Главная Случайная страница


Полезное:

Как сделать разговор полезным и приятным Как сделать объемную звезду своими руками Как сделать то, что делать не хочется? Как сделать погремушку Как сделать так чтобы женщины сами знакомились с вами Как сделать идею коммерческой Как сделать хорошую растяжку ног? Как сделать наш разум здоровым? Как сделать, чтобы люди обманывали меньше Вопрос 4. Как сделать так, чтобы вас уважали и ценили? Как сделать лучше себе и другим людям Как сделать свидание интересным?


Категории:

АрхитектураАстрономияБиологияГеографияГеологияИнформатикаИскусствоИсторияКулинарияКультураМаркетингМатематикаМедицинаМенеджментОхрана трудаПравоПроизводствоПсихологияРелигияСоциологияСпортТехникаФизикаФилософияХимияЭкологияЭкономикаЭлектроника






Дифференциальное и интегральное исчисление





ЗАДАНИЕ N 5 сообщить об ошибке
Тема: Дифференциальное исчисление ФНП

 

Начало формы


Конец формы

 

Частная производная второго порядка функции имеет вид …

   

ЗАДАНИЕ N 6 сообщить об ошибке
Тема: Непрерывность функции, точки разрыва

 

Начало формы


Конец формы

 

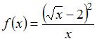
Для функции точка является точкой …

    разрыва второго рода

ЗАДАНИЕ N 7 сообщить об ошибке
Тема: Приложения определенного интеграла

 

Начало формы


Конец формы

 

Площадь фигуры, изображенной на рисунке

равна …

   

ЗАДАНИЕ N 8 сообщить об ошибке
Тема: Основные методы интегрирования

 

Начало формы


Конец формы

 

Множество первообразных функции имеет вид …

   

ЗАДАНИЕ N 41 сообщить об ошибке
Тема: Основные методы интегрирования

 

Начало формы


Конец формы

 

Множество первообразных функции имеет вид …

   






Date: 2015-09-02; view: 468; Нарушение авторских прав



mydocx.ru - 2015-2026 year. (0.952 sec.) Все материалы представленные на сайте исключительно с целью ознакомления читателями и не преследуют коммерческих целей или нарушение авторских прав - Пожаловаться на публикацию