Главная
Случайная страница
Полезное:
Как сделать разговор полезным и приятным
Как сделать объемную звезду своими руками
Как сделать то, что делать не хочется?
Как сделать погремушку
Как сделать так чтобы женщины сами знакомились с вами
Как сделать идею коммерческой
Как сделать хорошую растяжку ног?
Как сделать наш разум здоровым?
Как сделать, чтобы люди обманывали меньше
Вопрос 4. Как сделать так, чтобы вас уважали и ценили?
Как сделать лучше себе и другим людям
Как сделать свидание интересным?
Категории:
АрхитектураАстрономияБиологияГеографияГеологияИнформатикаИскусствоИсторияКулинарияКультураМаркетингМатематикаМедицинаМенеджментОхрана трудаПравоПроизводствоПсихологияРелигияСоциологияСпортТехникаФизикаФилософияХимияЭкологияЭкономикаЭлектроника
|
Гидравлический расчёт
Расчётный расход сетевой воды для определения диаметров труб в водяных тепловых сетях при качественном регулировании отпуска теплоты следует определять отдельно для отопления, вентиляции и горячего водоснабжения.
Используя данные температурных графиков, можно определить расчётные часовые расходы теплоносителя по формулам.
Расчётный расход сетевой воды на отопление в диапазоне будет:
, т/ч (27)
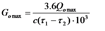
Расчётный часовой расход сетевой воды на вентиляцию в диапазоне будет:
, т/ч (28)
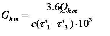
Расчётный часовой расход сетевой воды на горячее водоснабжение при закрытых тепловых сетях в диапазоне будет:
, т/ч (29)
где
температура воды в подающем трубопроводе, согласно заданию ;
температура воды на абонентских вводах, согласно заданию ;
температура воды в подающем трубопроводе, в летний период ;
температура воды в обратном трубопроводе, в летний период .
Суммарные расчётные расходы сетевой воды, т/ч, в закрытых системах теплоснабжения при качественном регулировании отпуска теплоты следует определять по формулам:
для трубопроводов с отопительно-вентиляционной нагрузкой
(30)
для трубопроводов с нагрузкой на ГВС
(31)
где
kcir - коэффициент, принимаемый для водонагревателей и начальных участков систем до первого водоразборного стояка по приложению 5[5]. Принимаем для промышленного предприятия отношение и соответственно 
Определим расчётные расходы сетевой воды у абонентов.
1. Кузнечный цех





