Главная Случайная страница


Полезное:

Как сделать разговор полезным и приятным Как сделать объемную звезду своими руками Как сделать то, что делать не хочется? Как сделать погремушку Как сделать так чтобы женщины сами знакомились с вами Как сделать идею коммерческой Как сделать хорошую растяжку ног? Как сделать наш разум здоровым? Как сделать, чтобы люди обманывали меньше Вопрос 4. Как сделать так, чтобы вас уважали и ценили? Как сделать лучше себе и другим людям Как сделать свидание интересным?


Категории:

АрхитектураАстрономияБиологияГеографияГеологияИнформатикаИскусствоИсторияКулинарияКультураМаркетингМатематикаМедицинаМенеджментОхрана трудаПравоПроизводствоПсихологияРелигияСоциологияСпортТехникаФизикаФилософияХимияЭкологияЭкономикаЭлектроника






Вычисляем значения параметра l





4. Если l<j, производим перераспределение поставок и получаем новое оптимальное решение. Если l=j, то процесс решения окончен.

Рассмотрим решение транспортной параметрической задачи на конкретном примере.

Пример 14. Имеются три поставщика однородного товара с объемами поставок: а1=100т, а2= 200т, а3=100т, и четыре потребителя с объемами потребления b1=80т,b2=120т,b3=150т,b4=50т. Стоимость транспортных расходов изменяется в определенном диапазоне в зависимости от загрузки дороги, и задана матрицей

от 5 до 11 от 4 до 1 8 от 3 до 6

4 7 от 4 до 10 от 7 до 4

5 3 6 от 1 до 10

 

Определить оптимальное решение перевозок, обеспечивающее минимальные транспортные затраты.

Решение. В матрицу расходов введем параметр l, где 0£l£3. Получим

5+2l 4-l 8 3+l

4 7 4+2l 7-l

5 3 6 1+3l

 

Полагая l=0, решаем задачу методом потенциалов, определим оптимальное решение перевозок. Распределительная таблица этого решения будет иметь следующий вид.

bj   ai         ai
  5+2l 4-l   3+l  
      4+2l 7-l -1-2l
        1+3l -1+l
bj 5+2l 4-l 5+4l 2+2l  

 

В таблице ai и bj потенциалы строк и столбцов. Для занятых клеток они определяются из условия

ai+bj = c¢ij+ dc²ij

Полагая:

a1+b1=5+2la1=0 a1=0

a1+b2=4-la2=-1-2l a2=-1-2l

a2+b1=4 a3=-1+l

a2+b3=4+2lb1= 5+2l b1=5+2l

a3+b2=3 b2= 4-l

a3+b4=1+3lb3=5+4l b3=5+4l

b4=2+2l b4=2+2l

Оценки свободных клеток находим по формуле

Dij=ai+bj – (c¢ij+ dc²ij)=

D13=a1+b3 – c¢13=5+4l+0-8= -3+4l,

D14=a1+b4 – (c¢14+lc²14)=2+2l+0-3-l= -1+l,

D22=a2+b2 – c¢22 = -1-2l+4-l-7= -4-3l.

Аналогично находим, что D24=-6+l, D31=-1+3l, D33=-2+5l.

Решение, полученное при l=0, является оптимальным для всех значений параметра l, удовлетворяющих условию

Так как по условию задачи l³0,то оптимальное решение сохраняется при 0£l£1/3. При этом минимальная стоимость транспортных расходов составляет

F(x)min=30(5+2l)+70(4-l)+50*4+150(4+2l)+50*3+50(1+2l)=1430+440l

Таким образом, при lÎ[0;1/3], F(x1)min=1430+440l и

30 70 0 0

Хопт1= 50 0 150 0

0 50 0 50

Чтобы получить оптимальное решение при l³1/3, перераспределим поставки товаров в клетку (3,1), где l2=1/3. Вновь полученное распределение представлено в таблице.

bj   ai         ui
  5+2l   4-l   3+l  
      4+2l 7-l -2+l
        1+3l -1+l
uj 6-l 4-l 6+l 2+2l  

Находим оценки свободных клеток:

D11=1-3l, D13= -2+l,

D14= -1+l, D22= -5,

D24= -7+4l, D33= -1+2l.

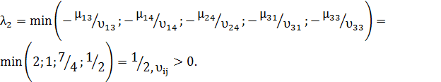
Определим пределы изменения l:

Полученное в таблице оптимальное решение сохраняется при 1/3£l£1/2. При этом F(x2)min=1460+350l.

0 100 0 0

Хопт2= 50 0 150 0

30 20 0 50

Перераспределим поставки грузов в клетку (3,3), где l2=1/2. Получим новое распределение:

bj   ai         ui
  5+2l   4-l   3+l  
      4+2l 7-l -3+3l
        1+3l -1+l
uj 7-3l 4-l 7-l 2+2l  

 

Находим оценки свободных клеток:

D11=2-5l, D13= -1-l,

D14= -1+l, D22= -6+2l,

D24= -8+6l, D33= -1-2l.

Определим пределы изменения l:

 

Оптимальное решение сохраняется при 1/2£l£1. При этом F(x3)min=1490+290l.

 

 

0 100 0 0

Хопт3= 80 0 120 0

0 20 30 50

 

Перераспределим поставки товаров в клетку (1,4), где l2=1.

bj   ai         ui
  5+2l   4-l   3+l  
      4+2l 7-l -3+3l
        1+3l   -1+l
uj 7-3l 4-l 7-l 3+l  

 

Оценки свободных клеток:

D11=-1-2l, D13= -1-l,

D22= -6+2l, D24= -7+5l,

D31= 1-2l, D34= -1-l.

Пределы изменения l:

Полученное в предыдущей таблице оптимальное решение сохраняется при 1£l£7/5. При этом F(x4)min=1540+240l.

 

0 50 0 50

Хопт4= 80 0 120 0


0 70 30 0

 

Перераспределим поставки грузов в клетку (2,4), где l2=7/5.

bj   ai         ui
  5+2l   4-l   3+l    
      4+2l 7-l -3+3l
        1+3l   -1+l
uj 7-3l 4-l 7-l 10-4l  

 

Оценки свободных клеток:

D11=2-5l, D13= -1-l,

D14= 7-5l, D22= -6+2l,

D31= 1-2l, D34= -8-6l.

Пределы изменения l:

l1 =max (2/5;-1;7/5;1/2;-8/6)=7/5,bij<0;

l2=min (3)=3,bij>0.

Оптимальное решение сохраняется при 7/5£l£3. При этом F(x5)min=1890-10l.

 

0 100 0 0

Хопт5= 80 0 70 50

0 20 80 0

Варианты контрольной работы по теме «Параметрическая транспортная задача»

Имеются три поставщика однородного товара с объектами поставок: а1=100 т., а2=200 т., а3=100 т. И четыре потребителя с объектами потребления b1=80 т., b2=120 т., b3=150 т., b4=50 т. Стоимость транспортных расходов изменяется в определенном диапазоне в зависимости от загрузки дороги, и задана матрицей

 

 

 
             
             
             
             
             
             
             
             
             
             
             
             
             
             
             
             
             
             
             
             
             
             
             
             
             
             
             
             
             
             

Определить оптимальное решение, обеспечивающее минимальные транспортные затраты.

 








Date: 2015-07-27; view: 552; Нарушение авторских прав



mydocx.ru - 2015-2026 year. (0.666 sec.) Все материалы представленные на сайте исключительно с целью ознакомления читателями и не преследуют коммерческих целей или нарушение авторских прав - Пожаловаться на публикацию