Главная Случайная страница


Полезное:

Как сделать разговор полезным и приятным Как сделать объемную звезду своими руками Как сделать то, что делать не хочется? Как сделать погремушку Как сделать так чтобы женщины сами знакомились с вами Как сделать идею коммерческой Как сделать хорошую растяжку ног? Как сделать наш разум здоровым? Как сделать, чтобы люди обманывали меньше Вопрос 4. Как сделать так, чтобы вас уважали и ценили? Как сделать лучше себе и другим людям Как сделать свидание интересным?


Категории:

АрхитектураАстрономияБиологияГеографияГеологияИнформатикаИскусствоИсторияКулинарияКультураМаркетингМатематикаМедицинаМенеджментОхрана трудаПравоПроизводствоПсихологияРелигияСоциологияСпортТехникаФизикаФилософияХимияЭкологияЭкономикаЭлектроника






Урок 41





Тема. УСНЕ ВІДНІМАННЯ ВИДУ 40 - 8. РОЗВ'ЯЗУВАННЯ ЗАДАЧ

 

Мета: ознайомити учнів з прийомами обчислень для випадків віднімання виду 40 - 8; удосконалювати обчислювальні навички, вміння розв'язувати задачі; розвивати пізнавальний інтерес, уміння робити висновки, засновані на виконаних діях; виховувати почуття колективізму, відповідальності.

Хід уроку

I. ОРГАНІЗАЦІЙНИЙ МОМЕНТ

II. АКТУАЛІЗАЦІЯ ОПОРНИХ ЗНАНЬ

1. Перевірка домашнього завдання (с. 54, завдання 328; 329)

Завдання 328

— Прочитайте кругові приклади.

Завдання 329

— Скільки таких споруд ще треба встановити?

2. Усна лічба

1) Гра «Угадай приклад».

Приклад записаний на дошці, закритий карткою з відповіддю. Діти називають різні приклади з цією відповіддю, намагаючись угадати приклад, записаний на дошці.

60 =

30 =

2) Заміна чисел — круглих десятків сумою за зразком.

3) Складання «ланцюжків».

70 — це 10 і 60

100 — це 10 і 90

60 — це 10 і 50

3. Хвилинка каліграфії

— Установіть закономірність і запишіть числа, вставляючи пропущені.

1; 3; 7; 13; 21;..;...

— Щоб продовжити ряд, потрібно встановити закономірність, за якою отримано кожне наступне число в цьому ряді. Назвіть ці числа. (1; 3; 7; 13; 21) Скільки ще чисел потрібно записати в цьому ряді? (3)

— Як змінюються числа в цьому ряді? (Зростають.) Давайте дізнаємося, на скільки одиниць збільшено кожне наступне число порівняно з попереднім. На скільки одиниць збільшено друге число порівняно з першим? (На 2.) Третє число порівняно з другим? (На 4.)

— Запишіть, на скільки одиниць збільшено четверте число порівняно з третім і п’яте число — порівняно з четвертим. (Четверте — на 6, п’яте — на 8.)

— Запишіть у ряд числа, які показують, на скільки збільшували кожне наступне число. (На 2; 4; 6; 8)

— Хто здогадався, яке наступне число буде в цьому ряді? (10) Що воно показує? (Число, яке йде за числом 21, буде на 10 більше; це число 31.)

— Назвіть два числа, які йдуть за числом 31. (43 і 57) Як отримали 43? (31 + 12) 57? (43 + 14)

 

III. ПОВІДОМЛЕННЯ ТЕМИ І МЕТИ УРОКУ

— Сьогодні на уроці ви ознайомитеся з прийомами обчислень для випадків віднімання виду 40 - 8.

 

IV. ВИВЧЕННЯ НОВОГО МАТЕРІАЛУ

1. Робота за підручником (с. 54-56)

Завдання 330. Усне виконання завдання

— Скільки десятків у кожному із чисел: 20; 50; 100?

— Полічіть десятками від 10 до 100; від 100 до 10.

Завдання 331

Під час повторення умови один учень креслить схему і пояснює розв’язання. Після цього учні самостійно записують розв’язання. Учитель перевіряє.

Завдання 332. Колективне опрацювання матеріалу

— Розгляньте записи та малюнок і прочитайте пояснення.

