Схемы движения рабочих жидкостей в теплообменниках
В зависимости от того, осуществляется ли прямоток или противоток и W 1 больше или меньше, чем W 2, получаются 4 характерные пары кривых изменения температуры вдоль поверхности нагрева, представленные на рисунке 6.2. Здесь по осям абсцисс отложена площадь поверхности нагрева F, а по осям ординат – температура рабочих жидкостей.
Рис. 6.2. Характер изменения температур рабочих жидкостей при прямотоке (а) и противотоке (б).
В соответствии с уравнением (6.5) на графиках большее изменение температуры получается для той жидкости, у которой значение величины W меньше.
Из рассмотрения графиков следует, что при прямотоке конечная температура холодной жидкости всегда ниже конечной температуры горячей жидкости . При противотоке же конечная температура холодной жидкости может быть выше конечной температуры горячей . Следовательно, при одной и той же начальной температуре холодной жидкости при противотоке ее можно нагреть до более высокой температуры, чем при прямотоке.
Температурный напор вдоль поверхности при прямотоке изменяется сильнее, чем при противотоке. Вместе с тем среднее значение температурного напора при противотоке больше, чем при прямотоке. За счет только этого фактора при противотоке теплообменник получается компактней. Однако если температура хотя бы одной из рабочих жидкостей постоянна, то среднее значение температурного напора независимо от схемы движения оказывается одним и тем же. Так именно получается при кипении жидкостей и при конденсации паров.
Рассмотрев общие уравнения теплового расчета аппаратов и уяснив температурные условия работы теплообменников, перейдем теперь к более подробному рассмотрению величин, входящих в уравнение (6.3).
2. Средний температурный напор. При выводе формулы осреднения температурного напора рассмотрим простейший теплообменный аппарат, работающий по схеме прямотока. Количество теплоты, передаваемое в единицу времени от горячей жидкости к холодной через элемент поверхности dF (рис. 6.3.), определяется уравнением
. (6.6)
При этом температура горячей жидкости понизится на dt1, а холодной повысится на dt2. Следовательно,
(6.7)
откуда
; (6.8)
. (6.9)
Изменение температурного напора при этом
. (6.10)
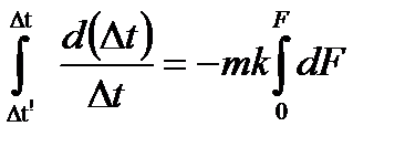
Подставляя в уравнение (6.10) значение dQ из уравнения (6.6), получим:
. (6.11)
Обозначим через и произведем разделение переменных:
. (6.12)
Если значения m и k постоянны, то, интегрируя уравнение (6.12), получаем:

или
, (6.13)
откуда
, (6.14)
где - местное значение температурного напора, относящееся к элементу поверхности теплообмена.
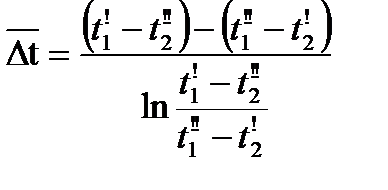
Из уравнения (6.14) видно, что вдоль поверхности нагрева температурный напор изменяется по экспоненциальному закону. Зная этот закон, легко установить и среднее значение температурного напора .
(6.15)
или
(6.15.а)
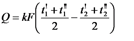
Такое значение температурного напора называется среднелогарифмическим.
Точно таким же образом выводится формула осредненного температурного напора и для противотока. Отличие лишь в том, что в правой части уравнения (6.9) следует поставить знак минус, и здесь . Окончательная формула для среднего температурного напора при противотоке имеет вид:
(6.16)
При равенстве величин W1 и W2 в случае противотока из уравнения (6.14) имеет: . В этом случае температурный напор по всей поверхности постоянен:
(6.17)
В тех случаях, когда температура рабочих жидкостей вдоль поверхности нагрева изменяется незначительно, средний температурный напор можно вычислить как среднелогарифмическое из крайних напоров:
(6.18)
Для аппаратов с перекрестным и смешанным током рабочих жидкостей задача об усреднении температурного напора отличается сложностью математических выкладок. Поэтому для наиболее часто встречающихся случаев результаты решения обычно представляются в виде графиков.
