Главная Случайная страница


Полезное:

Как сделать разговор полезным и приятным Как сделать объемную звезду своими руками Как сделать то, что делать не хочется? Как сделать погремушку Как сделать так чтобы женщины сами знакомились с вами Как сделать идею коммерческой Как сделать хорошую растяжку ног? Как сделать наш разум здоровым? Как сделать, чтобы люди обманывали меньше Вопрос 4. Как сделать так, чтобы вас уважали и ценили? Как сделать лучше себе и другим людям Как сделать свидание интересным?


Категории:

АрхитектураАстрономияБиологияГеографияГеологияИнформатикаИскусствоИсторияКулинарияКультураМаркетингМатематикаМедицинаМенеджментОхрана трудаПравоПроизводствоПсихологияРелигияСоциологияСпортТехникаФизикаФилософияХимияЭкологияЭкономикаЭлектроника






Расчет компенсации температурных удлинений трубопроводов





 

В тепловых сетях широко применяются сальниковые, П - образные и сильфонные (волнистые) компенсаторы. Компенсаторы должны иметь достаточную компенсирующую способность Δlк для восприятия температурного удлинения участка трубопровода между неподвижными опорами, при этом максимальные напряжения в радиальных компенсаторах не должны превышать допускаемых (обычно 110 МПа).

Тепловое удлинение расчетного участка трубопровода, Δl мм, определяют по формуле:

(39)

где

α - средний коэффициент линейного расширения стали, мм/мᵒС (для типовых расчетов можно принятьα=1,2·10-2 мм/мᵒС),

Δt - расчетный перепад температур, определяемый по формуле

(40)

τ1 - расчетная температура теплоносителя, оС

tнро - расчетная температура наружного воздуха для проектирования отопления, оС;

L - расстояние между неподвижными опорами, м.

Компенсирующую способность сальниковых компенсаторов уменьшают на величину запаса - 50 мм.

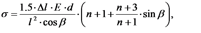
При расчете самокомпенсации основной задачей является определение максимального напряжения s у основания короткого плеча угла поворота трассы, которое определяют для углов поворотов 90о по формуле:

(41)

для углов более 90о, т.е. 90+b, по формуле

(42)

где

Dl - удлинение короткого плеча, м;

l - длина короткого плеча, м;

Е - модуль продольной упругости, равный в среднем для стали 2· 105 МПа;

d - наружный диаметр трубы, м;

n- отношение длины длинного плеча к длине короткого:

(43)

При расчетах углов на самокомпенсацию величина максимального напряжения s не должна превышать [s] = 80 МПа.

При расстановке неподвижных опор на углах поворотов, используемых для самокомпенсации, необходимо учитывать, что сумма длин плеч угла между опорами не должна быть более 60% от предельного расстояния для прямолинейных участков. Следует учитывать также, что максимальный угол поворота, используемый для самокомпенсации, не должен превышать 130о.

Расчет компенсаторов.

Расчет компенсаторов сведен в таблицу 8.

Таблица 8

Участок мм расстояние между неподвижными опорами L, м Длина по плану l, м Δl, м удлинение Δ l р с учетом предварительной растяжки Компенсаторная ниша
Магистраль
  Аб3-УТ9 108x4     0,62172 0,31086 НК 90×45
  УТ9-УТ8 133x4     0,7536 0,3768 НК 90×45
  УТ8-УТ7 159x4,5     0,52752 0,26376 НК 120×45
  УТ7-УТ6 159x4,5     0,67824 0,33912 НК 120×45
  УТ6-УТ5 159x4,5     0,62172 0,31086 НК 120×45
  УТ5-УТ4 194x5     0,64056 0,32028 НК 120×45
  УТ4-УТ3 194x5     0,82896 0,41448 НК 120×45
  УТ3-УТ2 194x5     0,73476 0,36738 НК 120×45
  УТ2-УТ1 219x6     0,7536 0,3768 НК 120×60
  УТ1-К 219x6     0,77244 0,38622 НК 120×60
Ответвления
  Аб4-УТ9 76x3,5     0,7536 0,3768 НК 60×45
  Аб5-УТ8 45x2,5     0,48984 0,24492 НК 60×45
  Аб6-УТ7 45x2,5     0,58404 0,29202 НК 60×45
  Аб7-УТ6 32x2,5     0,7536 0,3768 НК 60×45
  Аб8-УТ5 57x3,5     0,7536 0,3768 НК 60×45
  Аб9-УТ5 108x4     0,942 0,471 НК 90×45
  Аб12-УТ4 45x2,5     0,86664 0,43332 НК 60×45
  Аб10-УТ3 108x4     0,942 0,471 НК 90×45
  Аб11-УТ2 108x4     0,942 0,471 НК 90×45
  Аб2-УТ1 89x3,5     0,5652 0,2826 НК 90×45






Date: 2015-09-18; view: 2132; Нарушение авторских прав



mydocx.ru - 2015-2026 year. (0.822 sec.) Все материалы представленные на сайте исключительно с целью ознакомления читателями и не преследуют коммерческих целей или нарушение авторских прав - Пожаловаться на публикацию