40 - 8 = 32

10 - 8 = 2

30 + 2 = 32

— Від числа 40 треба відняти 8. 40 — це 4 десятки. Візьмемо 1 десяток. Це 10 одиниць. Від 10 віднімемо 8, залишиться 2 од. До 3 дес. додати 2 од., буде 32. Яку властивість використали?

Правило

1. Кругле число розклади на доданки, один з яких дорівнює 10.

2. Від десяти відніми одиниці.

3. Отриманий результат додай до десятків, що залишилися.

Завдання 333

Учні з допомогою вчителя пояснюють кожний спосіб обчислення.

Учні пояснюють так: «50 - 4: 50 — це 40 і 10, відніму 4 від 10, вийде 6 і 40, всього 46».

Особливу увагу потрібно звернути на віднімання декількох одиниць з 100. Наприклад, 100 - 5. Пояснення: 100 — це 90 і 10 (пишуть під прикладом); віднімаємо 5 від 10, вийде 5; 90 та 5 — вийде 95.

Завдання 334. Робота в парах

— Покажіть на метровій лінійці: перший десяток сантиметрів; другий; третій.

Завдання 335

Учні за допомогою шкали лінійки знаходять різниці.

Завдання 336*

Один учень біля дошки розв’язує і пояснює.

У коробці є білі, сині й червоні кульки. Усього 6 кульок. Червоних кульок на 3 більше, ніж синіх. Скільки в коробці білих кульок? (1 с. + 4 ч. + 1 б. = 6. Отже, білих — 1 кулька.)

2. Фізкультхвилинка

 

V. УЗАГАЛЬНЕННЯ Й СИСТЕМАТИЗАЦІЯ ЗНАНЬ

1. Гра «Математичні кінцівки»

20 - 5 = (10 + 10) - 5 = 10 - 5 + 10 =...

50 - 7 = (40 + 10) - 7 =...

70 - 3 =...

60 - 9 =...

2. Самостійна робота

3. Офтальмологічна пауза

4. Розв'язування логічної задачі

Дві дівчинки йшли з школи додому, а назустріч їм три хлопчики. Скільки всього дітей йшли додому? (2 дівчинки)

 

VІ. ПІДБИТТЯ ПІДСУМКІВ. РЕФЛЕКСІЯ

— З якими прийомами обчислень ознайомилися на уроці?

— Оцініть свою роботу?

 

VII. ДОМАШНЄ ЗАВДАННЯ

С. 56, завдання 337; 338.



Урок 42. ЗАКРІПЛЕННЯ ОБЧИСЛЕНЬ ВИДУ 40 - 8. ПОРІВНЯННЯВИРАЗУ І ЧИСЛА. СКЛАДАННЯ ЗАДАЧ ЗА ВИРАЗОМ

 

Мета: вдосконалювати обчислювальні навички, вміння порівнювати вираз і число, складати задачі за поданим виразом; розвивати пізнавальний інтерес; виховувати почуття колективізму, відповідальності.

Хід уроку

I. ОРГАНІЗАЦІЙНИЙ МОМЕНТ

 

II. АКТУАЛІЗАЦІЯ ОПОРНИХ ЗНАНЬ

1. Перевірка домашнього завдання (с. 56, завдання 337; 338)

Завдання 337

— За скільки днів проросло насіння помідорів?

Завдання 338

— Прочитайте вирази у порядку зростання відповідей.

2. Усна лічба

Магічна рамка

3. Гра «Віконечка»

4. Хвилинка каліграфії

— Установіть закономірність і запишіть числа, вставляючи пропущені.

95; 90; 85;?;?;?.

 

III. ПОВІДОМЛЕННЯ ТЕМИ І МЕТИ УРОКУ

— Сьогодні на уроці ви вдосконалюватимете навички обчислень, складатимете та розв’язуватимете задачі за виразом.

 

IV. ВИВЧЕННЯ НОВОГО МАТЕРІАЛУ

1. Робота за підручником (с. 56)

Завдання 339

Один учень біля дошки розв’язує і пояснює.

Завдання 340. Самостійна робота

Під час перевірки учні читають виписані нерівності (40 - 8 > 31; 60 - 3 > 47; 80 - 8 < 81) і пояснюють спосіб обчислення.

Завдання 341

Учні коментують, як виконали обчислення.

Завдання 342. Фронтальне вивчення змісту задачі

Під час відтворення змісту учні на дошці зображують умову задачі.

Було — 24 і 16

Не грало — 4

Грало —?

