Главная Случайная страница


Полезное:

Как сделать разговор полезным и приятным Как сделать объемную звезду своими руками Как сделать то, что делать не хочется? Как сделать погремушку Как сделать так чтобы женщины сами знакомились с вами Как сделать идею коммерческой Как сделать хорошую растяжку ног? Как сделать наш разум здоровым? Как сделать, чтобы люди обманывали меньше Вопрос 4. Как сделать так, чтобы вас уважали и ценили? Как сделать лучше себе и другим людям Как сделать свидание интересным?


Категории:

АрхитектураАстрономияБиологияГеографияГеологияИнформатикаИскусствоИсторияКулинарияКультураМаркетингМатематикаМедицинаМенеджментОхрана трудаПравоПроизводствоПсихологияРелигияСоциологияСпортТехникаФизикаФилософияХимияЭкологияЭкономикаЭлектроника






Тепловой расчет трубопроводов





 

Назначением теплового расчёта является определение количество тепла, теряемого при его транспортировке, способов уменьшения этих потерь, действительной температуры теплоносителя, вида изоляции и расчёта её толщины.

Задачи теплового расчёта:

1. определение количества теплоты, теряемого при транспортировке;

2. поиск способов уменьшения этих потерь;

3. определение действительной температуры теплоносителя;

4. определение вида и толщины изоляции.

 

Определение теплового сопротивления трубопроводов

В теплоотдаче участвуют только термические сопротивления слоя и поверхности.

(44)

где

— температура вещества, °С;

te - температура окружающей среды, принимаемая согласно п. 3.6, °С

q — нормированная поверхностная плотность теплового потока, принимаемая по обязательным приложениям, Вт/м2;

k1 — коэффициент, принимаемый по нормированной линейной плотности теплового потока, для азиатской части равный 1

Для цилиндрических объектов диаметром менее 2 метров толщина теплоизоляционного слоя определяется:

(45)

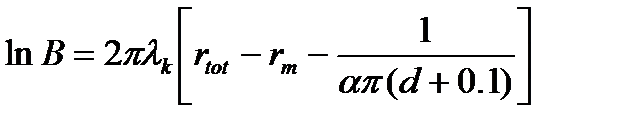
где

В=dиз/dн – отношение наружного диаметра изоляционного слоя к наружному диаметру, рассчитываемый по формуле:

(46)

α – коэффициент от наружной поверхности изоляции, Вт/(м3 °С);

λк – теплопроводность теплоизоляционного слоя, Вт/(м °С);

rtot – сопротивление теплопередаче на 1 м длины изоляционного слоя:

(47)

l – расчетная длина участка трубопровода, м

Тепловое сопротивление теплопровода, не соприкасающегося с грунтом (канальная прокладка) определяется как сумма последовательных слоев:

(48)

Тепловое сопротивление наружной поверхности изоляции Rп.из:

(49)

Тепловое сопротивление изоляции

(50)

где

λиз коэффициент теплопроводности изоляции, Вт/(м °С);

d1 – внутренний диаметр теплопровода, м;

d2 – наружный диаметр теплопровода, м

Тепловое сопротивление грунта определяется по формуле:

(51)

где

λгр - коэффициент теплопроводности грунта, Вт/(м °С);

d – диаметр теплопровода цилиндрической формы с учетом всех слоев изоляции, м;

h – глубина заложения оси теплопровода,м

Тепловое сопротивление канала:

(52)

где

наружный эквивалентный диаметр канала

внутренний эквивалентный диаметр канала

А, Б,В,Д – размеры канала, выбранного по диаметру трубопровода

 

Тепловое сопротивление наружной поверхности канала:

(53)

 

Определение тепловых потерь.

Тепловые потери в сети слагаются из линейных и местных потерь. Линейными теплопотерями являются теплопотери трубопроводов, не имеющих арматуры и фасонных частей. Местными теплопотерями являются фасонных частей, арматуры, опорных конструкций, фланцев и т.д.

Фактическая удельная теплопотеря на расчетном участке:

(54)

Общие теплопотери определяются на головном участке по формуле:

(55)

А падение температуры теплоносителя:

(56)

Температура теплоносителя на расчетном участке тепловой сети:

(57)

 

Тепловой расчет трубопровода проведем для расчетного участка с максимальным диаметром УТ1 – ЦТП с расчетной длиной 243 м, диаметром 219 мм и глубиной заложения 0,5 м.

Термические сопротивления слоя и поверхности.

м2°С/Вт

Толщина теплоизоляционного слоя определяется:

где отношение наружного диаметра изоляционного слоя к наружному диаметру, рассчитываемый по формуле:

откуда B=0,979

где м°С/Вт

Тепловое сопротивление наружной поверхности изоляции:

м2°С/Вт

Тепловое сопротивление изоляции

м2°С/Вт

Тепловое сопротивление грунта определяется по формуле:

м2°С/Вт

Тепловое сопротивление канала:

м2°С/Вт

где по выбранному каналу КЛ 120-60 имеем:

Тепловое сопротивление наружной поверхности канала:

м2°С/Вт

Тепловое сопротивление теплопровода, не соприкасающегося с грунтом (канальная прокладка) определяется как сумма последовательных слоев:

м2°С/Вт

Фактическая удельная теплопотеря на расчетном участке:

Вт/м

Общие теплопотери определяются на головном участке по формуле:

Вт

А падение температуры теплоносителя:

°С

Температура теплоносителя на расчетном участке тепловой сети:

°С


 







Date: 2015-09-18; view: 911; Нарушение авторских прав



mydocx.ru - 2015-2026 year. (1.371 sec.) Все материалы представленные на сайте исключительно с целью ознакомления читателями и не преследуют коммерческих целей или нарушение авторских прав - Пожаловаться на публикацию