2. Механосборочный цех





3. Цех покрытий металлами





4. Локомотивное депо





5. Склад химикатов



6. Склад моделей


7. Проходная


8. Административное здание





9. Чугунолитейный цех





10. Сталелитейный цех





11. Меднолитейный цех





12. Столовая на 120 мест





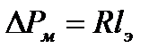
При гидравлическом расчёте определяется падение давления в подающей и обратной трубах.
Линейное падение давления на участке определяется;
(32)
где
- удельное падение давления на 1 м длины трубы, Па/м;
- длина расчётного участка, м.
Падение давление на местные сопротивления:
(33)
где
- эквивалентная длина теплопровода, м.
Общая потеря давления на участке:
(34)
Гидравлический расчет сведен в таблицы 2 - 5
Рис. 3 Расчетная схема тепловых сетей.
Таблица 2.
Гидравлический расчёт тепловых сетей (отопительно-вентиляционная нагрузка)
| N участка
| Участок
| Gd, т/ч
| Длина участка
| Dу, мм
| v, м/с
| Потери давления
| | по плану l, м
| le,м
| l,м
| удельные R, П/м
| на участке ΔP, Па
| суммарные ∑ΔP, Па
| | Магистраль
| |
| Аб3-УТ9
| 25,72
|
| 11,45
| 44,45
| 108x4
| 0,96
|
| 2995,93
| 2995,93
| |
| УТ9-УТ8
| 32,61
|
| 54,4
| 211,4
| 133x4
| 0,78
| 67,4
| 6468,84
| 9464,77
| |
| УТ8-УТ7
| 35,69
|
| 5,6
| 33,6
| 159x4,5
| 0,59
| 30,6
| 1145,76
| 10610,53
| |
| УТ7-УТ6
| 38,2
|
| 100,8
| 317,8
| 159x4,5
| 0,62
| 34,1
| 10836,98
| 21447,51
| |
| УТ6-УТ5
| 38,49
|
| 36,4
| 101,4
| 159x4,5
| 0,64
| 35,9
| 3640,26
| 25087,77
| |
| УТ5-УТ4
| 68,17
|
| 56,14
| 124,14
| 194x5
| 0,74
| 3,71
| 460,5594
| 25548,3294
| |
| УТ4-УТ3
| 69,82
|
| 26,24
| 70,24
| 194x5
| 0,76
| 3,93
| 276,0432
| 25824,3726
| |
| УТ3-УТ2
| 92,84
|
| 45,24
| 122,24
| 194x5
| 1,04
| 72,4
| 8850,176
| 34674,5486
| |
| УТ2-УТ1
| 126,523
|
| 55,2
| 135,2
| 219x6
| 1,08
| 67,4
| 9112,48
| 43787,0286
| |
| УТ1-К
| 159,4
|
| 168,12
| 411,12
| 219x6
| 0,35
|
| 1233,36
| 45020,3886
| | итого
| 244461,178
| | Ответвления
| |
| Аб4-УТ9
| 6,89
|
| 7,8
| 47,8
| 76x3,5
| 0,54
|
| 3393,8
| -
| |
| Аб5-УТ8
| 3,08
|
| 23,7
| 75,7
| 45x2,5
| 0,72
|
| 19303,5
| -
| |
| Аб6-УТ7
| 2,51
|
| 36,9
| 159,9
| 45x2,5
| 0,58
|
| 26543,4
| -
| |
| Аб7-УТ6
| 0,29
|
| 12,2
| 52,2
| 32x2,5
| 0,15
|
| 10857,6
| -
| |
| Аб8-УТ5
| 4,15
|
| 5,85
| 45,85
| 57x3,5
| 0,62
|
| 6510,7
| -
| |
| Аб9-УТ5
| 25,53
|
| 3,63
| 154,63
| 108x4
| 0,96
|
| 21029,68
| -
| |
| Аб12-УТ4
| 1,653
|
| 17,1
| 63,1
| 45x2,5
| 0,38
| 72,3
| 4562,13
| -
| |
| Аб10-УТ3
| 23,02
|
| 31,05
| 182,05
| 108x4
| 0,85
|
| 18933,2
| -
| |
| Аб11-УТ2
| 33,68
|
| 3,63
| 154,63
| 108x4
| 1,26
|
| 36028,79
| -
| |
| Аб1-УТ1
| 17,22
|
| 2,56
| 88,56
| 89x3,5
| 0,93
|
| 14789,52
| -
| |
| Аб2-УТ1
| 15,66
|
| 17,08
| 77,08
| 89x3,5
| 0,88
|
| 11407,84
| -
|
Таблица 3.
Расчет местных сопротивлений (отопительно-вентиляционная нагрузка)
| N участка
| Dу, мм
| l,м
| Вид местного сопротивления
| Количество
| Длина
| le,м
| | | | | Магистраль
| | |
| 108x4
|
| 1. задвижка
|
| 1,65
| 11,45
| | | 2. компенсаторп П-образный
|
| 9,8
| | |
| 133x4
|
| 1. тройник при делении на проход
|
| 4,4
| 54,4
| | | 2. компенсатор П-образный
