Главная Случайная страница


Полезное:

Как сделать разговор полезным и приятным Как сделать объемную звезду своими руками Как сделать то, что делать не хочется? Как сделать погремушку Как сделать так чтобы женщины сами знакомились с вами Как сделать идею коммерческой Как сделать хорошую растяжку ног? Как сделать наш разум здоровым? Как сделать, чтобы люди обманывали меньше Вопрос 4. Как сделать так, чтобы вас уважали и ценили? Как сделать лучше себе и другим людям Как сделать свидание интересным?


Категории:

АрхитектураАстрономияБиологияГеографияГеологияИнформатикаИскусствоИсторияКулинарияКультураМаркетингМатематикаМедицинаМенеджментОхрана трудаПравоПроизводствоПсихологияРелигияСоциологияСпортТехникаФизикаФилософияХимияЭкологияЭкономикаЭлектроника






Рекуперативные аппараты





1. Основные положения теплового расчета. Тепловой расчет теплообменного аппарата может быть конструкторским, целью которого является определение площади поверхности теплообмена, и поверочным, при котором устанавливается режим работы аппарата и определяются конечные температуры теплоносителей. В обоих случаях основными расчетными уравнениями являются:

уравнение теплопередачи:

(6.1)

и уравнение теплового баланса

(6.2)

где

- количество теплоты, отданное горячим теплоносителем;

- количество теплоты, воспринятое теплоносителем;

- потери теплоты в окружающую среду; - массовые расходы горячего и холодного теплоносителей; - удельные теплоемкости теплоносителей при постоянном объеме; - температуры горячего теплоносителя на входе и на выходе из аппарата; - температуры холодного теплоносителя на входе и на выходе его из аппарата.

В общем случае температура рабочих жидкостей в теплообменниках изменяется: горячая охлаждается, а холодная нагревается. Вместе с этим изменяется и температурный напор между ними.

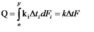
Общее количество теплоты, переданное через всю поверхность, определяется интегралом выражения:

. (6.3)

Это и есть расчетное выражение теплопередачи.

В тепловых расчетах важное значение имеет величина, называемая водяным эквивалентом W, Дж/(с*оС) или Вт/оС:

(6.4)

где - массовый расход теплоносителя; - скорость теплоносителя; - плотность теплоносителя; - площадь сечения канала.

Если величину W ввести в уравнение теплового баланса (2), то оно примет вид

,

откуда

. (6.5)

Последнее означает, что изменение температур рабочих жидкостей обратно пропорционально отношению их водяных эквивалентов. Такое соотношение справедливо как для всей поверхности нагрева F, так и для каждого его элемента dF.

Характер изменения температуры рабочих жидкостей вдоль поверхности нагрева зависит от схемы их движения и соотношения величин W1 и W2. Если в теплообменном аппарате горячая и холодная жидкости протекают параллельно и в одном направлении, то такая схема движения называется прямотоком (рис. 6.1.а). Если жидкости протекают параллельно, но в прямо противоположном направлении, - противотоком (рис. 6.1.б). И если жидкости протекают в перекрестном направлении, - перекрестным (рис. 6.1.в). Помимо таких простых схем движения, на практике осуществляются и сложные: одновременно прямоток и противоток (рис. 6.1.г), многократно перекрестный ток (рис. 6.1.д-ж).







Date: 2015-09-18; view: 622; Нарушение авторских прав



mydocx.ru - 2015-2026 year. (0.072 sec.) Все материалы представленные на сайте исключительно с целью ознакомления читателями и не преследуют коммерческих целей или нарушение авторских прав - Пожаловаться на публикацию