Главная Случайная страница


Полезное:

Как сделать разговор полезным и приятным Как сделать объемную звезду своими руками Как сделать то, что делать не хочется? Как сделать погремушку Как сделать так чтобы женщины сами знакомились с вами Как сделать идею коммерческой Как сделать хорошую растяжку ног? Как сделать наш разум здоровым? Как сделать, чтобы люди обманывали меньше Вопрос 4. Как сделать так, чтобы вас уважали и ценили? Как сделать лучше себе и другим людям Как сделать свидание интересным?


Категории:

АрхитектураАстрономияБиологияГеографияГеологияИнформатикаИскусствоИсторияКулинарияКультураМаркетингМатематикаМедицинаМенеджментОхрана трудаПравоПроизводствоПсихологияРелигияСоциологияСпортТехникаФизикаФилософияХимияЭкологияЭкономикаЭлектроника






Приклад виконання завдання





До системи однорідних тіл 1 та 2 (рис. 8.11), що обертаються з кутовою швидкістю = 6с-1, прикладається обертальний момент М = (3 + 7t) Н • м. Знайти статичні та додаткові динамічні реакції циліндричних шарнірів А і В при t1 = 2с, якщо:

 

m1=3 кг; m2=5 кг; е1=0,1 мм;е2= 0,3 мм; l1= 0,25 м; l2 = 0,25 м; а = 0,05 м; b = 0,15 м; R1=0,1 м; R2=0,2 м.

 

Розв'язання. Переміщенню тіл 1 та 2 (рис 8.11) перешкоджають в'язі: нерухомі (циліндричні) шарніри А і В. На підставі аксіоми звільнення від


 

 

Рисунок 8.1


 

 

Рисунок 8.2


 

Рисунок 8.3


 

 

Рисунок 8.4


 

 

 

Рисунок 8.5


 

Рисунок 8.6


 

 

 

Рисунок 8.7


 

 

Рисунок 8.8


 

 

Рисунок 8.9


 

 

Рисунок 8.10


в'язей, дію шарнірів А і В та тіла замінюємо реакціями в'язей – YA, XA, YB, XB (рис. 8.12).

Рисунок 8.11

Реакції YA, XA, YB, XB запишемо як суму статичних YAC, XAC, YBC, XBC та додаткових динамічних реакцій YAД, XAД, YBД, XBД.

YA = YAC + YAД, XA = XAC + XAД, (8.1)

YB = YBC + YBД, XB = XBC + XBД.

Рисунок 8.12

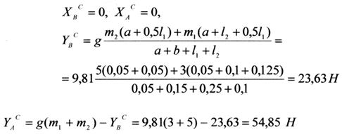
Статичні реакції в'язей визначаються при = 0, = 0 з рівнянь (рис.8.12):


 

Розв'язуючи систему рівнянь, маємо:


 

 


 

таким чином маємо: RAC = 54,85 Н, RBC = 23,63 Н.

Запишемо рівняння для визначення додаткових динамічних реакцій в'язей:

 

де - кутове прискорення і - кутова швидкість тіл при t1 = 2 с,

Ixzi і Iуzi - доцентрові моменти інерції тіл (i = 1,2).

Кутову швидкість та кутове прискорення тіл знайдемо із диференціального рівняння руху тіл навколо осі z


(8.3)

 

де IZ - момент інерції тіл відносно осі z.

Оскільки , тоді

 

(8.4)

Інтегруємо диференціальне рівняння (8.4) при початкових умовах: при

t1= 0,

(8.5)

Звідки:

Визначимо кутове прискорення (8.3) та кутову швидкість (8.5) при

t1 = 2 c.

 

 

де

 

 

Оскільки значення і , від'ємні, то кутове прискорення та кутова швидкість тіл при t1 =2с направлені в протилежну сторону ю0(у напрямку крутного моменту М).

Координати центра мас та доцентрові моменти Ixzi і Iуzi тіл 1 і 2 (рис. 8.11):

 

 

Або, підставляючи числові дані, отримаємо:

 

 

 

Тепер із рівнянь (8.2) знаходимо додаткові динамічні реакції шарнірів А і В через їх проекції на осі X та У.

 

 

Додаткові динамічні реакції циліндричних шарнірів А і В

 

 

При t1= 2 с додаткові динамічні реакції шарнірів складають 62,2% для шарніра А та 29,2% для шарніра В від статичних реакцій в'язей.

 







Date: 2015-09-03; view: 362; Нарушение авторских прав



mydocx.ru - 2015-2026 year. (2.443 sec.) Все материалы представленные на сайте исключительно с целью ознакомления читателями и не преследуют коммерческих целей или нарушение авторских прав - Пожаловаться на публикацию