3. Коэффициент теплопередачи. При расчете теплообменных аппаратов возникают трудности с определением значения коэффициента теплопередачи k. Эти затруднения в основном определяются изменением температуры рабочих жидкостей и сложностью геометрической конфигурации поверхности теплообмена. Точно учесть влияние эти факторов очень трудно. Специфические же особенности процесса теплообмена в рассчитываемых аппаратах учитываются при выборе значений коэффициентов теплоотдачи , которые входят в формулу для коэффициента теплопередачи.
Необходимо учитывать влияние на коэффициент теплопередачи изменения температуры рабочих жидкостей. Иногда вычисления коэффициента теплопередачи производят по температурам рабочих жидкостей в начале и в конце поверхности нагрева. Если полученные значения k! и k!! друг от друга отличаются не очень сильно, то среднеарифметическое из них принимается за среднее значение k.
(6.19)
В случае же сильного расхождения между собой значений k! и k!! необходимо разделить поверхность нагрева на отдельные участки, в пределах которых коэффициент теплопередачи изменяется незначительно, и для каждого такого участка расчет теплопередачи производить отдельно.
Так же поступают и в тех случаях, когда резко меняются условия омывания поверхности нагрева рабочей жидкостью, например, в нижней части поверхности нагрева поперечное омывание, в средней - продольное и в верхней – снова поперечное. Если при этом температура рабочей жидкости изменяется незначительно, то применяется осреднение:
, (6.20)
4. Расчет конечной температуры рабочих жидкостей. Выше конечной целью теплового расчета являлось определение площади поверхности нагрева и основных размеров теплообменника для его дальнейшего конструирования. Предположим теперь, что теплообменник уже имеется или по крайней мере спроектирован. В этом случае целью теплового расчета является определение конечных температур рабочих жидкостей. Это – так называемый поверочный расчет.
При решении такой задачи известными являются следующие величины: площадь поверхности нагрева F, коэффициент теплопередачи k, величины W1 и W2 и начальные температуры и , а искомыми: конечные температуры и и количество переданной теплоты Q.
В приближенных расчетах можно исходить из следующих представлений. Количество теплоты, отдаваемое горячей жидкостью, равно:
, (6.21)
откуда конечная температура ее определяется соотношением
. (а)
Соответственно для холодной жидкости имеем:
, (6.22)
и
. (б)
Если принять, что температуры рабочих жидкостей меняются по линейному закону, то
. (в)
Вместо неизвестных и подставим их значения из уравнения (а) и (б), тогда получим:
. (г)
Произведя дальнейшее преобразование, получим:
, (д)
откуда окончательно получаем:
. (6.23)
Зная количество переданной теплоты Q, очень просто по формулам (а) и (б) определить и конечные температуры рабочих жидкостей и .
Приведенная схема расчета хотя и проста, однако применима лишь для ориентировочных расчетов и в случае небольших изменений температур жидкостей. Поэтому для прямотока и противотока приводится вывод более точных формул.
5. Влияние тепловых потерь и проницаемости стенок. Все вышеприведенные формулы справедливы для случая, когда тепловые потери во внешнюю среду равны нулю. В действительности они всегда имеются. Учесть их влияние можно, однако расчетные формулы при этом становятся достаточно сложными. Поэтому для учета влияния тепловых потерь в практике обычно применяется приближенный метод, который состоит в следующем.
Тепловые потери горячей жидкости вызывают более сильное падение ее температуры. Поэтому влияние потерь в окружающую среду можно учесть, изменив водяной эквивалент теплоотдающей жидкости в тепловом аппарате таким образом, чтобы в последнем происходило такое же понижение температуры, как и при потоке с действительным водяным числом при наличии тепловых потерь. Тепловые потери со стороны холодной жидкости оказывают обратное влияние, они уменьшают повышение температуры жидкости, что приводит к кажущемуся увеличению ее водяного эквивалента.
Если потери теплоты составляет р % к общему количеству передаваемой теплоты, то вместо действительного значения W в расчетные формулы следует подставить значение W!, которое определяется следующим образом:
.
Знак «-» берется для горячей, а знак «+» для холодной жидкости.
При таком способе учета внешних тепловых потерь все приведенные выше формулы для расчета конечных температур можно принять без какого-либо изменения.
Date: 2015-09-18; view: 852; Нарушение авторских прав | Понравилась страница? Лайкни для друзей: |
|
|