Главная Случайная страница


Полезное:

Как сделать разговор полезным и приятным Как сделать объемную звезду своими руками Как сделать то, что делать не хочется? Как сделать погремушку Как сделать так чтобы женщины сами знакомились с вами Как сделать идею коммерческой Как сделать хорошую растяжку ног? Как сделать наш разум здоровым? Как сделать, чтобы люди обманывали меньше Вопрос 4. Как сделать так, чтобы вас уважали и ценили? Как сделать лучше себе и другим людям Как сделать свидание интересным?


Категории:

АрхитектураАстрономияБиологияГеографияГеологияИнформатикаИскусствоИсторияКулинарияКультураМаркетингМатематикаМедицинаМенеджментОхрана трудаПравоПроизводствоПсихологияРелигияСоциологияСпортТехникаФизикаФилософияХимияЭкологияЭкономикаЭлектроника






Б. Изохорный процесс





1. Изохорным называется процесс, протекающий при постоянном удельном объеме газа. Его уравнение

. (6.15)

Из уравнения Клапейрона следует

. (6.16)

2. Из уравнения (6.16) .

3. По уравнению процесса (6.15) dv=0, поэтому работа изменения объема в изохорном процессе равна нулю. Техническую работу найдем по формуле

.

В данном случае полезная внешняя работа совершается за счет убыли потенциальной энергии давления внешней среды. Это обстоятельство можно наглядно пояснить на уже знакомом нам примере с газом, который заключен в цилиндре с подвижным поршнем. Заменяя давление среды весом поставленного на поршень груза, увидим, что для совершения изохорного процесса по мере уменьшения давления газа в цилиндре необходимо постепенно разгружать поршень. При опускании частей груза, снятых с поршня, на некоторый нулевой уровень и будет совершаться техническая работа.

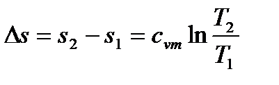
4. Теплоемкость изохорного процесса определяется либо по справочным данным, либо по уравнению Майера, для чего нужно предварительно найти изобарную теплоемкость. Количество теплоты вычисляется по из­вестной теплоемкости:

; . (6.17)

Для определения количества теплоты можно использовать и более общее выражение, которое вытекает из уравнения первого закона термодинамики в форме dq = du + pdv при dv= 0:

; . (6.18)

Формула (6.18) справедлива для любых веществ.

5. Совершенно также, как и при изобарном процессе, получим

при ;

при . (6.19)

6. Из определения процесса (6.15) следует, что изохора в pv - диаграмме изображается отрезком прямой линии, перпендикулярной оси v (рис. 6.2).

Рис. 6.2. Изображение изохорного процесса Рис. 6.3. Расположение изобар и изохор

Из уравнения (6.19) получим, что в Тs - диаграмме изохора представляет собой логарифмическую кривую (рис. 6.3).

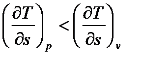
В соответствии с законом Шарля увеличению давления соответствует увеличение температуры, поэтому направлению изохоры в рv -диаграмме вверх соответствует направление в Ts - диаграмме также вверх. Можно показать, что cv - есть величина положительная. Сравним изображения изобары и изохоры в Ts - диаграмме. Как следует из определений дифференциала энтропии и истинной теплоемкости , при P=const; при V=const, или . Последние выражения дают не что иное, как тангенс угла наклона касательный к изобаре и изохоре в диаграмме Ts. При одинаковых температурах, например, в точке пересечения изобары и изохоры, наклон этих кривых будет зависеть от величины теплоемкости. Но, согласно уравнению Майера, cp>cv и .Следовательно, в Ts - диаграмме изохора, проходящая через некоторую точку, расположена круче изобары, проходящей через ту же точку (рис. 6.3).

7. Изохорный процесс встречается в технике гораздо реже, чем изобарный. Примером изохорного процесса является процесс нагревания или охлаждения газа в закрытом сосуде. Изохорный процесс является составной частью цикла карбюраторных двигателей внутреннего сгорания.







Date: 2015-09-18; view: 1950; Нарушение авторских прав



mydocx.ru - 2015-2026 year. (1.502 sec.) Все материалы представленные на сайте исключительно с целью ознакомления читателями и не преследуют коммерческих целей или нарушение авторских прав - Пожаловаться на публикацию