Главная Случайная страница


Полезное:

Как сделать разговор полезным и приятным Как сделать объемную звезду своими руками Как сделать то, что делать не хочется? Как сделать погремушку Как сделать так чтобы женщины сами знакомились с вами Как сделать идею коммерческой Как сделать хорошую растяжку ног? Как сделать наш разум здоровым? Как сделать, чтобы люди обманывали меньше Вопрос 4. Как сделать так, чтобы вас уважали и ценили? Как сделать лучше себе и другим людям Как сделать свидание интересным?


Категории:

АрхитектураАстрономияБиологияГеографияГеологияИнформатикаИскусствоИсторияКулинарияКультураМаркетингМатематикаМедицинаМенеджментОхрана трудаПравоПроизводствоПсихологияРелигияСоциологияСпортТехникаФизикаФилософияХимияЭкологияЭкономикаЭлектроника






Случайные величины применительно к надежности оборудования. Основные характеристики





Экспоненциальный (показательный) закон. В основном периоде эксплуатации (период II, рис. 4.1) отказы происходят от случайных факторов (попадание посторонних предметов, сочетание внешних факторов и др.) и носят внезапный характер. Время же проявления отказа не связано с преды-

дущей наработкой изделия. Интенсивность отказов для этого периода может быть принята величиной постоянной (рис. 4.2, а).

Тогда вероятность безотказной работы по уравнению (4.10)

Плотность распределения отказов

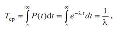
Среднее время безотказной работы

Экспоненциальный закон распределения отказов, выраженный формулами (4.14) и (4.17), справедлив для описания потока отказов с постоянной интенсивностью. Понятие потока отказов применяют для восстанавливаемых в процессе эксплуатации изделий. Величина ср T для потока отказов пред-

ставляет среднюю наработку на один отказ.

Рис. 4.2. Графики распределения случайных величин f (t) и показателей

надежности – вероятности безотказной работы P(t) и интенсивности отказов λ(t) при рас-

пределениях: a – экспоненциальном; б – нормальном; в – Вейбулла







Date: 2015-08-15; view: 635; Нарушение авторских прав



mydocx.ru - 2015-2026 year. (0.381 sec.) Все материалы представленные на сайте исключительно с целью ознакомления читателями и не преследуют коммерческих целей или нарушение авторских прав - Пожаловаться на публикацию