Главная Случайная страница


Полезное:

Как сделать разговор полезным и приятным Как сделать объемную звезду своими руками Как сделать то, что делать не хочется? Как сделать погремушку Как сделать так чтобы женщины сами знакомились с вами Как сделать идею коммерческой Как сделать хорошую растяжку ног? Как сделать наш разум здоровым? Как сделать, чтобы люди обманывали меньше Вопрос 4. Как сделать так, чтобы вас уважали и ценили? Как сделать лучше себе и другим людям Как сделать свидание интересным?


Категории:

АрхитектураАстрономияБиологияГеографияГеологияИнформатикаИскусствоИсторияКулинарияКультураМаркетингМатематикаМедицинаМенеджментОхрана трудаПравоПроизводствоПсихологияРелигияСоциологияСпортТехникаФизикаФилософияХимияЭкологияЭкономикаЭлектроника






Сравнение метрик (норм)





Определение 1. Метрика (норма) ρ1 сильнее, чем метрика (норма) ρ2, если из сходимости последовательности по ρ1 следует её сходимость по ρ2, но существует хоть одна последовательность, которая сходится по норме ρ2, но не сходится по норме ρ1.

Определение 2. Две метрики (нормы) ρ1 и ρ2 эквивалентны, если из сходимости последовательности по ρ1 следует её сходимость по ρ2 и наоборот.

Определение 2*. Две метрики (нормы) ρ1 и ρ2 эквивалентны, если существуют или .

Теорема 1. В любых конечномерных пространствах все метрики (нормы) эквивалентны.

Рассмотрим нормированное пространство , , система векторов образует базис в нём, то есть

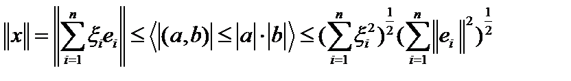
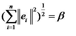
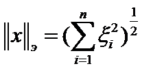
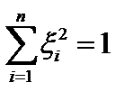
. Эвклидова норма , а ещё одна норма в этом пространстве. Оценим её. . Обозначив , получим . Покажем, что в свою очередь подчинена . Рассмотрим функцию переменных на сфере . Она непрерывна, так как и стремится к нулю при . Единичная сфера замкнутое ограниченное множество, поэтому на ней, в соответствии с теоремой Вейерштрасса, функция достигает своих точных верхней и нижней граней. То есть на сфере имеем .

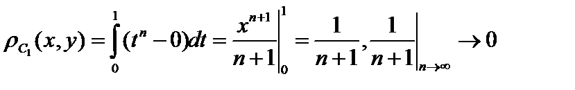
Пример. Доказать, что метрика пространства сильнее метрики пространства .

, то есть не слабее . Теперь укажем последовательность , которая сходится по , но не сходится по . Эта последовательность стандартный пробник функционального анализа, . , а , то есть эта последовательность сходится по , но не сходится по .

Комментарий. В линейной алгебре показывалось, что все линейные структуры изоморфны, то есть существует возможность установить биекцию между ними. Эта теорема утверждает большее отображение между метрическими пространствами не только взаимно однозначно, но и взаимно непрерывно, то есть гомеоморфно. В конечномерных пространствах все метрики (нормы)топологически эквивалентныв следующем смысле: для шара радиуса R с центром в точке , построенного на основе одной из норм, можно построить вписанный в него и описанный вокруг него шары, построенные на основе другой нормы (разумеется, другого радиуса). В бесконечномерных пространствах это не так.

 

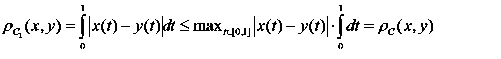
Пример. Покажем, что чебышевская норма, по крайней мере, не слабее гёльдеровской, а дифференциальная не слабее чебышёвской. , но

.

 







Date: 2015-09-03; view: 943; Нарушение авторских прав



mydocx.ru - 2015-2026 year. (0.778 sec.) Все материалы представленные на сайте исключительно с целью ознакомления читателями и не преследуют коммерческих целей или нарушение авторских прав - Пожаловаться на публикацию