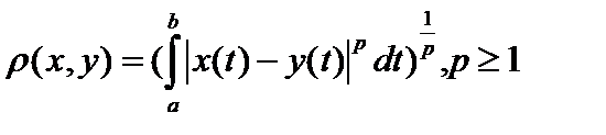
Стандартные метрические пространства
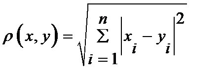
1. – n-мерное арифметическое пространство с радикальной метрикой. При (проверка неравенства треугольника: ) При метрику называют евклидовой, а пространство - арифметическим n -мерным пространством.
2. – -мерное арифметическое пространство с супремальной метрикой.
3. пространство ограниченных последовательностей с радикальной метрикой . При это такие последовательности, сумма квадратов элементов которых конечна (то есть ряд сходится). Эту сумму квадратов, т.е. сумму ряда, назовем квадратом длины вектора. Операции сложения и умножения на число определим как для конечномерных векторов-столбцов, то есть поэлементно (координатное гильбертово пространство).
4. или или пространство ограниченных последовательностей с супремальной метрикой.
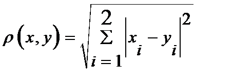
5. пространство непрерывных функций с радикальной метрикой. Его пополнение - лебегово пространство.Метрика пространстваЛебега : . При пространство гильбертово и обозначается как .
6. пространство непрерывных функций с супремальной метрикой (чебышевское).
7. или пространство раз непрерывно дифференцируемых функций с супремальной метрикой (такая метрика называется дифференциальной): .
8. пространства непрерывно дифференцируемых функций с радикальной метрикой. Их пополнение пространства Соболева.Метрика пространств Соболева : . При пространство гильбертово и обозначается как .
Комментарий. Будем говорить, что пространство X вложено в пространство Y, если все элементы пространства X принадлежат Y, то есть .На рисунке схематично изображено взаимное соотношение между основными пространствами функций. Самое широкое пространство — пространство суммируемых с квадратом функций, самое узкое — пространство . В математике используются не только эти, наиболее употребительные, но и другие типы пространств, которые могут быть шире или уже рассмотренных пространств, а могут занимать и некоторое промежуточное положение.

Пример 1. На плоскости для точек и определим расстояние тремя различными способами и покажем, что введенные расстояния являются метриками, то есть проверим выполнимость аксиом.
1.Метрика . Это евклидова метрика при .
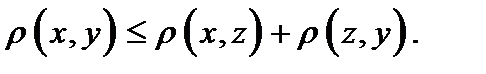
Первые аксиомы очевидны. Проверим третью аксиому. Рассмотрим точки , , и докажем следующее неравенство:
.
Возведем это неравенство в квадрат:

