Главная Случайная страница


Полезное:

Как сделать разговор полезным и приятным Как сделать объемную звезду своими руками Как сделать то, что делать не хочется? Как сделать погремушку Как сделать так чтобы женщины сами знакомились с вами Как сделать идею коммерческой Как сделать хорошую растяжку ног? Как сделать наш разум здоровым? Как сделать, чтобы люди обманывали меньше Вопрос 4. Как сделать так, чтобы вас уважали и ценили? Как сделать лучше себе и другим людям Как сделать свидание интересным?


Категории:

АрхитектураАстрономияБиологияГеографияГеологияИнформатикаИскусствоИсторияКулинарияКультураМаркетингМатематикаМедицинаМенеджментОхрана трудаПравоПроизводствоПсихологияРелигияСоциологияСпортТехникаФизикаФилософияХимияЭкологияЭкономикаЭлектроника






д. Политропные процессы





Политропным называется процесс, протекающий при постоянном значении истинной теплоемкости: c=dq/dt=const.

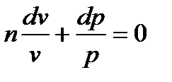
1. Вывод уравнения процесса аналогичен выводу уравнения адиабатного процесса. Используются две формы уравнения 1-го закона термодинамики для идеального газа ( и ). Заменяя в этих уравнениях dq из формулы (5.9), получим .

Разделим правое уравнение на левое по частям: .

Обозначая , будем иметь дифференциальное уравнение

Поэтому решение его будет

(6.36)

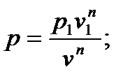
Величина n называется показателем политропы. Если считать Сp и Сv не зависящими от температуры, то, по определению политропного процесса, будет соблюдаться условие n=const. Часто понятие политропного процесса устанавливается непосредственно на основе уравнения (6.36). Именно политропным называют процесс, при котором параметры состояния p и v связаны уравнением (6.36), где показатель n есть постоянная. Из того факта, что уравнения адиабатного и политропного процессов имеют одинаковый вид, следует, что полученные на их основе равенства будут также формально одинаковы; нужно только всюду заменить k на n:

2.

3.

(6.37)

4. Формула теплоемкости политропного процесса выводится из определения показателя политропы:

. (6.38)

Таким образом, зная показатель политропы и изохорную теплоемкость, можно вычислить теплоемкость любого политропного процесса. Количество теплоты определяется на основе понятия теплоемкости по обычной формуле:

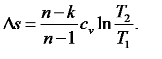
5. Изменение энтропии найдем, заменяя в () dq на cndT и интегрируя полученное равенство: или, с учетом (6.38),

6. Будем придавать показателю политропы n в уравнении (6.36) частные значения. При n=0 получим p=const – уравнение изобарного процесса. При n=1 будет pv=const – уравнение изотермического процесса T=const. При n=k уравнение (6.36) преобразуется в (6.29) – уравнение адиабатного процесса. Возведем теперь обе части равенства (6.36) в степень 1/ n и положим n → ± ∞; при этом 1/ n обратится в ноль и уравнение (6.36) перейдет в уравнение изохорного процесса v=const. Таким образом, все изученные ранее процессы являются лишь частными случаями политропного процесса. Следовательно, понятие политропного процесса является обобщающим. При выводе уравнения политропы никаких ограничений на величину n не накладывалось, поэтому можно считать, что n может принимать бесчисленное множество значений в интервале от -∞ до +∞ и, следовательно, существует бесчисленное множество политропных процессов.

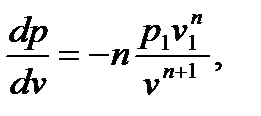
Перейдем к изображению политропных процессов в pv - диаграмме. Предварительно установим связь между показателем политропы и тангенсом угла наклона касательной к политропе в заданной точке (p1,v1). Для этого найдем производную dp/dv с помощью уравнения (6.36), считая постоянную в правой части уравнения равной :

при (6.39)

Из формулы (6.39) непосредственно вытекают следующие правила:

А. Знак тангенса угла наклона касательной противоположен знаку показателя политропы, т.е. политропы с положительным показателем располагаются во втором и четвертом квадрантах диаграммы pv, а политропы с отрицательным показателем – в первом и третьем.

Б. В pv -диаграмме адиабата (n=k >1), проходящая через некоторую точку, расположена круче изотермы (n=1), проходящей через ту же точку.

В. При переходе от одной политропы к другой по часовой стрелке показатель политропы изменяется от -∞ (на изохоре) через 0 до +∞ (на изохоре). Различные политропы в pv -диаграмме изображены на рис. 6.7,а.

Изобразим также известные нам из предыдущего изложения политропы в Ts - диаграмме (рис. 6.7,б). Легко заметить, что порядок расположения политроп в Ts – диаграмме такой же, как и в pv - диаграмме, т.е. при переходе от одной политропы к другой по часовой стрелке показатель политропы возрастает от -∞ до +∞.

Рис. 6.7. Изображение различных политроп

Из равенства можно получить выражение для тангенса угла наклона касательной к политропе в Тs - диаграмме: .

Поскольку T есть величина существенно положительная, знак тангенса угла наклона касательной совпадает со знаком теплоемкости процесса. Отсюда следует, что политропы, расположенные во втором и четвертом квадрантах Тs - диаграммы, имеют отрицательную теплоемкость. Смысл отрицательной теплоемкости заключается в том, что в данном процессе при подводе теплоты температура тела уменьшается, и наоборот. При переходе от одной политропы к другой по часовой стрелке теплоемкость данного политропного процесса увеличивается от -∞ (на изотерме) через 0 до +∞ (на изотерме). Уточняя сказанное ранее, можно утверждать, что теплоемкость политропного процесса при n→1 стремится к ± ∞. Изображение процесса в Ts - диаграмме дает важную информацию о направлении преобразования энергии в данном процессе. В частности, можно установить направление теплообмена (подвод или отвод теплоты), знак изменения температуры и внутренней энергии, теплоемкости процесса. Поэтому полезно научиться строить в Ts - диаграмме примерный график процесса, заданного своим изображением в pv – диаграмме.


 







Date: 2015-09-18; view: 1517; Нарушение авторских прав



mydocx.ru - 2015-2026 year. (0.289 sec.) Все материалы представленные на сайте исключительно с целью ознакомления читателями и не преследуют коммерческих целей или нарушение авторских прав - Пожаловаться на публикацию