|
| 12,5
| | |
| 159x4,5
|
| 1. тройник при делении на проход
|
| 5,6
| 5,6
| | | | |
| 159x4,5
|
| 1. тройник при делении на проход
|
| 5,6
| 100,8
| | | 2. отвод крутоизогнутый
|
| 2,8
| | | 3. компенсатор П-образный
|
| 15,4
| | |
| 159x4,5
|
| 1. тройник при делении на проход
|
| 5,6
| 36,4
| | | 2. компенсатор П-образный
|
| 15,4
| | |
| 194x5
|
| 1. тройник при делении на проход
|
| 7,24
| 56,14
| | | 2. тройник при делении на ответвление
|
| 10,9
| | | 3. компенсатор П-образный
|
|
| | |
| 194x5
|
| 1. тройник при делении на проход
|
| 7,24
| 26,24
| | | 2. компенсатор П-образный
|
|
| | |
| 194x5
|
| 1. тройник при делении на проход
|
| 7,24
| 45,24
| | | 2. компенсатор П-образный
|
|
| | |
| 219x6
|
| 1. тройник при делении на проход
|
| 8,4
| 55,2
| | | 2. компенсатор П-образный
|
| 23,4
| | |
| 219x6
|
| 1. тройник при делении на проход
|
| 8,4
| 168,12
| | | 2. отвод крутоизогнутый
|
| 4,2
| | | 3. компенсатор П-образный
|
| 23,4
| | | 4. задвижка
|
| 3,36
| | | Ответвления
| | |
| 76x3,5
|
| 1. задвижка
|
|
| 7,8
| | | 2. компенсатор П-образный
|
| 6,8
| | |
| 45x2,5
|
| 1. вентиль с вертикальным шпинделем
|
| 10,5
| 23,7
| | | 2. компенсатор П-образный
|
| 6,6
| | |
| 45x2,5
|
| 1. вентиль с вертикальным шпинделем
|
| 10,5
| 36,9
| | | 2. компенсатор П-образный
|
| 6,6
| | |
| 32x2,5
|
| 1. вентиль с вертикальным шпинделем
|
| 7,1
| 12,2
| | | 2. компенсатор П-образный
|
| 5,1
| | |
| 57x3,5
|
| 1. задвижка
|
| 0,65
| 5,85
| | | 2. компенсатор П-образный
|
| 5,2
| | |
| 108x4
|
| 1. задвижка
|
| 1,65
| 3,63
| | | 2. компенсатор П-образный
|
| 0,66
| | |
| 45x2,5
|
| 1. вентиль с вертикальным шпинделем
|
| 10,5
| 17,1
| | | 2. компенсатор П-образный
|
| 6,6
| | |
| 108x4
|
| 1. задвижка
|
| 1,65
| 31,05
| | | 2. компенсатор П-образный
|
| 9,8
| | |
| 108x4
|
| 1. задвижка
|
| 1,65
| 3,63
| | | 2. компенсатор П-образный
|
| 0,66
| | |
| 89x3,5
|
| 1. задвижка
|
| 1,28
| 2,56
| | | 2. отвод крутоизогнутый
|
| 1,28
| | |
| 89x3,5
|
| 1. задвижка
|
| 1,28
| 17,08
| | | 2. компенсатор П-образный
|
| 7,9
| |
Таблица 4.
Гидравлический расчёт тепловых сетей (нагрузка на ГВС)
| N участка
| Участок
| Gd, т/ч
| Длина участка
| Dу, мм
| v, м/с
| Потери давления
| | по плану l, м
| le,м
| l,м
| удельные R, П/м
| на участке ΔP, Па
| суммарные ∑ΔP, Па
| | Магистраль
| |
| Аб3-УТ9
| 0,027
|
| 12,2
| 45,2
| 32x2,5
| 0,1
| 9,5
| 429,4
| 429,4
| |
| УТ9-УТ8
| 0,036
|
| 21,19
| 178,19
| 32x2,5
| 0,1
| 9,5
| 1692,805
| 2122,205
| |
| УТ8-УТ7
| 0,036
|
| 0,79
| 28,79
| 32x2,5
| 0,1
| 9,5
| 273,505
| 2395,71
| |
| УТ7-УТ6
| 0,036
|
| 31,79
| 248,79
| 32x2,5
| 0,1
| 9,5
| 2363,505
| 4759,215
| |
| УТ6-УТ5
| 0,121
|
| 10,99
| 75,99
| 32x2,5
| 0,1
| 9,5
| 721,905
| 5481,12
| |
| УТ5-УТ4
| 0,418
|
| 12,18
| 80,18
| 32x2,5
| 0,21
|
| 3207,2
| 8688,32
| |
| УТ4-УТ3
| 0,445
|
| 5,89
| 49,89
| 32x2,5
| 0,23
| 47,5
| 2369,775
| 11058,1
| |
| УТ3-УТ2
| 0,472
|
| 10,99
| 87,99
| 32x2,5
| 0,24
| 51,5
| 4531,485
| 15589,58
| |
| УТ2-УТ1
| 0,499
|
| 10,99
| 90,99
| 32x2,5
| 0,25
| 55,5
| 5049,945
| 20639,53
| |
| УТ1-ЦТП
| 0,526
|