Після цього учні працюють самостійно, один учень — за закритою дошкою. Учні пропонують ще два способи розв’язування задачі:

(24 + 16) - 4 = 36; (24 - 4) + 16 = 36; (16 - 4) + 24 = 36.

Завдання 343

Учні «ланцюжком» читають вирази та обчислюють їх значення.

Завдання 344*

Один учень біля дошки розв’язує і пояснює.

— Скільки двоцифрових чисел можна записати за допомогою цифр 1; 4; 6; якщо цифри в запису можуть повторюватися? (11; 44; 66; 14; 41; 16; 61; 46; 64 — 9 чисел.)

2. Фізкультхвилинка

 

V. УЗАГАЛЬНЕННЯ Й СИСТЕМАТИЗАЦІЯ ЗНАНЬ

1. Робота над задачею

Для шкільного Свята врожаю учням потрібно виготовити із пап’є-маше 40 муляжів овочів і фруктів. Скільки муляжів учні вже виготовили, якщо їм залишилося виготовити ще 6?

2. Обчислення значень виразів

3. Офтальмологічна пауза

4. Розв'язування логічної задачі

Зоя несла від колодязя важке відро з водою. Ззаду неї йшли хлопчики: Петрик, Павлик і Тарасик. Вона хлопчиків не бачила. Не дійшовши до будинку, дівчинка поставила відро і побігла додому, щоб покликати когось на допомогу. Поки Зоя бігала, один з хлопчиків заніс відро в двір. Коли дівчинка вийшла з хати, то побачила відро з водою і трьох товаришів.

— Хто з вас приніс відро? Кому я маю віддячити? — запитала вона.

Петрик сказав:

— Я приніс відро.

Павлик:

— Я не приносив відра.

Тоді Зоя звернулася до Тарасика, знаючи, що він завжди говорить тільки правду:

— Правду сказали хлопчики?

Тарасик відповів:

— Я не приносив. А кожен з них сказав неправду.

Тоді Зоя здогадалася, хто приніс відро, і подякувала. Кому з хлопчиків подякувала Зоя? (Павлику)

 

VІ. ПІДБИТТЯ ПІДСУМКІВ. РЕФЛЕКСІЯ

— Чого навчалися на уроці?

— Як оцінюєте свою роботу?

 

VII. ДОМАШНЄ ЗАВДАННЯ

С. 56, завдання 345; 346.



Урок 43. ВІДНІМАННЯ ОДНОЦИФРОВОГО ЧИСЛА ВІД ДВОЦИФРОВОГО ВИДУ 53 - 8. РОЗВ'ЯЗУВАННЯ ЗАДАЧ. ТВОРЧА РОБОТА НАД ЗАДАЧЕЮ

 

Мета: ознайомити учнів з різними способами віднімання виду 53 - 8; формувати вміння творчо працювати над задачею; розвивати математичне мовлення; виховувати акуратність, розуміння необхідності економно витрачати час.

Хід уроку

I. ОРГАНІЗАЦІЙНИЙ МОМЕНТ

II. АКТУАЛІЗАЦІЯ ОПОРНИХ ЗНАНЬ

1. Перевірка домашнього завдання (с. 56, завдання 345; 346)

Завдання 345

— Розкажіть задачу за виразом 40 - (23 + 7).

Завдання 346

— Скільки виробів залишилося після випалювання?

2. Робота за таблицею

Зменшуване            
Від’ємник            
Різниця            

3. Хвилинка каліграфії

— Назвіть «зайве» число й обґрунтуйте свій вибір.

13 52 64 22 28. (22)

4. Математичний диктант

— Запишіть вирази та обчисліть їх значення, пояснивши способи обчислень.

• Від 7 десятків відніміть 7 одиниць.

• Зменшуване 50, від’ємник 5. Знайдіть різницю.

• Перший доданок 63, другий 9. Обчисліть суму.

• Знайдіть різницю чисел 82 і 40.

 

III. ПОВІДОМЛЕННЯ ТЕМИ І МЕТИ УРОКУ

— Сьогодні на уроці ви ознайомитеся з різними способами віднімання виду 53 - 8.

 

IV. ВИВЧЕННЯ НОВОГО МАТЕРІАЛУ

1. Робота за підручником (с. 57)

Завдання 347. Колективне опрацювання матеріалу

— За записами поясніть, як знайшли різницю.

