ЗАДАНИЕ N 42 сообщить об ошибке Тема: Дифференциальное исчисление ФНП
Начало формы

Конец формы
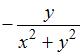
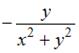
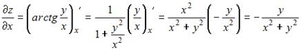
Частная производная функции имеет вид …
Решение: При вычислении частной производной по переменной , переменные и рассматриваем как постоянные величины. Тогда .
ЗАДАНИЕ N 43 сообщить об ошибке Тема: Непрерывность функции, точки разрыва
Начало формы

Конец формы
Точка разрыва функции равна …
ЗАДАНИЕ N 44 сообщить об ошибке Тема: Приложения определенного интеграла
Начало формы

Конец формы
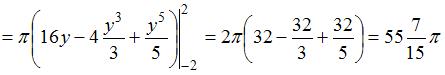
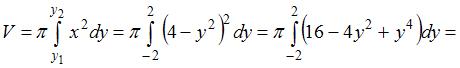
Объем тела, полученного вращением вокруг оси криволинейной трапеции, ограниченной параболой и осью , равен …
Решение: Вычислим точки пересечения параболы с осью , решив уравнение . Получим точки и . Тогда объем тела, полученного вращением соответствующей криволинейной трапеции вокруг оси , вычисляется как: .
ЗАДАНИЕ N 5 сообщить об ошибке Тема: Приложения определенного интеграла
Начало формы

Конец формы
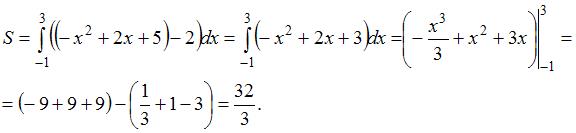
Площадь фигуры, изображенной на рисунке равна …
Решение: Площадь данной фигуры можно вычислить по формуле , где , , – «левая», – «правая» точки пересечения параболы и прямой . Определим значения и , решив уравнение . Получаем , . Тогда 
ЗАДАНИЕ N 6 сообщить об ошибке Тема: Непрерывность функции, точки разрыва
Начало формы

Конец формы
Функция непрерывна на отрезке …
ЗАДАНИЕ N 7 сообщить об ошибке Тема: Основные методы интегрирования
Начало формы

Конец формы
Множество первообразных функции имеет вид …
ЗАДАНИЕ N 8 сообщить об ошибке Тема: Дифференциальное исчисление ФНП
Начало формы

Конец формы
Частная производная функции имеет вид …
ЗАДАНИЕ N 26 сообщить об ошибке Тема: Дифференциальное исчисление ФНП
Начало формы

Конец формы
Частная производная второго порядка функции имеет вид …
Решение: При вычислении частной производной функции по одной из переменных другую переменную рассматриваем как постоянную величину. Тогда и .
ЗАДАНИЕ N 27 сообщить об ошибке Тема: Непрерывность функции, точки разрыва
Начало формы

Конец формы
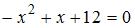
Точка является точкой разрыва функции …
Решение: Точку называют точкой разрыва функции , если она не является непрерывной в этой точке. В частности, точками разрыва данных функций являются точки, в которых знаменатель равен нулю, то есть , или: . Точка : не является точкой разрыва функции , так как область определения функции имеет вид , и ; не является точкой разрыва функции , так как область определения функции имеет вид , и ; не является точкой разрыва функции , так как область определения функции имеет вид , и . Таким образом, точка является точкой разрыва функции .
ЗАДАНИЕ N 28 сообщить об ошибке Тема: Основные методы интегрирования
Начало формы

Конец формы
Множество первообразных функции имеет вид …
ЗАДАНИЕ N 29 сообщить об ошибке Тема: Приложения определенного интеграла
Начало формы

Конец формы
Площадь фигуры, ограниченной параболой и осью , равна …
ЗАДАНИЕ N 15 сообщить об ошибке Тема: Непрерывность функции, точки разрыва
Начало формы

Конец формы
Количество точек разрыва функции равно …
Решение: Точку называют точкой разрыва функции , если она не является непрерывной в этой точке. В частности, точками разрыва данной функции могут являться точки, в которых знаменатель равен нулю, то есть , , , . Однако область определения функции определяется как , то есть имеет вид . Тогда имеет две точки разрыва: , , удовлетворяющие условию .
ЗАДАНИЕ N 16 сообщить об ошибке Тема: Приложения определенного интеграла
Начало формы

Конец формы
Площадь фигуры, изображенной на рисунке равна …
Решение: Площадь данной фигуры можно вычислить по формуле , где , , – «левая», – «правая» точки пересечения параболы и прямой . Определим значения и , решив уравнение . Получаем , . Тогда 
ЗАДАНИЕ N 17 сообщить об ошибке Тема: Дифференциальное исчисление ФНП
Начало формы

