Главная Случайная страница


Полезное:

Как сделать разговор полезным и приятным Как сделать объемную звезду своими руками Как сделать то, что делать не хочется? Как сделать погремушку Как сделать так чтобы женщины сами знакомились с вами Как сделать идею коммерческой Как сделать хорошую растяжку ног? Как сделать наш разум здоровым? Как сделать, чтобы люди обманывали меньше Вопрос 4. Как сделать так, чтобы вас уважали и ценили? Как сделать лучше себе и другим людям Как сделать свидание интересным?


Категории:

АрхитектураАстрономияБиологияГеографияГеологияИнформатикаИскусствоИсторияКулинарияКультураМаркетингМатематикаМедицинаМенеджментОхрана трудаПравоПроизводствоПсихологияРелигияСоциологияСпортТехникаФизикаФилософияХимияЭкологияЭкономикаЭлектроника






Дифракционный интеграл Френеля





Рассмотрим элементарную теорию дифракции света, построенную по принципу Гюйгенса-Френеля.

Сначала запишем математическую формулировку принципа Гюйгенса-Френеля. Введём некоторую поверхность x, охватывающую источник света S, и будем считать каждый элемент ds этой поверхности источником вторичной сферической световой волны (рис. 4.2). Амплитуда вторичной световой волны, достигающей интересующей нас точки P, должна быть пропорциональной амплитуде первичной волны Em, приходящей к элементу ds, а также площади самого элемента ds, и обратно пропорциональна расстоянию r от элемента ds до точки P.

Для определения результирующей амплитуды в точке P, т.е. суммы элементарных амплитуд, необходимо учесть, что колебания от разных элементов d s достигают точки P с разными фазами. Это приводит к появлению в выражении для результирующей амплитуды множителя cos(kr + a), где k = 2 p/l, а a – дополнительная фаза, равная фазе первичной волны на элементе ds, притом для разных элементов она в общем случае не одинакова.

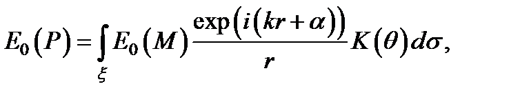
Таким образом, результирующая амплитуда напряжённости E0 (P) в точке P может быть представлена как суперпозиция элементарных амплитуд с учётом их взаимных фазовых соотношений:

где интегрирование проводится по всей поверхности, окружающей источник.

В интеграле K (q) – некоторый “коэффициент наклона”, учитывающий то обстоятельство, что вклад элемента ds в результирующее поле зависит от ориентации данного элемента поверхности по отношению к направлению на точку наблюдения.

Формулу можно записать через показательную функцию в виде:

где E 0(P) и E 0(M) – в общем случае комплексные амплитуды поля в точке P и в точке M соответственно.

Интеграл носит название интеграла Гюйгенса-Френеля. Формула построена на основе качественных физических соображений. Наиболее существенно то, что интеграл Гюйгенса-Френеля учитывает фазы элементарных вторичных волн, приходящих в точку P от различных элементов поверхности x, т.е. принимается во внимание интерференция вторичных волн.

Функция K (q) в остаётся пока неопределённой. Френель полагал, что K (q) монотонно убывает от некоторого начального значения K (0) до нуля при изменении q от нуля до p /2. Как мы увидим дальше, многие практически важные задачи можно решить, не уточняя конкретного вида зависимости его от угла q.

В дальнейшем будем рассматривать ситуации, позволяющие в качестве поверхности x брать волновую поверхность падающей волны, что значительно упрощает расчёты, например, в формуле дополнительную фазу a можно считать равной нулю, a = 0.

Зоны Френеля. Суммирование (интегрирование) амплитуд элементарных колебаний, приходящих в точку P, вообще говоря, весьма сложно. Но в простейших случаях, обладающих определённой симметрией, интегрирование, как показал Френель, может быть заменено простым алгебраическим или графическим сложением (последнее особенно наглядно).

Приближённый способ расчёта дифракционных картин основан на представлении о так называемых полуволновых зонах или зонах Френеля, на которые разбивается поверхность x, и конфигурация которых зависит от симметрии рассматриваемой задачи.

Если, например, источник S точечный, и волна изотропная, то удобно вспомогательную поверхность x выбрать в виде сферы радиуса a с центром в точке S (рис. 4.3).

Согласно принципу Гюйгенса-Френеля, данную поверхность можно рассматривать как источник вторичных световых волн с одинаковой начальной фазой. Выделим на сфере кольцевые зоны так, чтобы расстояния от границ зоны до точки наблюдения отличались на половину длины световой волны. Для этого из точки Р мысленно проводим сферы радиусами b, b + , b +2 , … b + m .

Р и с. 4.3

Обозначая границы зон буквами M 1, M 2, M 3, …, получим:

где l – длина световой волны, P – точка наблюдения, O – центр первой зоны (рис. 4.3). Заметим, что положение границ френелевских зон зависит от выбора точки наблюдения. Смысл разбиения поверхности x на зоны состоит в том, что разность фаз элементарных вторичных волн, приходящих в точку наблюдения от данной зоны, не превышает величины p. Сложение таких волн приводит к их взаимному усилению. Поэтому каждую зону Френеля можно рассматривать как источник вторичных волн, имеющих определённую фазу. Напротив, две соседние зоны Френеля действуют как источники, колеблющиеся в противофазе.

Размеры зон Френеля. Для того, чтобы оценить относительный вклад френелевских зон в интеграл, оценим радиусы зон и их площади.

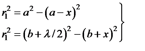
На рис. 4.4 показаны точечный источник света S, точка наблюдения поля P, часть сферической поверхности x (источника вторичных волн) и внешняя граница первой зоны Френеля. Пусть a – радиус сферы, b – кратчайшее расстояние от точки P до сферы, r – радиус первой световой зоны Френеля. Из рис. 4.4 видно, что: откуда запишем:



Р и с. 4.4

Как правило, в оптике справедливо приближение: ,

поэтому пренебрегая слагаемыми, которые пропорциональны l 2 и x 2, получим из и:

, ,

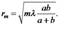
откуда: . Аналогичным образом находим внешний радиус m -й зоны Френеля:

Площади зон (при достаточно малых m): или

т.е. практически одинаковы. Но амплитуды колебаний, приходящих в точку P от зон, монотонно и слабо убывают из-за увеличения расстояния r до точки P от каждой следующей зоны и роста угла q между нормалью к элементам зоны и направлением на точку P.

Физическое содержание задачи почти не измениться, а формулы станут проще, если вместо сферической волны точечного источника рассмотреть плоскую световую волну. В данном случае зоны Френеля представляют собой кольца на плоскости. Их радиусы и площади можно подсчитать по формулам и, полагая a ® ¥. Получим:







Date: 2015-08-06; view: 1551; Нарушение авторских прав



mydocx.ru - 2015-2026 year. (0.988 sec.) Все материалы представленные на сайте исключительно с целью ознакомления читателями и не преследуют коммерческих целей или нарушение авторских прав - Пожаловаться на публикацию