53 - 8

Від 53 потрібно відняти 8. Щоб розв’язати такий приклад, потрібно від 53 відняти 3 одиниці і від отриманого — інші 5 одиниць.

Або:

Учні розглядають два способи знаходження різниці, але перевага віддається першому способу.

Правило:

1. Одноцифрове число розклади на зручні доданки.

2. Від двоцифрового числа одноцифрове віднімай частинами.

Завдання 348

Ознайомившись з умовою задачі, учні складають її короткий запис та самостійно розв’язують.

Завдання 349

Учні з місця складають приклади та розв’язують їх.

Завдання 350

Ознайомившись з умовою задачі, учні пояснюють, про що вони дізнаються, якщо обчислять значення виразів, складених за умовою.

Завдання 351

Після колективного ознайомлення зі змістом задачі складається план розв’язування. Сильніші учні, скориставшись планом, самостійно записують її розв’язання у зошити.

Решта учнів разом з учителем розглядають план розв’язання і визначають дії.

Завдання 352*

Учні будують 2 прямокутники. Проводять у кожному прямокутнику 2 відрізки так, щоб утворилися:

1) у першому — 2 трикутники і чотирикутник;

2) у другому — трикутник і 2 чотирикутники.

Один учень біля дошки пояснює.

2. Фізкультхвилинка

 

V. УЗАГАЛЬНЕННЯ Й СИСТЕМАТИЗАЦІЯ ЗНАНЬ

1. Гра «Математичні кінцівки»

24 - 5 = 24 - (4 + 1) = (24 - 4) - 1 =...


76 - 9 = 76 - (6 + 3) =...

52 - 6 =...

97 - 8 =...

2. Робота над задачею

У змаганнях з бігу на короткі дистанції брали участь команди жінок та чоловіків. У команді чоловіків було 13 бігунів, а в команді жінок — на 5 бігунів менше. Скільки всього спортсменів брали участь у змаганнях?

3. Офтальмологічна пауза

4. Розв'язування логічних задач

• Чебурашка, крокодил Гена і Шапокляк чекали потяг 3 години. Скільки годин чекав потяг кожен з них? (3 години.)

• У відрі 9 л води. Чи вистачить цієї води, щоб наповнити 5 дволітрових банок? (Не вистачить.)

 

VІ. ПІДБИТТЯ ПІДСУМКІВ. РЕФЛЕКСІЯ

— З якими прийомами обчислень ознайомилися на уроці?

— Оцініть свою роботу.

 

VII. ДОМАШНЄ ЗАВДАННЯ

С. 57, завдання 353; 354.


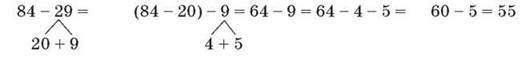
Урок 44. ВІДНІМАННЯ ДВОЦИФРОВИХ ЧИСЕЛ ВИДУ 84 - 29. РОЗВ'ЯЗУВАННЯ ЗАДАЧ

 

Мета: ознайомити учнів із загальним випадком усного віднімання двоцифрових чисел з переходом через десяток; формувати вміння розв'язувати задачі; розвивати логічне мислення; виховувати культуру поведінки.

Хід уроку

I. ОРГАНІЗАЦІЙНИЙ МОМЕНТ

 

II. АКТУАЛІЗАЦІЯ ОПОРНИХ ЗНАНЬ

1. Перевірка домашнього завдання (с. 57, завдання 353; 354)

Завдання 353

— Прочитайте вирази у порядку убування відповідей.

Завдання 354

— Скільки всього відпочиваючих у санаторії?

2. Розв'язування кругових прикладів

3. Складання та розв'язування задачі за схемою

4. Гра «Віконечка»

5. Хвилинка каліграфії

— Розгадайте правило, за яким складений ряд чисел. Запишіть ще 4 числа.

19; 23; 27; 31...

 

III. ПОВІДОМЛЕННЯ ТЕМИ І МЕТИ УРОКУ

— Сьогодні на уроці ви дізнаєтеся прийоми віднімання двоцифрових чисел.

1. Робота за підручником (с. 58-59)

Завдання 355. Коментоване розв'язування прикладів

Учитель звертає увагу на те, скільки всього одиниць відняли у кожному прикладі.

Завдання 356. Колективне опрацювання матеріалу

— Розгляньте записи і поясніть обчислення різними способами.