| 46,78
| 289,78
| 32x2,5
| 0,28
| 66,6
| 19299,35
| 39938,87
| | итого
|
| | Ответвления
| |
| Аб4-УТ9
| 0,01
|
| 12,2
| 52,2
| 32x2,5
| 0,1
| 9,5
| 495,9
| -
| |
| Аб8-УТ5
| 0,057
|
| 12,2
| 52,2
| 32x2,5
| 0,1
| 9,5
| 495,9
| -
| |
| Аб9-УТ5
| 0,027
|
| 22,4
| 173,4
| 32x2,5
| 0,1
| 9,5
| 1647,3
| -
| |
| Аб12-УТ4
| 0,297
|
| 12,2
| 58,2
| 32x2,5
| 0,15
| 20,8
| 1210,56
| -
| |
| Аб10-УТ3
| 0,027
|
| 22,4
| 173,4
| 32x2,5
| 0,1
| 9,5
| 1647,3
| -
| |
| Аб11-УТ2
| 0,027
|
| 22,4
| 173,4
| 32x2,5
| 0,1
| 9,5
| 1647,3
| -
| |
| Аб1-УТ1
| 0,027
|
| 7,5
| 93,5
| 32x2,5
| 0,1
| 9,5
| 888,25
| -
| |
| Аб2-УТ1
| 0,027
|
| 17,3
| 77,3
| 32x2,5
| 0,1
| 9,5
| 734,35
| -
|
Таблица 5.
Расчет местных сопротивлений (нагрузка на ГВС)
| N участка
| Dу, мм
| l,м
| Вид местного сопротивления
| Количество
| Длина
| le,м
| | | | | Магистраль
| | |
| 32x2,5
|
| 1. вентиль с вертикальным шпинделем
|
| 7,1
| 12,2
| | | 2. компенсаторп П-образный
|
| 5,1
| | |
| 32x2,5
|
| 1. тройник при делении на проход
|
| 0,79
| 21,19
| | | 2. компенсатор П-образный
|
| 5,1
| | |
| 32x2,5
|
| 1. тройник при делении на проход
|
| 0,79
| 0,79
| | | | |
| 32x2,5
|
| 1. тройник при делении на проход
|
| 0,79
| 31,79
| | | 2. отвод крутоизогнутый
|
| 0,4
| | | 3. компенсатор П-образный
|
| 5,1
| | |
| 32x2,5
|
| 1. тройник при делении на проход
|
| 0,79
| 10,99
| | | 2. компенсатор П-образный
|
| 5,1
| | |
| 32x2,5
|
| 1. тройник при делении на проход
|
| 0,79
| 12,18
| | | 2. тройник при делении на ответвление
|
| 1,19
| | | 3. компенсатор П-образный
|
| 5,1
| | |
| 32x2,5
|
| 1. тройник при делении на проход
|
| 0,79
| 5,89
| | | 2. компенсатор П-образный
|
| 5,1
| | |
| 32x2,5
|
| 1. тройник при делении на проход
|
| 0,79
| 10,99
| | | 2. компенсатор П-образный
|
| 5,1
| | |
| 32x2,5
|
| 1. тройник при делении на проход
|
| 0,79
| 10,99
| | | 2. компенсатор П-образный
|
| 5,1
| | |
| 32x2,5
|
| 1. тройник при делении на проход
|
| 0,79
| 46,78
| | | 2. отвод крутоизогнутый
|
| 0,4
| | | 3. компенсатор П-образный
|
| 5,1
| | | 4. вентиль с вертикальным шпинделем
|
| 7,1
| | | Ответвления
| | |
| 32x2,5
|
| 1. вентиль с вертикальным шпинделем
|
| 7,1
| 12,2
| | | 2. компенсатор П-образный
|
| 5,1
| | |
| 32x2,5
|
| 1. вентиль с вертикальным шпинделем
|
| 7,1
| 12,2
| | | 2. компенсатор П-образный
|
| 5,1
| | |
| 32x2,5
|
| 1. вентиль с вертикальным шпинделем
|
| 7,1
| 22,4
| | | 2. компенсатор П-образный
|
| 5,1
| | |
| 32x2,5
|
| 1. вентиль с вертикальным шпинделем
|
| 7,1
| 12,2
| | | 2. компенсатор П-образный
|
| 5,1
| | |
| 32x2,5
|
| 1. вентиль с вертикальным шпинделем
|
| 7,1
| 22,4
| | | 2. компенсатор П-образный
|
| 5,1
| | |
| 32x2,5
|
| 1. вентиль с вертикальным шпинделем
|
| 7,1
| 22,4
| | | 2. компенсатор П-образный
|
| 5,1
| | |
| 32x2,5
|
| 1. вентиль с вертикальным шпинделем
|
| 7,1
| 7,5
| | | 2. отвод крутоизогнутый
|
| 0,4
| | |
| 32x2,5
|
| 1. вентиль с вертикальным шпинделем
|
| 7,1
| 17,3
| | | 2. компенсатор П-образный
|
| 5,1
| |
Date: 2015-09-18; view: 586; Нарушение авторских прав | Понравилась страница? Лайкни для друзей: |
|
|