Конец формы
Частная производная функции имеет вид …
Решение: При вычислении частной производной по переменной , переменные и рассматриваем как постоянные величины. Тогда .
ЗАДАНИЕ N 18 сообщить об ошибке Тема: Основные методы интегрирования
Начало формы

Конец формы
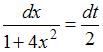
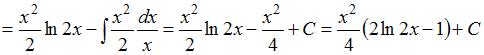
Множество первообразных функции имеет вид …
Решение: Чтобы определить множество первообразных, вычислим неопределенный интеграл от этой функции методом интегрирования по частям по формуле . Тогда .
ЗАДАНИЕ N 17 сообщить об ошибке Тема: Приложения определенного интеграла
Начало формы

Конец формы
Площадь фигуры, изображенной на рисунке равна …
Решение: Площадь данной фигуры можно вычислить по формуле , где , , – «левая», – «правая» точки пересечения параболы и прямой . Определим значения и , решив уравнение . Получаем , . Тогда 
ЗАДАНИЕ N 18 сообщить об ошибке Тема: Дифференциальное исчисление ФНП
Начало формы

Конец формы
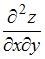
Смешанная частная производная второго порядка функции имеет вид …
ЗАДАНИЕ N 19 сообщить об ошибке Тема: Основные методы интегрирования
Начало формы

Конец формы
Множество первообразных функции имеет вид …
ЗАДАНИЕ N 20 сообщить об ошибке Тема: Непрерывность функции, точки разрыва
Начало формы

Конец формы
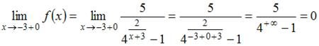
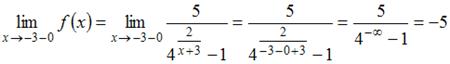
Для функции точка является точкой …
|
| | разрыва первого рода
| Решение: Вычислим односторонние пределы функции в точке : ; . Так как односторонние пределы функции в точке существуют, конечны, но не равны между собой, то точка является точкой разрыва первого рода.
ЗАДАНИЕ N 5 сообщить об ошибке Тема: Непрерывность функции, точки разрыва
Начало формы

Конец формы
Точка является точкой разрыва функции …
Решение: Точку называют точкой разрыва функции , если она не является непрерывной в этой точке. В частности, точками разрыва данных функций являются точки, в которых знаменатель равен нулю, то есть , или: . Точка : не является точкой разрыва функции , так как область определения функции имеет вид , и ; не является точкой разрыва функции , так как область определения функции имеет вид , и ; не является точкой разрыва функции , так как область определения функции имеет вид , и . Таким образом, точка является точкой разрыва функции .
ЗАДАНИЕ N 6 сообщить об ошибке Тема: Дифференциальное исчисление ФНП
Начало формы

Конец формы
Частная производная функции имеет вид …
Решение: При вычислении частной производной по переменной , переменную рассматриваем как постоянную величину. Тогда .
ЗАДАНИЕ N 7 сообщить об ошибке Тема: Приложения определенного интеграла
Начало формы

Конец формы
Площадь фигуры, изображенной на рисунке равна …
ЗАДАНИЕ N 8 сообщить об ошибке Тема: Основные методы интегрирования
Начало формы

Конец формы
Множество первообразных функции имеет вид …
ЗАДАНИЕ N 33 сообщить об ошибке Тема: Приложения определенного интеграла
Начало формы

Конец формы
Площадь фигуры, изображенной на рисунке равна …
Решение: Площадь данной фигуры можно вычислить по формуле , где , , а . Тогда 
ЗАДАНИЕ N 34 сообщить об ошибке Тема: Непрерывность функции, точки разрыва
Начало формы

Конец формы
Для функции точка является точкой …
|
| | разрыва первого рода
| Решение: Вычислим односторонние пределы функции в точке : ; . Так как односторонние пределы функции в точке существуют, конечны, но не равны между собой, то точка является точкой разрыва первого рода.
ЗАДАНИЕ N 35 сообщить об ошибке Тема: Основные методы интегрирования
Начало формы

Конец формы
Множество первообразных функции имеет вид …
ЗАДАНИЕ N 36 сообщить об ошибке Тема: Дифференциальное исчисление ФНП
Начало формы

Конец формы
Частная производная функции имеет вид …
Решение: При вычислении частной производной по переменной , переменную рассматриваем как постоянную величину. Тогда .
ЗАДАНИЕ N 9 сообщить об ошибке Тема: Непрерывность функции, точки разрыва
Начало формы

Конец формы
Точка разрыва функции равна …
ЗАДАНИЕ N 10 сообщить об ошибке Тема: Дифференциальное исчисление ФНП
Начало формы