І спосіб

ІІ спосіб

Завдання 357

Учні з допомогою вчителя пояснюють кожний спосіб обчислення.

Завдання 358

Учні коментують, як виконали обчислення.

— На скільки менше кілограмів меду зібрано з липи?

— Скільки всього кілограмів меду зібрали бджоли?

Завдання 359

Ознайомившись з умовою задачі, учні складають її короткий запис та самостійно розв’язують.

Завдання 360. Усне виконання завдання

— Розгляньте малюнок і дайте відповіді на питання:

1) На скільки літрів води менше в бідоні, ніж у баку?

2) На скільки літрів води менше в баку, ніж разом у відрі, каністрі та бідоні?

3) Скільки всього літрів води в цих посудинах?

Завдання 361*

Один учень біля дошки пояснює, за яким правилом продовжити ряди чисел.

2. Фізкультхвилинка

 

ІV. УЗАГАЛЬНЕННЯ Й СИСТЕМАТИЗАЦІЯ ЗНАНЬ

1. Самостійна робота

35 - 28

56 - 38

26 - 19

85 - 16

43 - 25

2. Виконання дій з іменованими числами

37 см - 29 см

1 дм 42 см - 37 см

1 м - 3 дм

4 дм - 34 см

55 хв. - 26 хв.

1 год. + 15 хв.

3. Робота над задачею

Столяр відремонтував за перші 2 дні по 15 стільців, а за третій день — 9 стільців. На скільки менше стільців відремонтував столяр за третій день, ніж за перші 2 дні?

— Як ви розумієте слова «2 дні по 15 стільців»?

— Що треба дізнатися спочатку? Якою дією? Чому?

— Яку дію треба вибрати для відповіді на питання задачі?

4. Офтальмологічна пауза

5. Розв'язування логічних задач

• Максим і Славко вчаться в другому класі. Їх прізвища — Василенко і Дрозденко. Яке прізвище у кожного з хлопчиків, якщо Максим вище Дрозденка? (Максим Василенко, Славко Дрозденко)

• На першу вантажівку навантажили половину шаф, а на іншу — чотири тих, що залишилися. Скільки всіх було шаф? (8 шаф)

• Сума трьох чисел 76. Сума перших двох 42, а останніх двох — 61. Знайдіть ці числа. (15; 27; 34)

• Дівчатка тримали трьох кошенят: рудого, чорного і білого. Прізвища дівчаток були: Руденко, Білова і Чернова. Жодна з дівчаток не тримала кошенятка того кольору, від якого пішло її прізвище. Білова уважно розглядала чорного кошенятка, якого тримала подруга. Кошенята якого кольору були на руках у кожної дівчинки?

Відповідь:

  Руденко Білова Чернова
рудий - + -
чорний + - -
білий - - +

 

V. ПІДБИТТЯ ПІДСУМКІВ. РЕФЛЕКСІЯ

— З якими прийомами обчислень ознайомилися на уроці?

— Оцініть свою роботу?

 

VI. ДОМАШНЄ ЗАВДАННЯ

С. 59-60, завдання 362; 363.

 

 Урок 45. ЗАКРІПЛЕННЯ ВІДНІМАННЯ ДВОЦИФРОВИХ ЧИСЕЛ. РОЗВ'ЯЗУВАННЯ СКЛАДЕНИХ ЗАДАЧ

 

Мета: закріпити навички віднімання двоцифрових чисел; формувати вміння розв'язувати задачі; розвивати логічне мислення; виховувати культуру поведінки.

Хід уроку

I. ОРГАНІЗАЦІЙНИЙ МОМЕНТ

 

II. АКТУАЛІЗАЦІЯ ОПОРНИХ ЗНАНЬ

1. Перевірка домашнього завдання (с. 59-60, завдання 362; 363)

Завдання 362

— Яка маса теляти?

Завдання 363

— Прочитайте відповіді у порядку зростання.

2. Робота за таблицею

Числа Знайти
25 і 16 суму
56 і 9 різницю
49 і 24 різницю
86 і 34 різницю
62 і 12 суму
23 і 28 суму

3. Гра «Плюс чи мінус?»

4. Гра «Чарівні дужки»

— Розставте, де потрібно, дужки так, щоб рівності стали істинними.

