Главная Случайная страница


Полезное:

Как сделать разговор полезным и приятным Как сделать объемную звезду своими руками Как сделать то, что делать не хочется? Как сделать погремушку Как сделать так чтобы женщины сами знакомились с вами Как сделать идею коммерческой Как сделать хорошую растяжку ног? Как сделать наш разум здоровым? Как сделать, чтобы люди обманывали меньше Вопрос 4. Как сделать так, чтобы вас уважали и ценили? Как сделать лучше себе и другим людям Как сделать свидание интересным?


Категории:

АрхитектураАстрономияБиологияГеографияГеологияИнформатикаИскусствоИсторияКулинарияКультураМаркетингМатематикаМедицинаМенеджментОхрана трудаПравоПроизводствоПсихологияРелигияСоциологияСпортТехникаФизикаФилософияХимияЭкологияЭкономикаЭлектроника






Складання швидкостей





Теорема про додавання швидкостей при складному русі точки. Розглянемо складний рух точки М, яка у відносному русі переміщується відносно рухомої системи координат Oxyz та здійснює абсолютне переміщення відносно нерухомої системи відліку О1x1y1z1 (рис. 4).

 

Рис. 4


 

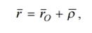
Положення точки М у відношенні до нерухомої системи координат О1x1y1z1 у кожний момент часу визначається

де – радіус-вектор точки О, в якій розміщено початок рухомої системи координат Oxyz,

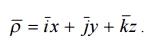
r – радіус-вектор точки М у відношенні до рухомої системи координат Oxyz. Вважаючи, що координати точки М у рухомій системі координат будуть x, y, z, визначимо:

 

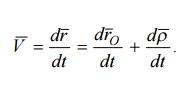
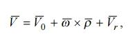
Диференціюючи залежність за часом, знайдемо абсолютну швидкість точки

 

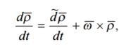
Абсолютна похідна від вектора r, який змінюється в рухомій системі координат, визначається формулою

де w – кутова швидкість обертання рухомої системи координат,

– відносна швидкість точки.


 

Підставляючи ці значення у формулу, одержимо:

де – швидкість початку рухомої системи координат відносно нерухомої системи координат. Враховуючи, що переносна швидкість, це швидкість точки m рухомої системи, через яку в даний момент проходить рухома точка M, тобто

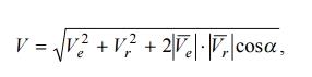
Абсолютна швидкість точки при її складному русі дорівнює геометричній сумі переносної та відносної iвидкостей. Направлені вектори за дотичними до відповідних траєкторій. Модуль абсолютної швидкості точки визначається за формулою

де тобто a – кут між векторами .

 
 


 








Date: 2015-09-18; view: 500; Нарушение авторских прав



mydocx.ru - 2015-2026 year. (1.377 sec.) Все материалы представленные на сайте исключительно с целью ознакомления читателями и не преследуют коммерческих целей или нарушение авторских прав - Пожаловаться на публикацию