Главная Случайная страница


Полезное:

Как сделать разговор полезным и приятным Как сделать объемную звезду своими руками Как сделать то, что делать не хочется? Как сделать погремушку Как сделать так чтобы женщины сами знакомились с вами Как сделать идею коммерческой Как сделать хорошую растяжку ног? Как сделать наш разум здоровым? Как сделать, чтобы люди обманывали меньше Вопрос 4. Как сделать так, чтобы вас уважали и ценили? Как сделать лучше себе и другим людям Как сделать свидание интересным?


Категории:

АрхитектураАстрономияБиологияГеографияГеологияИнформатикаИскусствоИсторияКулинарияКультураМаркетингМатематикаМедицинаМенеджментОхрана трудаПравоПроизводствоПсихологияРелигияСоциологияСпортТехникаФизикаФилософияХимияЭкологияЭкономикаЭлектроника






Оборудование абонентских вводов





 

Расчет водоструйных насосов-элеваторов.

Для поддержания в местной системе расчетной температуры горячей воды путем подмешивания к сетевой воде, с температурой обратной воды, с температурой на абонентских вводах при непосредственном подключении к тепловым сетям устанавливаются струйные насосы элеваторы.

Для расчета и подбора элеватора у абонента 1, кроме указанных значений , и , необходимо знать следующие величины:

расход тепла в местной системе отопления, 382872 Вт;

потери давления в местной системе, 0.012 МПа;

давления в подающей и обратной линиях тепловой сети, м. вод. ст. на вводе, 0,244 МПа.

Расчет элеватора:

1. определение коэффициента подмешивания:

(58)

где: количество подмешиваемой воды;

количество сетевой воды.

Расчетный коэффициент принимается с запасом в 15%

; (59)

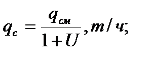
2. определяем количество смешанной воды, которое должно циркулировать в системе:

(60)

3. определяем количество сетевой воды, поступающей в местную систему:

(61)

4. определяем располагаемый напор в тепловой сети на вводе у элеватора:

(62)

5. определяем избыточное давление на вводе

(63)

6. определяем оптимальный диаметр горловины элеватора:

(64)

принимаем диаметр горловины

7. определяем диаметр сопла элеватора:

(65)

8. определим минимальную разность давлений на вводе для обеспечения работы элеватора:

(66)

Так как величина меньше располагаемого напора , избыточное давление может быть поглощено дроссельной шайбой или самим элеватором, при этом диаметр сопла элеватора должен быть равен:

(67)

Принимаем к установке гидроэлеватор второго номера:

-размеры элеватора:L=425мм,A=90мм,C=110мм,dгор=20;

-Фланцы: входной D=145мм,выходной,подсосный D2,D3=160мм;

-Внутренний диаметр присоединительных патрубков: входного d1=37мм, выходного, подсоса d2, d3=51мм;

-Длина сопла l=100мм,сменная часть — 45мм.

-Масса элеватора 10кг.


 







Date: 2015-09-18; view: 690; Нарушение авторских прав



mydocx.ru - 2015-2026 year. (0.836 sec.) Все материалы представленные на сайте исключительно с целью ознакомления читателями и не преследуют коммерческих целей или нарушение авторских прав - Пожаловаться на публикацию