54 - 24 + 20 = 10

60 - 10 + 5 = 55

97 - 5 + 2 = 90

68 + 20 - 8 = 80

(54 - (24 + 20) = 10 60 - 10 + 5 = 55 97 — (5 + 2) = 90 68 + (20 - 8) = 80)

5. Складання і розв'язування задач за таблицею

Було Полетіло Залишилося
21 літак ? 7 літаків
? 9 літаків 16 літаків

6. Хвилинка каліграфії

— Установіть закономірність і запишіть числа, вставляючи пропущені.

5; 9; 13; 17; 21;...

 

III. ПОВІДОМЛЕННЯ ТЕМИ І МЕТИ УРОКУ

— Сьогодні на уроці ми закріпимо навички віднімання двоцифрових чисел.

 

IV. ВИВЧЕННЯ НОВОГО МАТЕРІАЛУ

1. Робота за підручником (с. 59-60)

Завдання 364

Учні з допомогою вчителя пояснюють кожний спосіб обчислення.

Завдання 365

Учні з місця складають задачу за малюнком. Під час повторення умови один учень креслить схему і пояснює розв’язання. Після цього учні самостійно записують розв’язання. Учитель перевіряє.

Завдання 366

Учні знаходять значення виразу зі змінною.

Завдання 367

Після колективного ознайомлення зі змістом задач учні знаходять серед поданих виразів той, за допомогою якого розв’язується кожна задача.

2. Фізкультхвилинка

 

V. УЗАГАЛЬНЕННЯ Й СИСТЕМАТИЗАЦІЯ ЗНАНЬ

1. Розв'язування з поясненням

2. Робота над задачею

У Чіпа 42 горішки. Це на 15 горішків більше, ніж у Дейла. Скільки горішків у Чіпа і Дейла разом?

3. Гра «Віконечка»

4. Офтальмологічна пауза

5. Розв'язування логічних задач

• Братові 18 років, а сестрі — 10. Скільки років буде братові, коли сестрі стане стільки, скільки йому зараз? (18 - 10 = 8; 18 + 8 = 26)

• Богдан, Максим і Руслан — брати. Богдан не старший за Максима, а Руслан не молодший за нього. Хто з них найстарший? (Богдан молодший за Максима, Руслан старший за Максима. Отже, Руслан — найстарший.)

• У сім’ї 2 матері, 2 дочки і бабуся з онукою. Скільки всього членів у родині? (Троє: бабуся, мама і дочка.)

• Сходинки в будинку ведуть від першого поверху до останнього. Хлопчик пройшов половину шляху і відпочиває на 5-му поверсі. Скільки поверхів у будинку? (Всього 9 поверхів: перед 5 — чотири і після 5 — чотири. 4 + 4 + + 1 = 9)

 

VІ. ПІДБИТТЯ ПІДСУМКІВ. РЕФЛЕКСІЯ

— Чого навчалися на уроці?

— Як оцінюєте свою роботу?

 

VII. ДОМАШНЄ ЗАВДАННЯ

С. 59-60, завдання 368; 369.


Урок 46. ВІДНІМАННЯ ВИДУ 50 - 34. КРУГОВІ ПРИКЛАДИ. РОЗВ'ЯЗУВАННЯ ЗАДАЧ

 

Мета: навчати учнів прийомів обчислень випадків виду 50-34; вдосконалювати обчислювальні навички, пов'язані з прийомами обчислень різного виду; розвивати логічне мислення; формувати вміння грамотно й аргументовано обґрунтовувати власні дії; виховувати допитливість.

Хід уроку

I. ОРГАНІЗАЦІЙНИЙ МОМЕНТ

 

II. АКТУАЛІЗАЦІЯ ОПОРНИХ ЗНАНЬ

1. Перевірка домашнього завдання (с. 59-60, завдання 368; 369)

Завдання 368

— Скільки разом пофарбували парт, столів і підвіконь?

Завдання 369

— Прочитайте відновлені рівності.

2. Гра «Швидка лічба»

3. Гра «Віконечка»

— Уставте такі числа, щоб рівності стали істинними.

4. Порівняння іменованих чисел

5. Хвилинка каліграфії

— На скільки можна збільшити кожне число, щоб у ньому змінилася тільки цифра, що позначає одиниці, а цифра, що позначає десятки, залишилася тою самою: 38; 57; 68; 29? Запишіть ці числа. (39; 58; 59; 69)

 

III. ПОВІДОМЛЕННЯ ТЕМИ І МЕТИ УРОКУ

— Сьогодні на уроці ви дізнаєтеся, як виконувати віднімання виду 50 - 34.