Конец формы
Частная производная функции имеет вид …
ЗАДАНИЕ N 11 сообщить об ошибке Тема: Основные методы интегрирования
Начало формы

Конец формы
Множество первообразных функции имеет вид …
Решение: Чтобы определить множество первообразных, вычислим неопределенный интеграл от этой функции. Тогда 
Произведем замену , , :
.
ЗАДАНИЕ N 12 сообщить об ошибке Тема: Приложения определенного интеграла
Начало формы

Конец формы
Площадь фигуры, изображенной на рисунке равна …
Решение: Площадь данной фигуры можно вычислить по формуле , где , , – «левая», – «правая» точки пересечения параболы и прямой . Определим значения и , решив уравнение . Получаем , . Тогда 
ЗАДАНИЕ N 15 сообщить об ошибке Тема: Дифференциальное исчисление ФНП
Начало формы

Конец формы
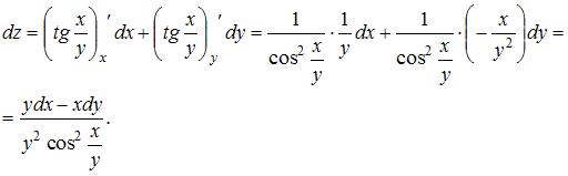
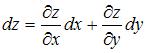
Полный дифференциал функции имеет вид …
Решение: Полный дифференциал функции нескольких переменных равен сумме произведений частных производных этой функции на дифференциалы соответствующих независимых переменных, то есть . Тогда 
ЗАДАНИЕ N 16 сообщить об ошибке Тема: Основные методы интегрирования
Начало формы

Конец формы
Множество первообразных функции имеет вид …
Решение: Чтобы определить множество первообразных, вычислим неопределенный интеграл от этой функции методом интегрирования по частям по формуле . Тогда .
ЗАДАНИЕ N 17 сообщить об ошибке Тема: Непрерывность функции, точки разрыва
Начало формы

Конец формы
Количество точек разрыва функции равно …
ЗАДАНИЕ N 18 сообщить об ошибке Тема: Приложения определенного интеграла
Начало формы

Конец формы
Площадь фигуры, изображенной на рисунке равна …
Решение: Площадь данной фигуры можно вычислить по формуле , где , , – «левая», – «правая» точки пересечения параболы и прямой . Определим значения и , решив уравнение . Получаем , . Тогда 
ЗАДАНИЕ N 13 сообщить об ошибке Тема: Непрерывность функции, точки разрыва
Начало формы

Конец формы
Количество точек разрыва функции равно …
ЗАДАНИЕ N 14 сообщить об ошибке Тема: Приложения определенного интеграла
Начало формы

Конец формы
Площадь фигуры, изображенной на рисунке равна …
Решение: Площадь данной фигуры можно вычислить по формуле , где – «левая» точка пересечения параболы и оси , , а . Определим точки пересечения параболы и оси , решив уравнение . Получаем: . Тогда 
ЗАДАНИЕ N 15 сообщить об ошибке Тема: Основные методы интегрирования
Начало формы

Конец формы
Множество первообразных функции имеет вид …
Решение: Чтобы определить множество первообразных, вычислим неопределенный интеграл от этой функции. Тогда 
Произведем замену , , :
.
ЗАДАНИЕ N 16 сообщить об ошибке Тема: Дифференциальное исчисление ФНП
Начало формы

Конец формы
Частная производная второго порядка функции имеет вид …
ЗАДАНИЕ N 4 сообщить об ошибке Тема: Дифференциальное исчисление ФНП
Начало формы

Конец формы
Смешанная частная производная второго порядка функции имеет вид …
ЗАДАНИЕ N 5 сообщить об ошибке Тема: Непрерывность функции, точки разрыва
Начало формы

Конец формы
Точка является точкой разрыва функции …
ЗАДАНИЕ N 6 сообщить об ошибке Тема: Основные методы интегрирования
Начало формы

Конец формы
Множество первообразных функции имеет вид …
ЗАДАНИЕ N 7 сообщить об ошибке Тема: Приложения определенного интеграла
Начало формы

Конец формы
Объем тела, полученного вращением вокруг оси криволинейной трапеции, ограниченной параболой и осью , равен …
ЗАДАНИЕ N 22 сообщить об ошибке Тема: Дифференциальное исчисление ФНП
Начало формы

Конец формы
Частная производная второго порядка функции имеет вид …
ЗАДАНИЕ N 23 сообщить об ошибке Тема: Приложения определенного интеграла
Начало формы

Конец формы
Объем тела, полученного вращением
Date: 2015-09-02; view: 553; Нарушение авторских прав | Понравилась страница? Лайкни для друзей: |
|
|