Главная Случайная страница


Полезное:

Как сделать разговор полезным и приятным Как сделать объемную звезду своими руками Как сделать то, что делать не хочется? Как сделать погремушку Как сделать так чтобы женщины сами знакомились с вами Как сделать идею коммерческой Как сделать хорошую растяжку ног? Как сделать наш разум здоровым? Как сделать, чтобы люди обманывали меньше Вопрос 4. Как сделать так, чтобы вас уважали и ценили? Как сделать лучше себе и другим людям Как сделать свидание интересным?


Категории:

АрхитектураАстрономияБиологияГеографияГеологияИнформатикаИскусствоИсторияКулинарияКультураМаркетингМатематикаМедицинаМенеджментОхрана трудаПравоПроизводствоПсихологияРелигияСоциологияСпортТехникаФизикаФилософияХимияЭкологияЭкономикаЭлектроника






А. Изобарный процесс





1. По определению процесса

p=const (6.10)

Используя уравнение Клапейрона , уравнение процесса можно еще представить в виде .

2. На основании последнего выражения .

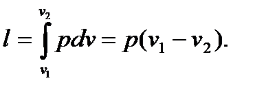
3. Пользуясь уравнением процесса p=const, по формуле получаем:

(6.11)

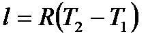
Это выражение можно преобразовать на основе уравнения Клапейрона к виду . Отсюда вытекает механическая трактовка газовой постоянной: она численно равна удельной работе изменения объема при изобарном нагревании газа на 1 град.

Из (6.10) следует dp=0, так что техническая работа изобарного процесса, . Выясним смысл этого обстоятельства. При изобарном процессе изменение потенциальной энергии давления внешней среды равно

, т.к. p2=p1=p.

Как видим, работа изменения объема в точности равна работе проталкивания, поэтому в данном процессе никакой полезной работы не совершается.

4. Теплоемкость изобарного процесса обычно определяется по справочным данным. Формулы для количества теплоты процесса являются следствием формул (6.1) и (6.2):

; (6.12)

Из уравнения 1-го закона термодинамики в форме при вытекает:

; . (6.13)

Формула (6.13) справедлива не только для идеального газа, но и для любых других веществ, так как она получена из общего выражения первого закона.

5. Используя определение дифференциала энтропии и подставляя вместо dq первое из выражений (6.11), получим . Чтобы найти изменение энтропии в конечном изобарном процессе, нужно проинтегрировать последнее уравнение. При этом, если истинная изобарная теплоемкость не зависит от температуры (cp=const), то получится

В большинстве случаев зависимость cp от температуры должна учитываться, поэтому формула для изменения энтропии будет иметь вид

(6.14)

6. Из самого определения процесса p=const следует, что в pv - диаграмме изобарный процесс представляет собой отрезок горизонтальной прямой (рис. 6.1). Вид процесса в Ts -диаграмме легко установить на основе формулы (6.14). Перепишем эту формулу, полагая T1 и S1 фиксированными, а T2 и S2 - переменными: .

Отсюда видно, что изобара в Ts - диаграмме представляет собой логарифмическую кривую (см. рис. 6.1). Установим соответствие между направлениями процесса в обеих диаграммах. По закону Гей-Люссака, увеличению объема при изобарном процессе соответствует увеличение температуры. Следовательно, направлению изобары в pv - диаграмме вправо соответствует направление в Ts - диаграмме также вправо. На рис. 6.1 соответствующие точки в диаграммах обозначены одинаковыми цифрами. Из Ts -диаграммы следует, что при dq>0 dT>0, так что теплоемкость изобарного процесса есть величина положительная.

Рис. 6.1. Изображение изобарного процесса.

7. Изобарные процессы с газами чрезвычайно широко распространены в технике. Так, процесс нагревания или охлаждения протекающего газа в любом теплообменном аппарате является изобарным. Примерами таких теплообменных аппаратов являются воздухоподогреватели доменных и мартеновских печей, котельные установки, калориферы и т.д. Изобарный процесс также является составной частью цикла ДВС Дизеля.







Date: 2015-09-18; view: 1204; Нарушение авторских прав



mydocx.ru - 2015-2026 year. (0.462 sec.) Все материалы представленные на сайте исключительно с целью ознакомления читателями и не преследуют коммерческих целей или нарушение авторских прав - Пожаловаться на публикацию