Главная Случайная страница


Полезное:

Как сделать разговор полезным и приятным Как сделать объемную звезду своими руками Как сделать то, что делать не хочется? Как сделать погремушку Как сделать так чтобы женщины сами знакомились с вами Как сделать идею коммерческой Как сделать хорошую растяжку ног? Как сделать наш разум здоровым? Как сделать, чтобы люди обманывали меньше Вопрос 4. Как сделать так, чтобы вас уважали и ценили? Как сделать лучше себе и другим людям Как сделать свидание интересным?


Категории:

АрхитектураАстрономияБиологияГеографияГеологияИнформатикаИскусствоИсторияКулинарияКультураМаркетингМатематикаМедицинаМенеджментОхрана трудаПравоПроизводствоПсихологияРелигияСоциологияСпортТехникаФизикаФилософияХимияЭкологияЭкономикаЭлектроника






Естественное вращение плоскости поляризации





В некоторых случаях распространение линейно поляризованного света в веществе сопровождается поворотом направления поляризации вокруг оси пучка. Это явление называют естественным вращением плоскости поляризации или естественной оптической активностью. Вещества, обладающие свойством вызывать вращение плоскости поляризации проходящего через них плоскополяризованного света, называют оптически активными.

Естественная активность была открыта французским физиком Д.Ф. Араго в 1811 г. для кристаллов кварца. В 1815 г. французский ученый Ж.Б. Био открыл оптическую активность чистых жидкостей (скипидара), а затем растворов и паров многих, главным образом органических веществ. Теперь известно много естественно активных веществ, хотя у большинства из них это явление выражено очень слабо.

К числу оптически активных веществ принадлежат двоякопреломляющие кристаллы (кварц, исландский шпат CaCO3, киноварь HgS и др.), причем сильнее всего они вращают плоскость поляризации, когда свет распространяется вдоль оптической оси кристалла. Кристалл в этом случае ведет себя как изотропное тело. (Обычного (линейного) двойного лучепреломления с пространственным разделением двух лучей не происходит.)

Оптически активными являются и некоторые оптически изотропные кристаллы кубической симметрии (например, хлорат натрия NaClO3, бромат натрия NaBrO3 и др.), для которых величина вращения не зависит от ориентации кристалла.

Наряду с названными кристаллами оптически активными являются многие твердые кристаллические органические вещества (сахар, камфора, кокаин и др.), смеси ряда органических веществ (нефть, патока и др.), некоторые чистые жидкости (скипидар, никотин и др.), а также растворы оптически активных веществ в неактивных растворителях (камфоры в бензоле, водные растворы сахара, винной кислоты, глюкозы и др.) и их расплавы и пары.

В оптически активных кристаллах и чистых жидкостях угол поворота φ плоскости поляризации пропорционален толщине d проходимого светом слоя оптически активного вещества: .

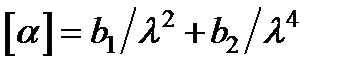
Коэффициент , численно равный углу поворота плоскости поляризации света слоем вещества единичной толщины, является мерой оптической активности вещества и называется постоянной вращения (вращательной способностью). Он зависит от природы вещества, длины волны света (вращательная дисперсия) и температуры и не зависит от интенсивности света. Био определил, что вращение увеличивается с уменьшением длины волны света, причем приближенно ~ . В области прозрачности и малого поглощения с опытом хорошо согласуется формула Друде: , где bi – некоторые постоянные, характеризующие вещество, – длины волн, соответствующие собственным частотам рассматриваемого вещества (длины волн полос поглощения вещества).

Для оптически активных растворов согласно закону Био (1831 г.): ,

где d – расстояние, пройденное светом в растворе оптически активного вещества; C – массовая концентрация оптически активного вещества в растворе (кг/л, г/см3); удельная постоянная вращения вещества (удельная оптическая активность). Определяется природой вещества, сильно зависит от длины волны света (в грубом приближении вдали от полос поглощения ) и слабо зависит от температуры (для большинства веществ при повышении Т на 1° уменьшается на ~ 0,1%), не зависит или может незначительно довольно сложным образом зависеть от природы растворителя. Для данного растворителя (например, для слабых водных растворов веществ с плотностью ρ 1кг/л) растворенного вещества выражается в радианах на метр (в СИ) или в градусах на метр (концентрация в этом случае равна массовой доле C ·оптически активного вещества в растворе: C = m в/ V р‑ра = = р‑ра× m в/ m р‑ра = C × р‑раC ).

Закон Био фактически выражает пропорциональность угла поворота числу молекул оптически активного вещества на пути светового луча. Следовательно, вращение плоскости поляризации в аморфных веществах, жидкостях и парах является молекулярным свойством.

Все кристаллические вещества, оптически активные в аморфном состоянии (расплавленные или растворенные), обладают таким же свойством и в кристаллическом состоянии (оптически активные вещества 1- го типа). При этом в отличие от аморфных тел постоянные вращения кристалла и его раствора (расплава) могут сильно отличаться. К таким веществам относится большое количество органических соединений (ряд кислот и эфиров, сахарá, сульфиды, селениды и др.), многие соединения металлов, металлоорганические соединения, а также некоторые жидкие кристаллы.


Однако вещества, оптически активные в кристаллическом состоянии, не всегда активны в жидком (например, расплавленные кварц, киноварь и др.) (оптически активные вещества 2- го типа). Следовательно, оптическая активность может быть обусловлена как молекулами вещества, так и особенностями расположения частиц в кристаллической решетке.

Оптически активные вещества в зависимости от направления вращения плоскости поляризации разделяют на право- и левовращающие. Если смотреть навстречу распространяющемуся световому лучу, то в правовращающих веществах плоскость поляризации будет поворачиваться по часовой стрелке (положительное вращение, 0), в левовращающих – против часовой стрелки (отрицательное вращение, 0).

Свойство естественно активной среды быть право- или левовращающей не зависит от того, в каком направлении распространяется свет, т.к. в среде направление вращения плоскости поляризации относительно самого луча не зависит от направления его распространения (подобно тому, как свойство винтовой спирали быть правой или левой не зависит от того, с какой стороны на нее смотреть). Относительно же фиксированной оси в пространстве вращения происходят в обратные стороны, если лучи распространяются навстречу друг другу (гиротропия). Поэтому при прохождении луча через активную среду, отражении от зеркала и вторичном прохождении через ту же среду назад, положение плоскости поляризации восстанавливается.

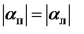
Установлено (Л. Пастером в 1848 г. на примере солей виннокаменной кислоты), что если вещество вращает плоскость поляризации, то оно всегда имеет две модификации: правовращающую и левовращающую. Для правых и левых модификаций активных кристаллов постоянная вращения имеет противоположные по знаку и (при одинаковых внешних условиях) одинаковые по абсолютной величине значения: .







Date: 2015-08-06; view: 1226; Нарушение авторских прав



mydocx.ru - 2015-2026 year. (0.207 sec.) Все материалы представленные на сайте исключительно с целью ознакомления читателями и не преследуют коммерческих целей или нарушение авторских прав - Пожаловаться на публикацию