Главная Случайная страница


Полезное:

Как сделать разговор полезным и приятным Как сделать объемную звезду своими руками Как сделать то, что делать не хочется? Как сделать погремушку Как сделать так чтобы женщины сами знакомились с вами Как сделать идею коммерческой Как сделать хорошую растяжку ног? Как сделать наш разум здоровым? Как сделать, чтобы люди обманывали меньше Вопрос 4. Как сделать так, чтобы вас уважали и ценили? Как сделать лучше себе и другим людям Как сделать свидание интересным?


Категории:

АрхитектураАстрономияБиологияГеографияГеологияИнформатикаИскусствоИсторияКулинарияКультураМаркетингМатематикаМедицинаМенеджментОхрана трудаПравоПроизводствоПсихологияРелигияСоциологияСпортТехникаФизикаФилософияХимияЭкологияЭкономикаЭлектроника






Регулирование отпуска теплоты





 

Регулирование отпуска теплоты на разнородное теплопотребление может быть по отопительной тепловой нагрузке или по суммарной нагрузке отопления и горячего водоснабжения. Регулирование отпуска теплоты по отопительно-бытовому графику температур производится при центрально-вентиляционной нагрузки в основном диапазоне от точки излома температурного графика , которая делит его на две части от до расчётной температуры для проектирования отопления и при местном регулировании от начала отопительного сезона при +8°С до .

Построение графика центрального качественного регулирования отпуска теплоты по отопительной нагрузке основано на определении зависимости температуры сетевой воды в подающей и обратной магистралях от температуры наружного воздуха t.

Регулирование отпуска теплоты на отопление

Центральное качественное регулирование отопительной нагрузки в диапазонах от до ведётся по температуре горячей воды и обратной воды в тепловой сети:

(15)

(16)

 

где

Dt0 – температурный перепад в нагревательном приборе местной системы

(17)

- средняя температура нагревательного прибора в местной системы

(18)

- относительная тепловая нагрузка

(19)

- температура внутри помещения,°С;

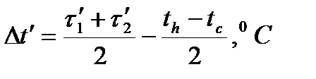
- перепад температур в тепловой сети, 0С;

(20)

- перепад температур в местной системе;

(21)

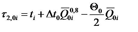
Температура воды после элеватора будет:

 

(22)

 

Местное количественное регулирование отопительной нагрузки в диапазоне от +8°С до t' производится путём местных пропусков или изменением количества воды, поступающей в местную систему из тепловой сети путём перекрытия задвижек. В этом диапазоне t1 и t2 являются постоянными и соответствуют температуре горячей и обратной воды в тепловой сети для летнего периода.

Температура обратной воды при количественном регулировании нагрузки в диапазоне +8°С до t' определяются по формуле:

(23)

 

где

- коэффициент инжекции при температуре в точке излома:

(24)

 

Регулирование отпуска теплоты на вентиляцию

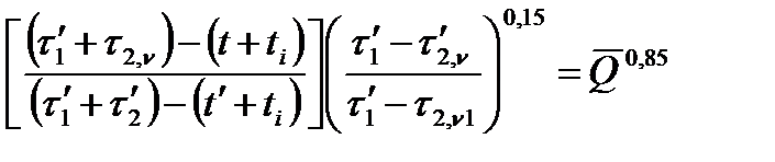
Местное количественное регулирование вентиляционной нагрузки в диапазоне +8°С до t' ведётся изменением количества сетевой воды при постоянном расходе через калорифер. В этом случае температура воды после калорифера для различных значений в указанном диапазоне определяется методом подбора по уравнению


(25)

 


где при t'

 

Регулирование отпуска теплоты на горячее водоснабжение

Так как по тепловым сетям одновременно подаётся теплота на отопление, приточную вентиляцию и горячее водоснабжение, для удовлетворения тепловой нагрузки горячего водоснабжения необходимо внести коррективы в отопительный график. Температура нагреваемой воды на выходе из водонагревателя горячего водоснабжения должна быть 60…65°С. Поэтому минимальная температура сетевой воды в подающей магистрали принимается равной 70°С. Для этого отопительный график срезается на уровне 70°С.

Местное количественное регулирование нагрузки на горячее водоснабжение в диапазоне t' до t0 ведётся авторегулятором путём изменения количества сетевой воды, поступающей в водоподогреватель в зависимости от температуры обратной воды после водоподогревателя. В этом случае температура воды после водоподогревателя для различных значений t в указанном диапазоне определяется методом подбора.

(26)

где

- средняя разность температур греющей и нагревающей среды:

(27)

 







Date: 2015-09-18; view: 761; Нарушение авторских прав



mydocx.ru - 2015-2026 year. (0.799 sec.) Все материалы представленные на сайте исключительно с целью ознакомления читателями и не преследуют коммерческих целей или нарушение авторских прав - Пожаловаться на публикацию