Сходимость и полнота в метрических пространствах
Определение 1. Последовательность точек эвклидова пространства сходится по метрике к точке , если числовая последовательность , то есть .
Обозначение используется обычное: . Таким образом, в метрических пространствах полностью используется вся теория числовых последовательностей. Например:
Теорема 1. Последовательность точек метрического пространства может иметь только один предел.
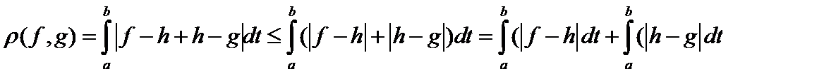
. Пусть последовательность имеет два предела, то есть и . Тогда в неравенстве треугольника для точек и где , 
правая часть стремится к нулю, а левая часть постоянна и отлична от нуля. 
Определение 2. Сходимость по норме (метрике) пространства называется равномерной сходимостью.Сходимость по (метрике) норме пространства называется сходимостью в среднем.
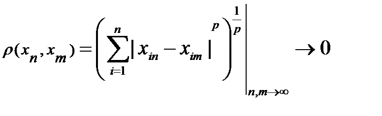
Определение 3. Последовательность точек x1, x2, x3,... пространства (Х, r) называется фундаментальной,если для любого числа e>0 найдется такое число n0, что для всех n, m > n0 выполняется неравенство r(xm, xn)<e.
Всякая сходящаяся последовательность является фундаментальной.
Определение 4. Метрическое пространство, в котором всякая фундаментальная последовательность сходится, называется полным.
Комментарий. Все стандартные метрические пространства, кроме , полны, а так как они ещё и нормированы, то все стандартные метрические пространства, кроме , являются банаховыми.
Пример1. Покажем полноту пространства . То, что это метрическое пространство, следует из того, что . Пусть по метрике пространства последовательность , то есть . Но тогда это выполняется и для всех других , то есть равномерно (номер обеспечивает сходимость для всех сразу. Но тогда по теореме Вейерштрасса предел равномерно сходящейся последовательности непрерывных функций есть функция непрерывная, то есть функция непрерывна, то есть и пространство полно. 
Теорема 2. Всякое замкнутое подпространство полного метрического пространства является полным пространством.
Пусть последовательность точек фундаментальна в пространстве . Тогда она будет фундаментальной и в пространстве . А поскольку оно полное, то эта последовательность сходится, . Поскольку множество замкнуто, то точка предельная для множества , что и доказывает полноту пространства . .
Комментарий. Тот факт, что в полных пространствах понятия замкнутости и полноты для подпространств совпадают, очень важен в приложениях. Однако, надо следить за полнотой исходного пространства.
Пример 2. Рассмотрим множество . Оно, очевидно, не замкнуто и не полно. Пусть . Это множество не замкнуто, хотя состоит из бесконечного числа замкнутых множеств, так как не любая последовательность из этого множества сходится к пределу, ему принадлежащему. Но оно не полно, так как предел этой последовательности равен нулю, которого нет в множестве .
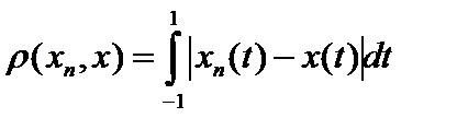
Пример 3. Покажем неполноту пространства при . Это метрическое пространство, так как , покажем, что . Пусть при каком-то . Тогда в силу непрерывности эта ситуация должна сохраниться и в окрестности точки , то есть . Проверим третью аксиому: .
Проверим полноту. Пусть последовательность , то есть , , где . Выберем тогда . На участке вне функции совпадают и равны единице, то есть и, таким образом, последовательность фундаментальна. Ясно, что её пределом будет функция В самом деле, , то есть последовательность , но функция разрывна, . Это и означает неполноту пространства . 

Комментарий. Можно ли пополнить данное метрическое пространство или, более широко, можно ли пополнить любое метрическое пространство? Принципиальный ответ да. Но для этого иногда нужно идти на коренной пересмотр ситуации. В частности, пространство функций, интегрируемых по Риману, пополнить невозможно, поэтому для того, чтобы сделать пространство полным, надо менять процедуру интегрирования. Позже мы построим интеграл Лебега и убедимся, что пространство функций, интегрируемых по Лебегу и, следовательно, и пространство уже полно.
Примеры. 1. Верно ли, что последовательность , если в и ? В пространстве . В пространстве . Тогда .
2. Верно ли, что последовательность , если в пространстве ?
. 
3. Показать полноту дискретного метрического пространства.
В дискретном метрическом пространстве все точки изолированные, поэтому фундаментальной последовательностью может быть только стационарная, которая всегда сходится. 
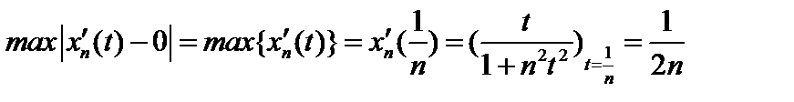
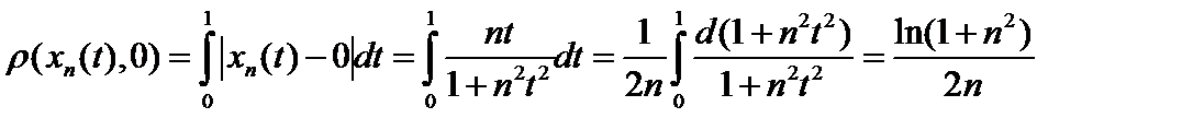
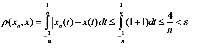
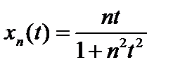
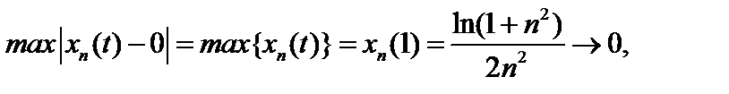
4. Найти предел последовательности в пространстве C [0,2], если он существует.
