Главная Случайная страница


Полезное:

Как сделать разговор полезным и приятным Как сделать объемную звезду своими руками Как сделать то, что делать не хочется? Как сделать погремушку Как сделать так чтобы женщины сами знакомились с вами Как сделать идею коммерческой Как сделать хорошую растяжку ног? Как сделать наш разум здоровым? Как сделать, чтобы люди обманывали меньше Вопрос 4. Как сделать так, чтобы вас уважали и ценили? Как сделать лучше себе и другим людям Как сделать свидание интересным?


Категории:

АрхитектураАстрономияБиологияГеографияГеологияИнформатикаИскусствоИсторияКулинарияКультураМаркетингМатематикаМедицинаМенеджментОхрана трудаПравоПроизводствоПсихологияРелигияСоциологияСпортТехникаФизикаФилософияХимияЭкологияЭкономикаЭлектроника






Задача 2.2 (8)





Найти закон вращения тела вокруг оси, если известны следующие данные: угловая скорость изменяется пропорционально t2, начальный угол поворота j 0 = 2 рад, для заданного момента времени t1 = 3 с угловое ускорение e 1 = -5 p 1/с2.

Решение

По условию задачи модуль угловой скорости w изменяется пропорционально t2. Обозначая неизвестный коэффициент пропорциональности буквой k, имеем

. (в)

Найдем e, беря производные по времени от обеих частей равенства (в),

.

Определим коэффициент k из условия, что при t1 = 3 с угловое ускорение 1/с2: или .

Подставляя значение k в уравнение (в), получим

.

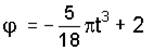
Учитывая, что , будем иметь .

Умножая обе части этого уравнения на dt и интегрируя, находим

.

В начальный момент при t = 0 j 0 = 2 рад, следовательно, c = 2.

Таким образом, радиан.







Date: 2015-09-18; view: 852; Нарушение авторских прав



mydocx.ru - 2015-2026 year. (0.559 sec.) Все материалы представленные на сайте исключительно с целью ознакомления читателями и не преследуют коммерческих целей или нарушение авторских прав - Пожаловаться на публикацию