Главная Случайная страница


Полезное:

Как сделать разговор полезным и приятным Как сделать объемную звезду своими руками Как сделать то, что делать не хочется? Как сделать погремушку Как сделать так чтобы женщины сами знакомились с вами Как сделать идею коммерческой Как сделать хорошую растяжку ног? Как сделать наш разум здоровым? Как сделать, чтобы люди обманывали меньше Вопрос 4. Как сделать так, чтобы вас уважали и ценили? Как сделать лучше себе и другим людям Как сделать свидание интересным?


Категории:

АрхитектураАстрономияБиологияГеографияГеологияИнформатикаИскусствоИсторияКулинарияКультураМаркетингМатематикаМедицинаМенеджментОхрана трудаПравоПроизводствоПсихологияРелигияСоциологияСпортТехникаФизикаФилософияХимияЭкологияЭкономикаЭлектроника






Г. Адиабатный процесс





Адиабатным называется процесс, протекающий без теплообмена газа с внешней средой, т.е. при dq= 0. При этом из формулы и следует, что ds= 0 и s=const. Следовательно, можно дать и другое определение процесса: адиабатным называется квазистатический процесс, протекающий при постоянной энтропии.

1. Для вывода уравнения процесса запишем 2 формы уравнения 1-го закона термодинамики:

; .

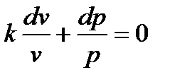
С учетом определения процесса dq=0 будем иметь .

Разделим правое уравнение на левое по частям: .

Обозначая отношение буквой k и считая k величиной постоянной, получим следующее простое дифференциальное уравнение: , интегрирование которого дает

; . (6.29)

Величина k называется показателем адиабаты; он зависит от рода газа и от температуры. Чтобы сохранить простой вид уравнения процесса, показатель адиабаты в технических расчетах обычно считают не зависящим от температуры, полагая . Принимая значения теплоемкостей по таблице, можно найти приближенное значение k. Например, для двухатомных газов k =7/5=1,4. Поскольку Сp>Сv, всегда k>1. С помощью уравнения нетрудно получить и другие формы уравнения процесса, а именно относительно переменных Т и v , ;

относительно переменных T и p , .

2. Формулы соотношения параметров получаются из приведенных выше уравнений процесса:

(6.30)

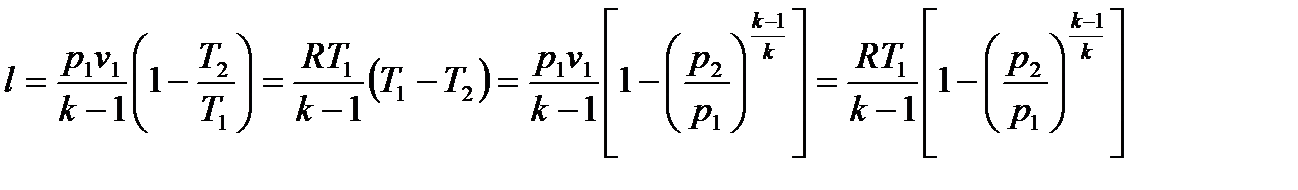
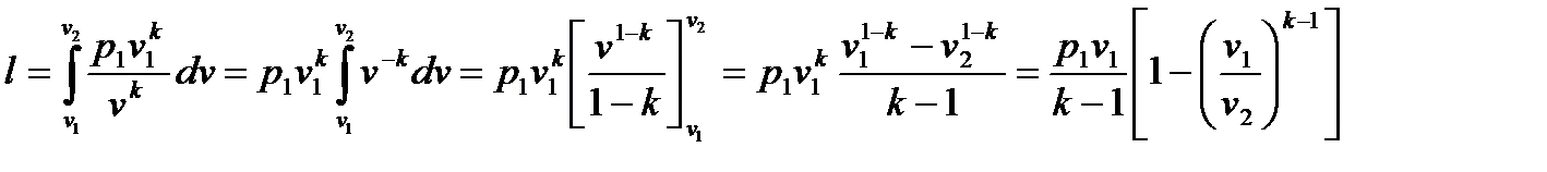
3. Работу изменения объема найдем по формуле (5.2), выражая p под знаком интеграла из (6.29) и принимая значение постоянной равным p1v1k:

.

Используя соотношения (6.30) и уравнение , можно формулу работы изменения объема представить в разных формах:

(6.31)

Техническую работу найдем из уравнения 1-го закона термодинамики . Полагая в этом уравнении dq=0, получим

, . (6.32)

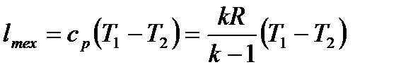
Так как уравнение является совершенно общим, формула (6.32) справедлива для всех веществ. В частном случае идеального газа dh=cpdT, при cp=const получим:

(6.33)

или (6.34)

Справедливость замены легко проверить (см. уравнение Майера). Сравнивая формулы (6.31) и (6.34), получаем . Из уравнения первого закона термодинамики в форме (dq = du + pdv) выводится и общее выражение работы изменения объема адиабатного процесса, пригодное для любых веществ: или . (6.35)

Следовательно, в адиабатном процессе работа изменения объема совершается за счет убыли внутренней энергии рабочего тела.

4 и 5. Эти пункты плана в данном случае сводятся к повторению определения процесса: .Отсюда следует, что теплоемкость адиабатного процесса равна нулю (dt ≠0).

6. Из уравнения процесса (6.29) вытекает, что адиабата в pv - диаграмме представляет собой дугу кривой линии, соответствующей степенной функции с отрицательным показателем (рис. 6.6).

В Ts - диаграмме адиабата изображается отрезком прямой линии, параллельной оси T, как следует из уравнения процесса s=const. Соответствие между направлениями процесса в указанных диаграммах установим с помощью формулы работы (6.31). При возрастании объема работа будет положительной; при этом, по формуле (6.31) должно быть Т1 > Т2. Таким образом, направлению адиабаты в pv -диаграмме вниз соответствует направление в Ts - диаграмме также вниз.

Рис. 6.6. Изображение адиабатного процесса

7. Адиабатный процесс является весьма распространенным в технике. Обычно процесс сжатия или расширения газа, протекающий настолько быстро, что газ не успевает обмениваться теплом с окружающей средой, считается адиабатным. К числу таких процессов относятся: сжатие газа в компрессоре с неохлаждаемым цилиндром, сжатие и расширение газов в двигателях внутреннего сгорания и газотурбинных установках и.т.д.







Date: 2015-09-18; view: 661; Нарушение авторских прав



mydocx.ru - 2015-2026 year. (1.474 sec.) Все материалы представленные на сайте исключительно с целью ознакомления читателями и не преследуют коммерческих целей или нарушение авторских прав - Пожаловаться на публикацию