 

IV. ВИВЧЕННЯ НОВОГО МАТЕРІАЛУ

1. Робота за підручником (с. 60-61)

Завдання 370. Коментоване розв'язування прикладів

Учитель звертає увагу на те, скільки всього одиниць відняли у кожному прикладі, як віднімали.

Завдання 371. Колективне опрацювання матеріалу

— Розгляньте записи та поясніть обчислення.

Прийом обчислень для випадків виду 50 - 34 досить складний і вимагає особливої уваги. На відміну від попередніх прийомів, коли віднімали з однієї частини зменшуваного і потрібно було не забути додати іншу частину, в новому прийомі потрібно відняти обидві частини — і десятки, і одиниці.

Завдання 372. Письмове виконання завдання з коментуванням

Завдання 373

Ознайомившись з умовою задачі, учні складають її короткий запис та самостійно розв’язують.

Завдання 374

Після колективного ознайомлення зі змістом задачі на дошці записується коротка умова, складається план розв’язування. Сильніші учні, скориставшись планом, самостійно записують її розв’язання у зошити.

Решта учнів разом з учителем розглядають план розв’язання і визначають дії.

— Як ви розумієте слова «стільки ж, скільки»?

Завдання 376

Учні будують 2 різних прямокутники з однаковим периметром 12 см. (Половина периметра — 6 см. Сторони: 1 і 5; 2 і 4 см)

Один учень біля дошки пояснює.

2. Фізкультхвилинка

 

V. УЗАГАЛЬНЕННЯ Й СИСТЕМАТИЗАЦІЯ ЗНАНЬ

1. Обчислення з поясненням

50 - 24

70 - 36

80 - 55

100 - 78

2. Самостійна робота

1 варіант

53 - (20 + 23)

25 + 8 + 12

97 - (48 + 40)

2 варіант

60 - (11 + 20)

50 - (20 + 23)

90 - (45 + 20)

• Обчисли периметр трикутника зі сторонами 8 см, 7 см, 4 см.

• У Софійки в акваріумі 9 рибок, у Валерії — 7, а у Тамари — на 8 рибок більше, ніж у Софійки і Валерії разом. Скільки рибок у Тамари?

• У двох вагонах тролейбуса було 50 пасажирів. У першому вагоні було 35 пасажирів. Скільки пасажирів було у другому вагоні?

3. Офтальмологічна пауза

4. Розв'язування логічних задач

• У вівторок Тетянка витратила на 3 грн. більше, ніж в середу, і на 2 грн. більше, ніж у четвер. У який день — середу або в четвер — Тетянка витратила більше грошей? (У середу.)

• Марійка має дві ляльки, три яблука, одну шоколадку, два апельсини, п’ять персиків і один велосипед. Скільки фруктів має Марійка? (3 яб. + 2 ап. + + 5 п. = 10 ф.)

• Катруся з дуба груші рвала, у кошик складала: дві татові й дві матусі, три братику і три Катрусі. Скільки всього було груш? (Жодної — на дубі груші не ростуть.)

• У дівчинки стільки сестер, скільки братів. А її брат сказав, що в нього 3 сестри. Скільки дітей у сім’ї? (2 + 2 + 1 = 5)

• Лисиця швидша за черепаху. Лисиця повільніша, ніж олень. Хто найшвидший? (Олень)

 

VІ. ПІДБИТТЯ ПІДСУМКІВ. РЕФЛЕКСІЯ

— З якими прийомами обчислень ознайомилися на уроці?

— Оцініть свою роботу.

 

VII. ДОМАШНЄ ЗАВДАННЯ

С. 61, завдання 377; 378.

 



Урок 47. ЗАКРІПЛЕННЯ ДОДАВАННЯ І ВІДНІМАННЯ ДВОЦИФРОВИХ ЧИСЕЛ. РОЗВ'ЯЗУВАННЯ ЗАДАЧ

 

Мета: закріпити навички додавання і віднімання двоцифрових чисел, вміння розв'язувати задачі на дві дії; розвивати математичне мовлення; виховувати інтерес до математики.

