необходимо оце­нить устойчивость движения фронта пламени. Уравнение для определе­ния скорости пламени имеет вид:



(4.31)


Динамику установления стационарного значения скорости переме­щения фронта пламени по уравнению (4.17) учтем следующим образом:



(4.32)


где f - характерное время процессов (прогрева, испарения, горения) во фронте пламени.

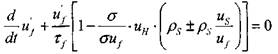
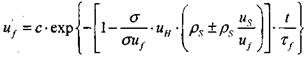
Применив к уравнению (4.32) метод исследования на устойчивость к малым возмущениям скорости uf, предложенный академиком Я. Б. Зель­довичем с сотр., и представив нестационарное решение уравнения (4.32) в виде uf + u'f (где и'f - малая нестационарная добавка) получим уравне­ние, описывающее развитие возмущения и'f во времени:



(4.33)


Общее решение уравнения (4.19) имеет вид:



(4.34)


где С - произвольная постоянная.

Условием устойчивости решения уравнения (4.32) является затуха­ние возмущения uf во времени, то есть выражение в квадратных скобках (4.34) должно быть положительным:


Глава 4. Развитие горения


1 ------- ин

<TUj


Ps±P


ufJ


>0. (4.35)


Несложные преобразования позволяют представить соотношение (4.21) в виде:



(4.36)


Анализ полученного соотношения позволяет заключить, что грани­цей между устойчивой и неустойчивой ветвями решения уравнения (4.32) является такая концентрация частиц, когда

Кривая 1 на рис. 4.21 характеризует изменение скорости распро­странения плоского фронта пламени вверх в зависимости от концентра­ции горючего. Эта кривая соответствует решению уравнения (4.31).Пунктиром показана ветвь этого решения, соответствующая неус­тойчивому движению фронта пламени в аэровзвеси. Как и следовало ожидать величина нижнего концентрационного предела распространения пламени для фронта, распространяющегося вверх, оказывается меньше, чем в газовоздушной смеси. Этот вывод подтверждается экспериментом: нижний концентрационный предел распространения пламени для веществ в состоянии аэрозоля примерно вдвое ниже, чем предел для тех же ве­ществ в газообразном состоянии.

Из уравнения (4.32) следует:

(4.37)

где - нижний концентрационный предел распространения пламени

для случая, когда пламя распространяется вверх по аэровзвеси.

На рис. 4.22 на примере аэрозоля тетралина сопоставлены результа­ты расчета по уравнению (4.37) с экспериментальными данными. Для тет­ралина:


Корольченко А.Я. Процессы горения и взрыва

= 0,89 • 103 кг/м3, uH м"» = 5 • 10-2 м/сек, uH макс = 0,5 м/сек.



Проанализируем ситуацию, когда пламя распространяется по азровзве-си сверху вниз. Анализ устойчивости решения соотношения (4.37) приводит к выделению трех областей качественно различного поведения пламени:

Рис. 4.22. Экспериментальная и расчетная зависимости НКП (в относительных единицах) от концентрации тетралина в воздухе

1 - движение пламени снизу вверх

2 - движение пламени сверху вниз

Распространение пламени при скоростях оседания частиц, приходя­щихся на область I, незначительно отличается от случая парофазного го­рения. График скорости распространения пламени незначительно сдвинут относительно опорного (кривая 2 на рис. 4.21), сохраняя все его особен­ности, включая близкие значения нижнего концентрационного предела

ПО


Глава 4. Развитие горения

распространения пламени. Для аэрозолей органических веществ область соответствия ограничена величиной us <<5 • 10-2 м/сек, что с учетом со­отношения (4.27) приводит к ограничению диаметра частиц ds 10 мкм.

Область II характеризуется появлением решения, отвечающего не­устойчивому движению фронта пламени (кривая 3 на рис. 4.21, неустой­чивая ветвь обозначена пунктиром). При этом нижний концентрационный предел распространения пламени и предельная скорость распространения пламени резко возрастают с увеличением диаметра частиц (соответствен­но с увеличением скорости оседания).







Date: 2015-09-18; view: 607; Нарушение авторских прав



mydocx.ru - 2015-2026 year. (0.687 sec.) Все материалы представленные на сайте исключительно с целью ознакомления читателями и не преследуют коммерческих целей или нарушение авторских прав - Пожаловаться на публикацию