.
Так как и (поскольку ) и выражение есть величина неотрицательная, то неравенство является верным.
2. Метрика .Это двумерное арифметическое пространство с супремальной метрикой. Первые аксиомы очевидны. Проверим третью аксиому. Рассмотрим точки , , и докажем следующее неравенство: .
Тогда и .
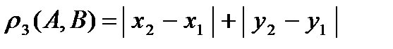
3. Метрика . Это двумерное арифметическое пространство с радикальной метрикой при . Такую метрику называют манхеттенской, но можно назвать и таганрогской, потому что исторически вторым после Нью-Йорка городом мира с линейной, а не круговой системой улиц, был Таганрог. Кратчайшее расстояние между точками и такого города будет определяться формулой .
Первые аксиомы очевидны. Проверим третью аксиому. Рассмотрим точки , , . Неравенство: - очевидно.
Комментарий. 1.Понятие пополнения употреблено впрок и будут определено позднее.
2. Любое нормированное пространство является метрическим с метрикой . Выполнение первых аксиом очевидно. Третья выполняется в силу . Обратное, вообще говоря, неверно, то есть метрические пространства, вообще говоря, не являются нормированными. Но если потребовать, чтобы метрическое пространство обладало инвариантностью относительно сдвигов, то есть и однородностью относительно растяжений, то есть , то тогда верно и обратное и норма элемента есть метрика, второй элемент которой есть ноль.
Для стандартных метрических пространств это так, так что все вышеприведённые примеры являются одновременно и примерами стандартных норм с геометрией, отличной от эвклидовой. Единичные шары в этих метриках изображены в примере 3.
Пример 2. Покажем, что является метрикой. Выполнение первых двух аксиом метрики очевидно. Чтобы проверить третью, то есть , докажем, что для любых имеет место неравенство . Для этого зафиксируем и рассмотрим функцию . Так как , а , то возрастающая функция. Однако, метрика при не будет нормой, так как . .
Пример 3. Рассмотрим пространство . Положив , а , мы получим единичную сферу в пространстве .
При уравнение этой сферы имеет вид: ||x||1 = |x| + |y| и такая метрика называется октаэдрической, потому что единичной сферой в трёхмерном случае будет октаэдр.
При уравнение этой сферы имеет вид: ||x||2 = (|x|2 + |y|2)1/2 – и такая метрика называется евклидовой (сферической), потому что единичной сферой в трёхмерном случае будет обычная сфера.
Чебышёвская (кубическая) метрика: ||x||∞=max{|x|,|y|}, потому что единичной сферой в трёхмерном случае будет куб.
На рисунке: 1 чебышёвская(кубическая) метрика; 2 евклидова (сферическая) метрика; 3 октаэдрическая метрика. Случай изображен пунктиром. При гёльдеровская группа метрик стремится к чебышевской.

Примеры. 1. Пространство изолированных точек (дискретное пространство): Здесь любое непустое множество.
Первые две аксиомы очевидны. Проверим третью.
Пусть неверно, что . Тогда Но тогда , то есть 
2. Ограниченные последовательности , с метрикой 
Проверим третью аксиому. Рассмотрим возрастающую функцию .Так как , то , то есть . Пусть , тогда , или 
Комментарий. Пусть метрика на носителе .Тогда тоже метрика на носителе . Это позволяет дать
Определение. Пусть последовательность метрических пространств. Прямым (декартовым) произведением этих метрических пространств называется пара , где , а 
3. Показать, что пара метрическое пространство, если метрика на носителе натуральных числах задана так: Неравенство треугольника для несовпадающих точек очевидно: . В этой метрике при то есть натуральные числа чем дальше они расположены на числовой оси, тем ближе по метрике .
4. Является ли метрикой функция а) ;
б) ; в) на множестве ограниченных последовательностей?
5. В пространстве найти расстояние между функциями а) ( ); б) (8);
в) (5); г) ( ).
6. В пространствах найти расстояние между функциями .
7. В пространствах найти расстояние между функциями а) ; б) .
8. В пространствах найти нормы элементов и и расстояние между ними.
9. В пространствах найти норму элемента .
10. Показать, что пространство не гильбертово.
Пространство полное нормированное пространство, то есть банахово. (Полноту покажем в следующем пункте.) Уже отмечалось, что норма порождается скалярным произведением, если и только если выполняется равенство параллелограмма . Пусть .Тогда, вычисляя норму в пространстве , сразу получим 
11. Можно ли в качестве нормы в пространстве использовать норму пространства ? Проверим аксиоматику.
1. причём . 2. .
3. 
12. Можно ли в качестве нормы в пространстве использовать норму ? Нет, так как не выполняется первая аксиома нормы: , где произвольная константа.
13. Доказать, что подпространство банахова пространства является банаховым пространством.
Пусть последовательность фундаментальна в подпространстве банахова пространства (нормы, естественно, одинаковы). Эта последовательность является фундаментальной и в , так как подпространство. Но – банахово, то есть . Так как –
подпространство, то по определению подпространства оно замкнуто,
следовательно, . Таким образом, произвольная фундаментальная последовательность в подпространстве сходится к .А это значит, что банахово по определению. 
Date: 2015-09-03; view: 1952; Нарушение авторских прав | Понравилась страница? Лайкни для друзей: |
|
|