Хід уроку

I. ОРГАНІЗАЦІЙНИЙ МОМЕНТ

 

II. АКТУАЛІЗАЦІЯ ОПОРНИХ ЗНАНЬ

1. Перевірка домашнього завдання (с. 61, завдання 377; 378)

Завдання 378

— Розкажіть складену задачу, прочитайте її розв’язання.

2. Розв'язування кругових прикладів

3. Творча робота над задачами

• На водяних ліліях сиділи 26 метеликів і кілька бабок. Коли 7 бабок полетіло, то їх залишилося 5.

Придумай різні запитання. Добери вираз, який допоможе знайти відповідь на кожне твоє запитання.

7 + 5

26 + (7 + 5)

26 - (7 + 5)

• Добери числові дані та розв’яжи задачу.

У кошику було [ ] кг яблук і [ ] кг груш. Використали [ ] кг фруктів. Скільки фруктів залишилося?

4. Порівняння виразу і числа

5. Хвилинка каліграфії

— Установіть закономірність і запишіть числа, вставляючи пропущені.

2; 4; 6; 8; 10;...

 

III. ПОВІДОМЛЕННЯ ТЕМИ І МЕТИ УРОКУ

— Сьогодні на уроці ми закріпимо навички додавання і віднімання двоцифрових чисел.

 

IV. ВИВЧЕННЯ НОВОГО МАТЕРІАЛУ

1. Робота за підручником (с. 61-62)

Завдання 379

Один учень працює біля дошки, решта — у зошитах.

Математичний диктант

• Суму чисел 25 і 7 зменшити на 12.

• 65 зменшити на суму чисел 18 і 4.

• Різницю чисел 60 і 12 зменшити на 15.

• 48 збільшити на різницю чисел 42 і 30.

Завдання 380

Учні коментують, як виконали обчислення.

— Яка смужка найкоротша?

Завдання 381

Учні з допомогою вчителя пояснюють кожний спосіб обчислення.

Завдання 382

Учні з місця складають і розв’язують задачу за таблицею. Записують у зошит умову, питання та розв’язання задачі.

Завдання 383*

Один учень біля дошки пояснює.

— Від найбільшого двоцифрового числа відніміть найбільше число четвертого десятка. (99 - 39 = 60)

Завдання 384. Коментоване розв'язування завдання

— Розгляньте малюнок. Що відомо в задачі?

— Складіть і розв’яжіть задачу, в якій потрібно окремо знайти масу ящика винограду і масу ящика слив.

1) 39 - 23 = 16 (кг) — маса ящика слив.

2) 23 - 16 = 7 (кг) — маса ящика винограду.

2. Фізкультхвилинка

 

V. УЗАГАЛЬНЕННЯ Й СИСТЕМАТИЗАЦІЯ ЗНАНЬ

1. Гра «Віконечка»

— Уставте такі числа, щоб рівності стали істинними.

2. Робота над задачею

У Остапа було 25 комп’ютерних ігор. Це на 18 ігор менше, ніж у Богдана. У Іллі було на 4 гри менше, ніж у Богдана. Скільки комп’ютерних ігор було в Іллі?

3. Офтальмологічна пауза

4. Розв'язування логічних задач

• Двоє дівчаток саджали дерева, а одна — квіти. Що саджала Тетянка, якщо Світлана з Ларисою й Лариса з Тетянкою саджали різні рослини? (Дерева)

• У трьох братів 9 зошитів, причому в молодшого на 1 зошит менше, а в старшого на 1 зошит більше, ніж у середнього. Скільки зошитів у кожного? (У молодшого — 2, у середнього — 3, у старшого — 4)

• Вінні-Пуху подарували на день народження діжку з медом масою 7 кг. Коли Вінні-Пух з’їв половину меду, то маса діжки з медом дорівнювала — 4 кг. Скільки кілограмів меду було в діжці спочатку? (7 - 4 = 3; 3 + 3 = 6)

 

VI. ПІДБИТТЯ ПІДСУМКІВ. РЕФЛЕКСІЯ

— Чого навчалися на уроці?

— Яке завдання здалося складним?

 

VII. ДОМАШНЄ ЗАВДАННЯ

С. 62, завдання 385; 386.








Date: 2015-09-05; view: 1126; Нарушение авторских прав



mydocx.ru - 2015-2026 year. (0.451 sec.) Все материалы представленные на сайте исключительно с целью ознакомления читателями и не преследуют коммерческих целей или нарушение авторских прав - Пожаловаться на публикацию