Необходимым условием сходимости последовательности в пространстве C [ a,b ] является существование предела xn при каждом фиксированном . Заданная последовательность при заданном t сходится к функции a(t)=t. Данная функция непрерывна.
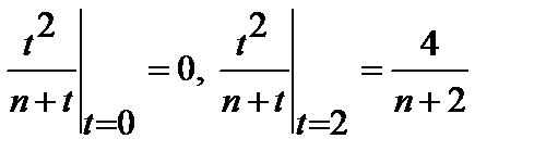
Проверим, сходится ли последовательность xn к функции a(t) по норме пространства C [ a,b ], т.е. равномерно. Вычислим . По определению нормы: . Вычислим максимум функции на отрезке [0,2]. Для этого вычислим критические точки. Таким образом, точками, подозрительными на экстремум, являются точки . Поскольку , поэтому остается лишь точка . Вычислим также значение функции на концах отрезка:
. То есть . Это означает, что последовательность в пространстве C [0,2] сходится к функции a(t)=t. 
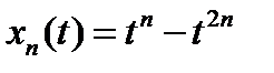
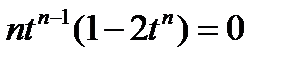
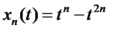
5. Найти предел последовательности в пространстве C [0,1], если он существует.
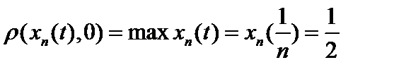
Последовательность . Вычислим . Так как , то , если . Точкой, подозрительной на экстремум, является и точка . Непосредственной проверкой убеждаемся, что максимум достигается в точке . Поэтому . Значит, последовательность в пространстве C [0,1] не сходится. 
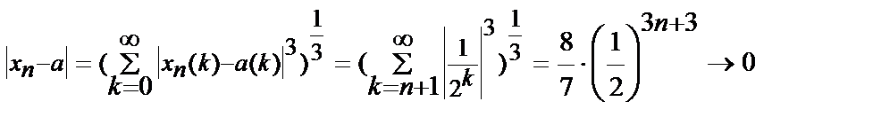
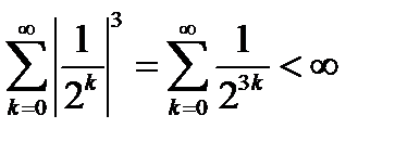
6. Сходится ли последовательность в пространстве ?
Необходимым условием сходимости последовательности в пространстве является наличие покоординатного предела. Выпишем несколько членов последовательности: . Ясно, что последовательность покоординатно сходится к точке . Заметим, что , т.к. . Покажем, что последовательность сходится к точке a по норме пространства :
при .
Следовательно, . 
7. Сходится ли последовательность в пространстве .
Очевидно, что точка является покоординатным пределом последовательности, но , т.к. ряд, составленный из единиц, не является сходящимся. Следовательно, последовательность не имеет предела. 
8. Доказать, что последовательность сходится поточечно к функции для всех , но не сходится в пространстве .
Последовательность при каждом фиксированном стремится к нулю, так как . Вычислим
. Значит, последовательность не сходится в пространстве . 
9. Показать, что пространство , полное. Пусть фундаментальная последовательность в . Тогда . Отсюда следует покоординатная сходимость и, следовательно, фундаментальность числовых последовательностей . Но пространство действительных чисел полное и последовательности сходятся. Следовательно, сходится и последовательность . 
10. Показать полноту пространства .
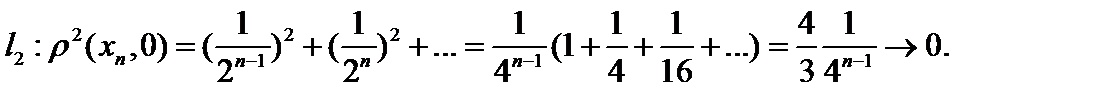
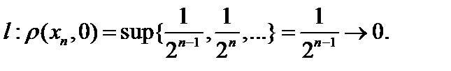
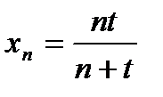
11. Дана последовательность
.
К какой последовательности она сходится покоординатно? Сходится ли она к тому же пределу в метриках пространств ? Ясно, что покоординатно последовательность сходится к нулю.



Комментарий. Из предыдущего примера не следует, что всегда из покоординатной сходимости следует сходимость по метрике соответствующего пространства.
12. Дана последовательность
. Ясно, что покоординатно последовательность сходится к нулю. Однако в пространстве 
13. Множество всех многочленов в пространстве не является замкнутым, так как, например, функцию можно приблизить частичными суммами ряда Тейлора, которые являются алгебраическими многочленами. Следовательно, множество всех многочленов в пространстве не содержит всех предельных точек, и, значит, оно не является замкнутым.
Date: 2015-09-03; view: 2621; Нарушение авторских прав | Понравилась страница? Лайкни для друзей: |
|
|