Главная Случайная страница


Полезное:

Как сделать разговор полезным и приятным Как сделать объемную звезду своими руками Как сделать то, что делать не хочется? Как сделать погремушку Как сделать так чтобы женщины сами знакомились с вами Как сделать идею коммерческой Как сделать хорошую растяжку ног? Как сделать наш разум здоровым? Как сделать, чтобы люди обманывали меньше Вопрос 4. Как сделать так, чтобы вас уважали и ценили? Как сделать лучше себе и другим людям Как сделать свидание интересным?


Категории:

АрхитектураАстрономияБиологияГеографияГеологияИнформатикаИскусствоИсторияКулинарияКультураМаркетингМатематикаМедицинаМенеджментОхрана трудаПравоПроизводствоПсихологияРелигияСоциологияСпортТехникаФизикаФилософияХимияЭкологияЭкономикаЭлектроника






Завдання №4





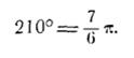
Задача 26.1. При швартовні судна матрос накладає канат вісімкою на чавунні стовпи (рис.26.1). Натяг канату дорів-нює Q, сила, з якою матрос утримує канат, дорівнює Р. Кут обхвату канатом кожного стовпа дорівнює 210°.

Визначити коефіцієнт тертя канату об стовпи, якщо відомо, що матрос може утримати канат наклавши три ві-сімки. Вважаючи коефіцієнт тертя канату об чавунний стовп рівним f = 0,15, визначити величину натягу, якого матрос здатний утримати, якщо сила Р = 60 кГ.

Розв'язання:

Кут захвату канатом одного стовпа дорівнює

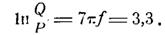
При накладенні трьох вісімок кут охоплення канатом стовпів буде в шість разів більше, тобто, 7п. Тоді в залежність натяжений двох кінців каната визначиться формулою:

 


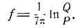
Логорифмуючи знаходимо шуканий коефіцієнт тертя між канатом і чавунним стовпом:

(1)

Із (1) маємо

 
 

 


Звідси при заданих значеннях f та P:

і

 

 

Таким чином наклавши три вісімки на чавунні стовпи, матрос може утримати в рівновазі канат, до другого кінця якого прикладена сила, що дорівнює 1620 кГ.

 

 


 







Date: 2015-09-18; view: 301; Нарушение авторских прав



mydocx.ru - 2015-2026 year. (0.639 sec.) Все материалы представленные на сайте исключительно с целью ознакомления читателями и не преследуют коммерческих целей или нарушение авторских прав - Пожаловаться на публикацию